连续石墨化炉焙烧段电热特性的数值模拟

李壮1, 秦勤1, 孟云鹏2, 于庆波1

【作者机构】 1东北大学冶金学院; 2宁德时代新能源科技股份有限公司
【分 类 号】 TF;TQ
【基    金】 国家重点研发计划项目(2017YFB0603603) 辽宁省“兴辽英才计划”项目(XLYC1802002).
全文 文内图表 参考文献 出版信息
连续石墨化炉焙烧段电热特性的数值模拟

连续石墨化炉焙烧段电热特性的数值模拟

李 壮1,秦 勤1,孟云鹏2,于庆波1

(1.东北大学冶金学院,沈阳 110819;2.宁德时代新能源科技股份有限公司,福建 宁德 352000)

摘 要:设计了一种由焙烧段和冷却段构成的连续石墨化炉,针对其焙烧段,建立三维稳态几何、数学模型,采用数值模拟的方法,研究炉内电热特性,探究电压和生产量的变化对炉内功率密度、出口温度的影响.结果表明:功率密度在正对电极区域较大,且在第3排电极处达到最大;温度自上而下逐渐升高,在第3排电极下方达到最高;当生产量一定时,随着电压的升高,炉内功率密度增大,出口截面平均温度升高,最大温差增大;当电压一定时,随着生产量的增大,物料加热时间缩短,电导率降低,炉内功率密度减小,出口截面平均温度降低,最大温差减小.

关键词:连续石墨化炉;电热特性;功率密度

石墨因特殊的晶体结构而具有良好的导电导热性、耐高温性、化学稳定性和润滑性,被广泛应用于冶金、机械、军工、化工等多个领域[1],是传统工业中必须用到的非金属材料,也是支撑高新技术发展的重要战略资源[2].在全球石墨消耗量中,中国的石墨消耗量占据较大份额,且逐年增加,持续保持全球领先地位[3-4].

石墨制品主要以石油焦、针状焦为原料,在超过2 500 K的高温中进行焙烧,原料中的焦炭微晶由尺寸较小且无序堆积的状态,转变为三维规则有序的石墨结构[5-6].

目前主要使用的石墨化炉是间歇式炉.间歇式炉单耗高、生产率低、污染严重且自动化程度低,已经难以适应对能源利用率和环境质量要求越来越高的社会发展模式.而连续式炉通过连续上料和排料,并对出料口石墨快速冷却,提高了石墨化过程的自动化程度和生产效率,减少了间歇式生产带来的电能损失.因此,连续石墨化炉成为了石墨化炉未来的发展方向[7-8].

连续石墨化炉主要由焙烧段、冷却段构成,是在借鉴矿热炉的基础上,通过改变电极布置方式和炉型结构进行研究设计的新炉.毕延林[8]分析了连续石墨化炉在工业实验中的所有电参数与功率系数的关系,并对日产量30 t的大型石墨化炉进行了合理的改进与优化.Yang等[9]通过分析大量原料性能和工业生产数据,得出连续石墨化炉以焦炭或无烟煤为原料,可使电耗降低20%的结论.邓勇跃等[10]采用整体浇筑技术构建连续式石墨化炉炉体,并调整下料速度和电压,使得石墨化炉中心温度提高了300~400 K.

针对之前研究中连续石墨化炉易出现三相功率不平衡,物料难以冷却,石墨化程度不均匀,电极设置在炉子顶部带来水冷安全隐患等问题,本文中设计一种6对电极布置在炉体左右两侧,石墨化程度更均匀,可实现连续生产、冷却的石墨化炉.为验证该炉型的可行性和安全性,需获得准确的炉内电场、温度场分布,若采用实验方法获得,存在实验周期长、成本高等问题.因此,本文中利用Fluent、用户自定义函数(UDF)、用户自定义方程(UDS)建立三维几何、数学模型,针对连续石墨化炉焙烧段进行数值模拟,研究炉内电热特性,探究电压和生产量的变化对炉内功率密度、出口温度的影响,为实际生产提供理论指导.

