稀土La对2.0 GPa超高强度钢中夹杂物和性能的影响

张云飞, 战东平, 李吉航, 姜周华

【作者机构】 东北大学冶金学院
【分 类 号】 TF;TG
【基    金】 山西省吕梁市校地合作重点研发专项项目(2023XDHZ05) 黑龙江省揭榜挂帅科技攻关项目(2022ZXJ03A02).作者简介:张云飞(2000—),男,硕士研究生,E-mail:zhangyunfei070016@163.com.
全文 文内图表 参考文献 出版信息
稀土La对2.0 GPa超高强度钢中夹杂物和性能的影响

稀土La对2.0 GPa超高强度钢中夹杂物和性能的影响

张云飞,战东平,李吉航,姜周华

(东北大学冶金学院,沈阳 110819)

摘 要:利用真空感应炉冶炼,并依靠金相显微镜、扫描电镜、EBSD检测、XRD衍射分析以及拉伸和冲击测试等表征手段,研究添加不同质量分数的稀土La对2.0 GPa超高强度钢中夹杂物、组织和力学性能的影响.结果表明:当钢中La质量分数从0(无添加)提高到0.003 2%并继续提高到0.022%时,夹杂物先从多边形氧化铝类夹杂物MgO·Al2 O3向球状稀土复合夹杂物LaAlO3-La2 O2 S演变,然后再向稀土复合氧硫化物LaS-La2 O2 S演变;时效后的残余奥氏体体积分数先从1.85%到3.05%,再到5.17%,提升率分别为64.9%和69.5%;冲击功则从11.9 J分别提高至14.1 J和15.3 J,提升率分别为18.5%和8.5%.稀土La使钢中夹杂物球化改性,残余奥氏体体积分数提高,冲击功提升显著.然而,当La过量添加至0.022%时,钢的屈服强度从1.596 GPa降低至1.476 GPa,降低了0.120 GPa.这证明了稀土La的最优添加量为0.003 2%,此时2.0 GPa超高强度钢的韧性改善明显.

关键词:稀土La;超高强度钢;洁净度;夹杂物改性;强韧性

超高强度钢因具有超高强度和均衡韧塑性的特点,在海洋工业和航空航天领域得到了广泛应用,主要用于制造潜艇壳体、飞机起落架等对强度和韧性要求较高的部件[1-4].该类型钢最显著的优势就是在时效过程中会析出富Mo、富W的纳米级M2 C碳化物,此类碳化物可通过沉淀硬化机制,提高钢的强度和硬度[5-6].超高强度钢强度虽高,但对内部缺陷更为敏感,因此,夹杂物与杂质元素的存在对其强韧性影响更为突出[7-8].高合金超高强度钢冶炼时通常会在钢液中加入稀土La,将其作为脱氧、脱硫剂使用.稀土的主要作用为钢液净化、夹杂物改性和基体微合金化,可以改善钢的机械加工性能和力学性能[9-10].稀土元素具有很高的活性,脱氧速度很快,生成的氧化物或硫化物非常稳定,并以球状夹杂物的形式存在于钢液中,且稀土La的脱氧能力比Al、Mg、Ti等强脱氧剂更强[11-13].研究结果[14-15]表明,稀土La微合金化钢可以通过减小其铸态组织的初生枝晶间距以及细化原奥氏体晶粒,增加大角度晶界比例和位错密度,从而使其强度和塑性保持稳定,并显著提高其韧性.同时,细晶强化也可以提高钢的塑性和韧性[16].研究发现,稀土La可以调节微合金钢中NbC的溶解与析出,形成的夹杂物在晶界偏聚,增强晶界的钉扎作用[17-18].稀土La可以将钢中原有的Al2 O3和MnS夹杂物改性为La2 O2 S,并以杂质为成核核心,减少夹杂物的体积分数,增大夹杂物的平均间距[19].添加稀土对提升钢的韧性有积极作用.Garrison和Maloney等[11,20]研究发现,添加质量分数为0.012%的La可以显著提升超高强度钢AF1410的断裂韧性,而添加质量分数0.005 4%的La比添加质量分数为0.3%的Mn更有利于改善超高强度钢HY180的断裂韧性.2.0 GPa超高强度钢是高Co-Ni二次硬化型马氏体不锈钢,含有更多的Cr和更少的Ni,除了具有超高强度和硬度,还具有更高的耐蚀性,常被用于替代电镀有毒镉涂层的AerMet 100钢[21-23].目前,关于添加稀土La对2.0 GPa超高强度钢的洁净度、组织与力学性能的影响的研究报道较少.因此,本文在2.0 GPa超高强度钢中加入不同含量(质量分数,下同)的稀土La,通过夹杂物分析、显微组织观察和力学性能测试,研究La对超高强度钢洁净度和韧性的影响,为La在超高强度钢中洁净化和韧化的应用提供参考.