1 研究对象

1.1 几何模型

本文中设计的连续石墨化炉如图1所示,分为焙烧段和冷却段,炉内物料靠自重下行.焙烧段是供电加热段,自上而下有3排电极,供直流电,每排2对,且电极中设有水冷管,防止电极烧损;直流电从正极经过被加热物料流向负极,物料靠自身产生的焦耳热完成石墨化,并在焙烧段的底部经分流塔分流,再经2个出料口进入冷却段;冷却段是石墨冷却、余热回收区域,设计了一级水冷夹套和二级水冷管对石墨进行冷却.考虑到对称性,采用1/2炉体结构进行数值模拟,模拟区域见图1(d).炉体的结构尺寸参考石墨化炉设计标准[6]及相关传热知识确定.

图1 连续石墨化炉总图
Fig.1 General draw ing of new continuous graphitization furnace

(a)—主视图;(b)—A-A剖左视图;(c)—B-B剖俯视图;(d)—模拟区域示意图.
1—物料入口;2—碳砖;3—炭黑;4—轻质耐火材料;5—石墨电极;6—钢板;7—水冷夹套;8—冷却水管;9—物料出口;10—分流塔;11—焙烧段出口.

1.2 模型假设

为了确保石墨化炉数值模拟的可行性,对模型进行了如下简化:①由于物料颗粒数量巨大,且相对于流动区域足够小,将颗粒流动看成连续流,采用黏性流模型,假设气相均匀弥散于固相之中,忽略两相间的速度差和温度差[11];②由于与重力、黏性力相比电磁力相对较小,忽略电磁力对物料流动的影响;③考虑到对称性,采用1/2炉体结构进行数值模拟;④由于物料堆积紧密,忽略辐射,将物性参数视为各向同性.

1.3 物性参数

选用煅烧后(去除挥发分)粒度为3~10 mm的石油焦作为原料.煅后石油焦的动力黏度为0.1 Pa·s,电导率σ和比热容c p随温度T的变化关系[7]如图2所示,其他材料的物性参数如表1所列,其中λ为热导率,ρ为密度.

表1 物性参数
Table 1 Physical parameters

材料种类λ/(W·m-1·K-1)ρ/(t·m-3)c p/(J·kg-1·K-1)σ/(S·m-1)电极129 2.10 710 106碳砖5.85 1.70 700 10-2炭黑0.164 0.345 1 100 10-2钢板50 7.85 480 105轻质耐火材料1.22 0.90 710 10-2

图2 煅后石油焦电导率和比热容随温度的变化
Fig.2 Variation of electrical conductivity and specific heat capacity of petroleum coke after forging w ith temperature

2 数学模型

2.1 控制方程

2.1.1 热传导方程

热传导方程可表示为带有内热源的三维导热微分方程:

式中:λ为物料的热导率,W/(m·K);P V为物料的功率密度,kW/m3T为物料温度,K;ρ为物料密度,t/m3c p为物料比热容,J/(kg·K);τ为时间,s;当模拟为稳态时

2.1.2 电场控制方程

物料内电场的计算服从导电的三维拉普拉斯方程:

式中:σ为物料的电导率,S/m;Φ为电势,V;当模拟加载恒定电压时

2.1.3 电场强度定义式

电场强度E的大小由电势分布决定,其方程可表示为

式中,U为电势差,V.

2.1.4 电热转换方程

在石墨化炉中,电流经过物料产生的焦耳热为石墨化提供全部能量.其电热转换方程可表示为

式中,P V越大,产生的焦耳热越多.

2.1.5 质量守恒方程

连续、不可压缩流体稳态的质量守恒方程表示为

式中,vxv yvz分别为XYZ方向上的速度分量,μm/s.

2.1.6 动量守恒方程

连续、不可压缩流体的动量守恒方程表示为

式中:p为压力,Pa;F xF yF z分别为XYZ方向上的单位质量力,m/s2η为物料的动力黏度,Pa·s.

2.2 初始条件及边界条件

石油焦在焙烧段进出口分别使用质量流量入口和压力出口.将炉墙外壁设定第三类边界条件,给定对流换热系数及周围流体温度.将对称面Y=0设置为对称边界条件,并将物料入口温度设为常温.

2.3 网格划分及模型验证

网格划分如图3(a)所示,采用多区域、扫掠网格划分方法.同时,为了获得更准确的炉内电热特性,在物料流动区域及电极插入物料的端面进行网格加密,总体网格数量为87.4万个.