1 实验材料与检测方法

使用25 kg真空感应炉冶炼4炉具有不同含量La的实验钢,分别记作Z1、Z2、Z3、Z4钢,其化学成分见表1.铸锭的均质化处理与锻造工艺以及后续的热处理工艺制度均参照课题组前期工作[24]进行,即1 085℃固溶处理1 h后油淬+一次深冷+501℃预回火3 h后油淬+二次深冷+482℃时效处理12 h,但本文中的深冷制度与之前有所区别,即淬火或回火后的实验钢在-196℃的液氮中浸泡1 h后取出回暖至室温.利用1 g CuCl2+50 mL HCl+25 mL HNO3+150 mL H2 O混合溶液腐蚀实验钢金相样品,然后在Olympus DSX510金相显微镜下观察实验钢的基体组织.利用配备Oxford EDS分析探头的Thermo Scientific Apreo 2C场发射扫描电子显微镜进一步观察实验钢中夹杂物的形貌,然后利用EDS能谱分析夹杂物的元素成分.使用Rigaku Ultima IV型多晶X射线衍射仪对实验钢进行物相分析.使用日本岛津AGS-X 100 kN万能试验机进行室温拉伸实验,使用PIT302D-3金属摆锤式冲击试验机进行室温冲击实验(将实验钢冲击试样断口横向切割后置于扫描电镜下进行分析).

表1 实验钢的化学成分(质量分数)
Table 1 Chem ical com positions of test steels(mass fraction) %

钢种C Co Cr Ni Mo W V Al La S T.O Fe Z1 0.23 14.7 10 5.57 2.04 1.10 0.29 0.041—0.010 0 0.002 7 Z2 0.22 14.8 9.9 5.88 2.11 1.15 0.31 0.048 0.003 2 0.006 8 0.001 2 Z3 0.21 15.1 10.3 6.38 2.34 1.28 0.34 0.058 0.005 4 0.006 2 0.000 9 Z4 0.22 15.1 10.2 6.17 2.21 1.27 0.34 0.063 0.022 0 0.004 1 0.000 5其余

2 结果与讨论

2.1 超高强度钢洁净度的变化

实验钢使用高纯原料,经真空感应炉冶炼,具有较高的洁净度.对表1中的化学成分分析可知,钢中添加的稀土La质量分数在0~0.022%,与Z1钢相比,Z2、Z3、Z4钢中的S和T.O的质量分数均有所降低.尤其当Z2钢中添加质量分数为0.003 2%的La后,与Z1钢相比,其T.O、S的质量分数降低得最为显著:S的质量分数从0.01%降低至0.006 8%,降低了32.0%;T.O的质量分数从0.002 7%降低至0.001 2%,降低了55.6%.这说明稀土La具有较强的脱氧、脱硫能力,对钢液净化有利[25-26].