图3 网格划分及温度对比图
Fig.3 Diagram of grid division and tem perature comparison chart

(a)—网格图;(b)—温度对比图.

邵正日[12]借鉴矿热炉电极布置方式,设计了一种将正负电极分别布置在炉体的顶部和底部的连续石墨化炉,并利用实验获取了炉内6个监测点的温度数据.为验证本文中数学模型的准确性,将文献[12] 中的几何模型、物性参数及边界条件等代入本文所建立的数学模型中,得出模拟结果.将模拟值与文献中测得的温度值进行对比分析,结果如图3(b)所示.监测点的实验值与模拟值总体趋势相同,相对误差最大为5.8%.文献中使用的热电偶具有热惯性,同时,热电偶与物料颗粒之间存在热量交换,这导致测量温度低于实际温度,因此,模拟温度比实际监测到的温度高.在工程应用中,5.8%的误差在合理范围内,这说明本文中建立的数学模型具有可信度.

3 模拟结果分析

3.1 连续石墨化炉焙烧段数值模拟分析

在直流石墨化炉生产过程中,交流电经整流、有载调压,转换特定大小的直流电压,供给石墨化炉[6] .针对该炉型,在石墨电极正极给定电压为63 V,负极给定电压为0 V,在生产量为42 t/d(入口速度为82.9μm/s)的条件下,分析炉内功率密度和温度分布.为了更直观地看出炉内的电热特性,选取X=0、Y=0、Y=0.675 m、Z=3 m、Z=4.5 m、Z=6 m这6个截面进行定性分析.

3.1.1 功率密度分布

物料功率密度的大小会影响其产生焦耳热的多少,进而影响炉内温度分布.功率密度由炉内电场强度和电导率共同决定,见公式(4).根据电学基础知识,电极附近区域的电场强度较高.炉子中心区域由于6对电极的叠加,电场强度较高.在同侧电极区域,由于电场间的相互排斥作用,电场强度较低,如图4(a)所示.

图4 不同截面电场强度与功率密度分布图
Fig.4 Electric field intensity and power density distribution diagrams at different cross-sections

根据电场强度分布图[见图4(a)] ,并结合物料电导率随温度的变化趋势[见图2(a)] ,可以发现功率密度分布特性,如图4(b)所示.由图4(b)可知:在X=0截面上,由于正对电极区域电场强度较高,同时,沿Z方向自上而下的物料电导率逐渐升高,功率密度在第3排电极处达到最大,且在正对电极区域较大,以此为中心沿Y方向两侧逐渐减小,且炉子中心处的功率密度大于炉墙侧的功率密度;在Y=0截面上,由于炉子中心区域电场强度较高,同时,沿Z方向自上而下的物料电导率逐渐升高,功率密度在炉子中心区域较大,且在第3排电极处达到最大;在Y=0.675 m截面上,由于同侧3排同名电极之间区域电场强度较低,该区域功率密度较小,但由于电极端面之间的区域电场较高,同时,沿Z方向自上而下的物料电导率逐渐升高,功率密度在电极端面之间的区域较大,且在第3排电极处达到最大;同理,在Z=3,4.5,6 m截面上,功率密度在正负电极端面之间的区域均较大,且均在第3排电极处达到最大.

3.1.2 温度分布

炉内温度分布是判断炉型设计是否合理的重要依据,由物料的功率密度及加热时间共同决定.物料的速度分布决定了其在炉内的加热时间,从而影响炉内温度分布.如图5所示:为确保物料达到石墨化所需温度,本文中设定的物料入口速度较小,Re较低,呈层流状态,炉内无回流、漩涡现象;在炉墙附近,受边界层效应影响,流速较慢;在物料下降过程中,电极的存在对物料流动产生了局部阻碍作用,这导致电极附近区域的流速变慢,同时,促使物料绕过电极,流向电极端面之间的区域,从而使6对电极端面之间的区域流速较快;出口处因流动空间收缩,流速最快.

图5 不同截面的速度分布图
Fig.5 Velocity distribution map of different cross-sections

功率密度越大,加热时间越长,累积的热量就越多,温度也就越高.图6是物料区域不同截面的温度分布图.结合图4(b)、图5和图6可知:在X=0截面,正对电极中心线处温度较高,以此为中心,沿着Y方向两侧温度逐渐降低,沿着Z方向自上而下温度逐渐升高,并在第3排电极的下方达到最高;在Y=0截面,由于靠近炉墙附近区域的物料流速较慢,加热时间较长,靠近炉墙侧的温度高于炉子中心处的温度;在Y=0.675 m截面,沿着Z方向自上而下温度逐渐升高,在第3排电极下方达到最高;在Z=3,4.5,6 m截面,电极端面温度较高,随着与电极端面距离的增加,温度逐渐降低.

图6 不同截面的温度分布图
Fig.6 Temperature distribution map of different cross-sections

由图6可知,当出口温度为2 800 K时,各截面靠近炉衬处的温度均低于3 273 K,满足炉衬使用的温度范围[13].

根据石墨化的生产要求,出口平均温度需达到2 800~3 100 K,最大温差应小于120 K,才能获得合格的石墨化产品[13-14].从图7中可以看出:靠近炉子中心区域的温度最高,达到2 910 K;最低温度在炉内四角区域,为2 824 K,满足石墨化温度要求.炉内四角区域功率密度较小,产生的焦耳热较少,且该区域通过炉墙散热,热量损失较多,因此温度较低.

图7 出口截面的温度分布图
Fig.7 Temperature distribution diagram of outlet section

3.2 电压对炉内电热特性的影响

电压会影响炉内电场强度,进而影响其功率密度,见公式(3)和(4).为了探究生产量对炉内功率密度、出口温度的影响,针对该炉型,在生产量为44 t/d(入口速度为87μm/s),电压分别为58、62、66、70、74 V的条件下进行分析.

根据图1(d),炉内垂直于X轴的一系列平面上的面平均功率密度¯P V变化如图8(a)所示.由图8(a)可知:面平均功率密度在靠近两侧炉墙处较小,在电极端面处达到最大,且随着电压的升高,面平均功率密度均增大.图8(b)是垂直于Y轴的一系列平面上的面平均功率密度变化图.由图8(b)可知:面平均功率密度在炉子中心处较小,在电极中心线处达到最大,越靠近炉墙侧越小;随着电压的升高,面平均功率密度均增大.图8(c)是垂直于Z轴的一系列平面上的面平均功率密度变化图.由图8(c)可知,面平均功率密度在第3排电极处达到最大,且随着电压的升高,面平均功率密度均增大.综上,随着电压的升高,炉内电场强度升高,功率密度增大,同时,正负电极端面之间的区域电场强度较大,该区域功率密度增大得更显著.

图8 电压对炉内面平均功率密度的影响
Fig.8 Influence of voltage magnitude on areal average power density inside furnace

(a)—垂直于X轴;(b)—垂直于Y轴;(c)—垂直于Z轴.

如图9所示,随着电压的升高,出口截面平均温度升高,这是因为当电压升高时,炉内功率密度增大,产生的焦耳热增多.此外,随着电压的升高,出口截面最大温差ΔT增大,这是因为物料温度升高,比热容增大,温度扩散能力减弱,同时,电压的升高对炉内四角区域功率密度影响较小.当生产量为44 t/d,电压为66 V时,出口截面平均温度为3 092 K,达到石墨化温度要求.需要注意的是,电压过高会导致炉内温度过高,烧损炉衬,而电压过低会导致出口温度达不到石墨化温度要求[15].

图9 电压对出口截面温度的影响
Fig.9 Influence of voltage on temperature of outlet section

3.3 生产量对炉内电热特热的影响

生产量的变化会影响物料在炉内的加热时间,使其电导率发生改变,进而影响炉内功率密度.为了探究生产量对炉内功率密度、出口温度的影响,针对该炉型,在电压为69 V,生产量分别为42、48、54、60、66 t/d(入口速度分别为82.9、94.9、106.7、118.6、130.4μm/s)的条件下进行分析.

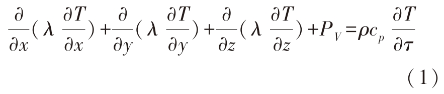
生产量对炉内功率密度的影响如图10所示.由图10可知,当电压一定时,随着生产量的增大,炉内垂直于XYZ轴的一系列平面上的面平均功率密度均减小,且在正负电极端面之间的区域减小得较显著.当电压不变时,随着生产量的增加,物料在炉内的加热时间缩短,炉内整体温度降低,电导率降低,这使得功率密度减小,同时,由于正负电极端面之间的区域电场强度较高,功率密度减小得就更显著.