2.2 超高强度钢中夹杂物的变化

利用SEM-EDS分析4种实验钢中主要夹杂物的形貌和组成,结果如图1所示.未添加La的Z1钢中典型夹杂物主要为形状不规则的Al2 O3和MgO·Al2 O3,如图1(a)所示.夹杂物中的Mg来源于钢液对MgO坩埚的侵蚀,这导致部分MgO·Al2 O3夹杂物生成[27-28].如图1(b)和(c)所示,当钢中La质量分数由0(无添加)升至0.003 2%,再升至0.005 4%时,夹杂物从不规则Al2 O3或MgO·Al2 O3(Z1钢中)转变为球状LaAlO3-La2 O2 S复合物(Z2、Z3钢中),还有部分Al2 O3(即未与La反应的剩余Al2 O3)附着在LaAlO3表面,形成Al2 O3-LaAlO3复合物.如图1(d)所示,Z4钢中的夹杂物基本为La2 O2 S[此时夹杂物出现破裂现象,导致图中白色区域变暗] ,这是因为Al被过量的La从夹杂物中还原进入钢中.La和S分布在整个夹杂物中,而O分布于夹杂物的一侧,由图1(d)可知,La2 O2 S处于被LaS半包裹的状态,此时钢中氧含量降到极低,稀土硫化物含量开始升高.

图1 钢中典型夹杂物形貌及组成
Fig.1 M orphology and composition of typical inclusions in steels

(a)—Z1;(b)—Z2;(c)—Z3;(d)—Z4.

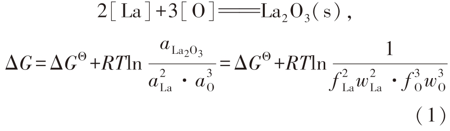
本文中通过热力学计算探讨了La-O-S夹杂物存在的形式以及演变过程.La与O、S的相关反应化学方程式及反应标准吉布斯自由能如表2所列.例如,La2 O3形成的化学反应及热力学公式如下:

表2 钢液中[La] 与[S] 、[O] 之间反应的ΔGΘ和ΔG
Table 2 ΔGΘandΔG for chem ical reactions between[La] and[S] ,[O] in liquid steel J/mol

化学反应方程式ΔGΘΔG Z2 Z3 Z4 2/3[La] +[S] ==1/3 La2 S3(s)-400 300+141.7 T 8 931 3 683-5 384[La] +[S] ==LaS(s)-497 826+171.9 T-1 408-9 310-26 068 3/4[La] +[S] ==1/4 La3 S4(s)-434 595+152.4 T 2 333-3 579-14 568[La] +[O] +1/2[S] ==1/2 La2 O2 S(s)-712 910+175.5 T-127 829-133 628-144 103 2/3[La] +[O] ==1/3 La2 O3(s)-503 750+126.4 T-82 546-85 722-91 663

式中:ΔG为实际反应的吉布斯自由能,J/mol;ΔGΘ为实际反应的标准吉布斯自由能,J/mol;R为理想气体常数,取值8.314 J/(mol·K);T为温度,取值1 873 K(即1 600℃);a i为组元i在钢液中的活度,因为La夹杂物的熔点高于钢液温度,La2 O3、La2 O2 S等其他稀土化合物均以固态形式存在,活度为1;w Law O分别为La和O在钢液中的质量分数;f Laf O分别为La和O在钢液中的活度系数.对于钢液中任一组元i,其活度系数f i可由公式(2)计算:

式中:为自身活度相互作用系数;为第三组元j关于i的活度相互作用系数,具体数值见文献[29] ;w iw j分别为组元ij在钢液中的质量分数.

计算钢液中各种La化合物的反应吉布斯自由能ΔG,结果如表2所列.根据反应吉布斯自由能的负值,可以得出稀土La夹杂物生成优先级如下:La2 O2 S>La2 O3>LaS>La3 S4>La2 S3.添加La后,实验钢中氧的质量分数很低,难以形成La2 O3夹杂物,尤其当La的质量分数为0.022%时,氧的质量分数只有0.000 5%,此时,过量的La与S结合生成LaS,覆盖在La2 O2 S表面.这说明钢中氧含量越低,LaS越容易生成,越有利于La的脱硫.

2.3 时效后超高强度钢中组织的变化

图2展示了Z1~Z4钢经过淬火、回火和时效热处理工艺后的金相组织.添加不同质量分数的La后,实验钢基体组织均为板条马氏体,显微组织均由板条马氏体+残余奥氏体+细小碳化物组成.