图10 生产量对炉内面平均功率密度的影响
Fig.10 Influence of production volume on areal average power density inside furnace

(a)—垂直于X轴;(b)—垂直于Y轴;(c)—垂直于Z轴.

如图11所示,当电压一定时,随着生产量的增大,出口截面平均温度降低,这是因为随着生产量增大,物料在炉内的加热时间缩短,同时,炉内功率密度减小,产生的焦耳热变少.此外,随着生产量的增大,出口截面最大温差减小,这是因为当生产量增大时,炉内物料温度降低,比热容减小,温度扩散能力变强,同时,炉内四角区域散热时间缩短.当电压为69 V,生产量为60 t/d时,出口截面平均温度为2 900 K,达到石墨化温度要求.需要注意的是,生产量过小会导致炉内温度过高,烧损炉衬,而生产量过大会导致出口温度达不到石墨化温度要求.

图11 生产量对出口截面温度的影响
Fig.11 Impact of production volume on temperature of outlet section

4 结论

(1)正负电极端面之间的区域电场强度较高,功率密度较大,因此,6对电极端面之间的区域是炉内主要产热区.随着物料自上而下加热,第3排电极下方区域温度最高.

(2)电压会影响炉内的电场强度,进而影响其功率密度.随着电压的升高,炉内功率密度增大,这导致出口截面平均温度升高,最大温差增大.

(3)生产量会影响物料在炉内的加热时间,其电导率随之发生变化,进而影响到炉内的功率密度.随着生产量的增大,加热时间变短,炉内功率密度变小,这导致出口截面平均温度下降,最大温差减小.

(4)当生产量为44 t/d时,电压应为66 V,当电压为69 V时,生产量应为60 t/d,以满足石墨化需求.过高的电压或过小的生产量均会导致炉内温度过高,烧损炉衬,而过低的电压或过大的生产量均会使出口温度达不到石墨化温度要求.

参考文献

[1] 张苏江,王楠,崔立伟,等.国内外石墨资源供需形势分析[J] .无机盐工业,2021,53(7):1-11.(Zhang Sujiang,Wang Nan,Cui Liwei,et al.Analysis of supply and demand situation of graphite resources at home and abroad[J] .Inorganic Chemicals Industry,2021,53(7):1-11.)

[2] 陈军元,颜玲亚,刘艳飞,等.全球石墨资源供需形势分析[J] .国土资源情报,2020(10):90-97.(Chen Junyuan,Yan Lingya,Liu Yanfei,et al.Analysis of supply and demand situation of global graphite resources[J] .Land and Resources Information,2020(10):90-97.)

[3] Cui H J,Zhou Z.Graphitization and pore structure adjustment of graphene for energy storage and conversion[J] .Current Graphene Science,2017,1(1):3-15.

[4] Franklin R E.Crystallite growth in graphitizing and nongraphitizing carbons[J] .Proceedings of the Royal Society of London Series A,Mathematical and Physical Sciences,1951,209(1097):196-218.

[5] Wang X,Zhang G M,Zhang Y L,et al.Graphitization of glassy carbon prepared under high temperatures and high pressures[J] .Carbon,2003,41(1):188-191.

[6] 何选明.炭素工艺学[M] .2版.北京:冶金工业出版社,2018.(He Xuanming.Carbon technology[M] .2nd ed.Beijing:Metallurgical Industry Press,2018.)

[7] 王宁.连续式石墨化炉动态电热耦合的数值模拟与优化研究[D] .沈阳:东北大学,2016.(Wang Ning.Numerical simulation and optimization of dynamic electrothermal coupling of continuous graphitization furnace.Shenyang:Northeastern University,2016.)

[8] 毕延林.连续式石墨化炉工业实验与电磁场研究[D] .沈阳:东北大学,2010.(Bi Yanlin.Industrial experiment of continuous graphitizing furnace and research on electromagnetic field[D] .Shenyang:Northeastern University,2010.)