图2 实验钢时效态组织
Fig.2 M icrostructures of test steels after aging

(a)—Z1;(b)—Z2;(c)—Z3;(d)—Z4.

从图2中可以发现,随着La质量分数的提高,黑色细小碳化物组织的数量不断减少,这说明La的添加可以使部分碳化物分解.板条马氏体和碳化物有助于钢获得高强度和硬度,残余奥氏体有助于钢保留韧塑性.

图3为实验钢时效态EBSD残余奥氏体分布图,其中红色区域为马氏体基体相,蓝色区域为残余奥氏体相.观察奥氏体分布,其中块状奥氏体组织是实验钢淬火后的残余奥氏体,随着深冷和回火处理的进行,残余奥氏体不断分解,形成宽度较窄的条状组织,或薄膜状组织,薄膜状组织为逆转变奥氏体,是实验钢在回火过程中部分马氏体再结晶形成的.

图3 实验钢时效态EBSD残余奥氏体分布图
Fig.3 EBSD retained austenite distribution of test steels after aging

(a)—Z1;(b)—Z2;(c)—Z3;(d)—Z4.

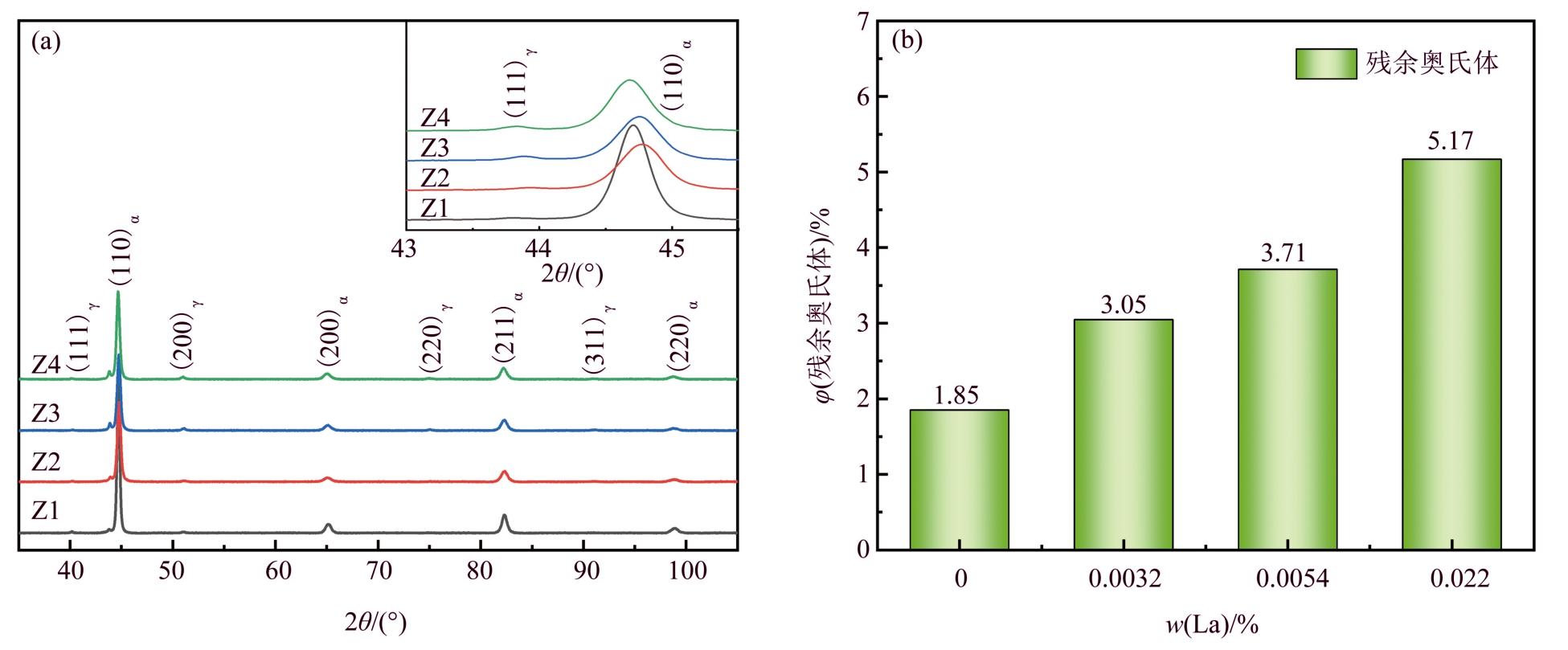
图4(a)为实验钢XRD衍射图谱,由图可知,随着La质量分数的提高,奥氏体(111)γ峰的高度不断上升,而马氏体(110)α和(211)α峰的高度不断下降.与Z1钢相比,Z2和Z3钢中马氏体(110)α峰的衍射角向更大的角度(向右)移位,这表明基体中的碳含量不断降低,而残余奥氏体体积分数的提高是碳含量降低的原因之一;Z4钢中马氏体(110)α峰的衍射角又重新向左移位,这说明大量的La原子偏聚在晶界,阻碍了基体中碳的扩散.利用XRD检测得到残余奥氏体体积分数,如图4(b)所示.从图4(b)中可以发现:当La的质量分数由0(无添加)升高至0.003 2%时,残余奥氏体体积分数由1.85%提升至3.05%;当La质量分数升高至0.022%时,Z4钢中残余奥氏体体积分数继续升高至5.17%.综上可知,2.0 GPa钢中添加稀土La促进了残余奥氏体体积分数的提升.