[9] Yang Y,Gong S K,Ning Q J,et al.Development and application of electrocalciners with increased calcination temperature[C] //Light Metals 2018.Cham:Springer,2018:1363-1371.

[10] 邓勇跃,朱建强.新型高温石墨化炉窑的生产应用实践[J] .中国资源综合利用,2022,40(5):57-60.(Deng Yongyue,Zhu Jianqiang.Production and application practice of the new high temperature graphitization furnace[J] .China Resources Comprehensive Utilization,2022,40(5):57-60.)

[11] 蔡九菊,董辉,傅巍.竖式移动床颗粒流动的研究[J] .东北大学学报(自然科学版),2007,28(11):1599-1603.(Cai Jiuju,Dong Hui,Fu Wei.Study on particle flow in shaft moving beds[J] .Journal of Northeastern University(Natural Science),2007,28(11):1599-1603.)

[12] 邵正日.连续式石墨化电炉温度场模拟及分析[D] .沈阳:东北大学,2012.(Shao Zhengri.Numerical simulation and analysis of temperature field of continuous electric furnace for graphitization[D] .Shenyang:Northeastern University,2012.)

[13] 许斌,王金铎.炭材料生产技术600问[M] .北京:冶金工业出版社,2006.(Xu Bin,Wang Jinduo.600 questions and answers on carbon materials production technology[M] .Beijing:Metallurgical Industry Press,2006.)

[14] 宋群玲,李瑛娟.炭素材料生产技术[M] .沈阳:东北大学出版社,2019.(Song Qunling,Li Yingjuan.Carbon materials production technology[M] .Shenyang:Northeastern University Press,2019.)

[15] 侯东杰,秦勤,于庆波.电极结构对石墨化炉电热特性影响的数值模拟[J] .材料与冶金学报,2025,24(4):332-339.(Hou Dongjie,Qin Qin,Yu Qingbo.Numerical simulation of the influence of electrode structure on electrothermal characteristics of graphitization furnace[J] .Journal of Materials and Metallurgy,2025,24(4):332-339)

Numerical simulation of electrothermal characteristics of continuous graphitization furnace roasting section

Li Zhuang1,Qin Qin1,Meng Yunpeng2,Yu Qingbo1
(1.School of Metallurgy,Northeastern University,Shenyang 110819,China;2.Contemporary Amperex Technology Co.,Limited,Ningde 352000,China)

Abstract:A continuous graphitization furnace consisting of a roasting section and a cooling section was designed.A three-dimensional steady-state geometric and mathematical modelwas established for the roasting section,and numerical simulation methods were used to study the electrothermal characteristics inside the furnace and explore the effects of voltage and production variation on the power density and outlet temperature inside the furnace.The results indicate that the power density is higher in the region facing the electrode,and reaches its maximum at the third row of electrodes;The temperature gradually increases from top to bottom,reaching its highest point below the third row of electrodes;When the production volume is constant,as the voltage increases,the power density inside the furnace increases,the average temperature at the outlet section increases,and the maximum temperature difference at the outlet section increases;When the voltage is constant,as the production volume increases,the heating time of the material decreases,the conductivity decreases,the power density inside the furnace decreases,the average temperature of the outlet section decreases,and the maximum temperature difference of the outlet section decreases.

Key words:continuous graphitization furnace;electric heating characteristics;power density

中图分类号:TF 54;TQ 165

文献标志码:A

文章编号:1671-6620(2026)01-0077-09

doi:10.14186/j.cnki.1671-6620.2026.01.010

收稿日期:2024-12-02.

基金项目:国家重点研发计划项目(2017YFB0603603);辽宁省“兴辽英才计划”项目(XLYC1802002).

作者简介:李壮(2001—),男,硕士研究生,E-mail:3225592236@qq.com.

通讯作者:秦勤(1965—),女,副教授,E-mail:qinq@mail.neu.edu.cn.

引文格式:李壮,秦勤,孟云鹏,等.连续石墨化炉焙烧段电热特性的数值模拟[J] .材料与冶金学报,2026,25(1):77-85.(Li Zhuang,Qin Qin,Meng Yunpeng,et al.Numerical simulation of electrothermal characteristics of continuous graphitization furnace roasting section[J] .Journal of Materials and Metallurgy,2026,25(1):77-85.)

X