图4 实验钢XRD分析
Fig.4 XRD analysis of test steels

(a)—XRD衍射图谱;(b)—残余奥氏体体积分数.

2.4 超高强度钢力学性能的变化

Z1~Z4钢室温下的力学性能数据见图5.由图5可知,实验钢的抗拉强度均高于2.0 GPa,添加稀土La后,实验钢仍然具有较高的抗拉强度.Z1、Z2和Z3钢的屈服强度均在1.6 GPa左右,只有Z4钢的屈服强度有明显降低,为1.476 GPa,与Z1钢相比降低了0.120 GPa.Z1~Z4钢的伸长率几乎稳定在13%左右.当La的质量分数由0(无添加)升高至0.003 2%时,实验钢的冲击功由11.9 J升高至14.1 J,其中Z2钢的冲击功比Z1钢的冲击功提升了18.5%,提升效果显著.当La的质量分数继续升高至0.022%时,实验钢的冲击功从14.1 J升高到15.3 J,提升幅度开始变小,提升率仅为8.5%.

图5 实验钢室温下的力学性能
Fig.5 M echanical properties of test steels at room temperature

(a)—抗拉强度和屈服强度;(b)—伸长率和冲击功.

图6展示了实验钢室温下的冲击断口形貌.观察Z1钢断口,发现韧窝分布较少,且深度较浅,其中存在直径小于2μm的第二相粒子.韧窝内部的第二相粒子绝大多数为钢中夹杂物,且存在解理面,观察到撕裂棱呈现河流花样,可判断断裂模式为解理断裂.与Z1钢相比,Z2钢分布着密密麻麻的小韧窝,但也存在解理面.随着La质量分数的提高,Z3和Z4钢断口中的韧窝直径出现增大现象.含La钢的断裂模式均为韧性断裂,大而深的韧窝形貌表明存在裂纹扩展较大的塑性变形和撕裂行为,裂纹尖端易钝化,在钢的冲击过程中会消耗大量能量,这有利于钢的冲击功的提升.如图6所示,冲击试样断口中的韧窝分布越多,对应钢的韧性就越大.向钢中添加不同质量分数的稀土La后,可观察到冲击试样断口中的韧窝开始不断增多、变深,同时出现直径小于1μm的第二相粒子.韧窝往往以第二相粒子为核心形成并扩展,图6中的第二相粒子为夹杂物.根据EDS分析结果可知,Z1钢断口中的夹杂物主要是多边形Al2 O3夹杂物,而Z2~Z4钢断口中的夹杂物主要是球状LaAlO3-La2 O2 S复合夹杂物.

图6 实验钢室温下的冲击断口形貌
Fig.6 Im pact fracture morphology of test steels at room temperature

(a)—Z1;(b)—Z2;(c)—Z3;(d)—Z4.

添加稀土La后,实验钢钢液中许多杂质被净化,尺寸较大且有尖角的Al2 O3夹杂物变为尺寸较小的光滑球状LaAlO3和La2 O2 S颗粒,其弹性模量和热膨胀系数与钢基体更为接近,增大了与基体的聚合力,且在承受载荷时不易破碎,可有效降低夹杂物周围产生的应力集中,减弱裂纹敏感性,有利于提高钢的韧塑性[30-31].由图4可知,与Z1钢(无La添加)相比,Z2钢[w(La)=0.003 2%] 中残余奥氏体体积分数由1.85%提高至3.05%,提升了64.9%,这说明稀土La的添加提高了钢的残余奥氏体体积分数,而残余奥氏体是钢韧性提升的重要组成相.据报道[32]:一旦裂纹扩展,并在马氏体板条边界处遇到奥氏体膜,裂纹尖端就会变钝,扩展路径就会发生偏转,当裂纹穿透薄膜奥氏体时,会触发相变诱导塑性(transformation induced plasticity,TRIP)效应,在应力作用下诱发马氏体相变,提高钢的抗裂纹性能,阻止裂纹扩展,从而提高钢的韧性.如前文中所述,添加质量分数为0.003 2%的稀土La后,实验钢的冲击功从11.9 J升高至14.1 J,提升了18.5%,这与文献[24] 中添加稀土La使超高强度钢冲击功提升的研究结果基本一致.然而残余奥氏体较软,过量的残余奥氏体会降低钢的淬火硬度和强度,因此,当La的质量分数从0.003 2%升至0.022%时,钢的残余奥氏体体积分数从3.05%提高到5.17%,屈服强度却从1.615 GPa降低至1.476 GPa,降低了0.139 GPa.此外,稀土元素还能促进大尺寸碳化物向奥氏体溶解,提高奥氏体实际溶碳量,并提升奥氏体的稳定性,使淬火后的残余奥氏体含量升高[33].综上可知,稀土La的添加促进了夹杂物改性和残余奥氏体生成,阻碍了基体裂纹的扩展,从而改善了2.0 GPa超高强度钢的韧性.

3 结论

(1)稀土La可以对钢中非金属夹杂物球化改性.当钢中La的质量分数从0(无添加)升高到0.003 2%并继续升至0.022%时,夹杂物类型从带有棱角的MgO·Al2 O3先向球状稀土复合夹杂物LaAlO3-La2 O2 S演变,再向球状稀土复合氧硫化物LaS-La2 O2 S演变.

(2)残余奥氏体对钢的韧性提升有利,而添加La可增大钢中残余奥氏体体积分数.当La质量分数从0(无添加)升高到0.003 2%再升至0.022%时,残余奥氏体体积分数从1.85%分别提高到3.05%和5.17%.

(3)适量添加稀土La可以优化钢的韧性.当La质量分数从0(无添加)升高到0.003 2%再升至0.022%时,冲击功由11.9 J先提升至14.1 J,再提升至15.3 J,但屈服强度从1.596 GPa先提升至1.615 GPa,之后大幅降低至1.476 GPa.这说明过量添加稀土La会恶化钢的综合力学性能.

参考文献

[1] Kim Y K,Kim K S,Song Y B,et al.2.47 GPa grade ultrastrong 15Co-12Ni secondary hardening steel with superior ductility and fracture toughness[J] .Journal of Materials Science&Technology,2021,66:36-45.

[2] Jiao Z B,Luan J H,Miller M K,et al.Co-precipitation of nanoscale particles in steels with ultra-high strength for a new era[J] .Materials Today,2017,20(3):142-154.

[3] Li J H,Zhan D P,Jiang Z H,et al.Progress on improving strength-toughness of ultra-high strength martensitic steels for aerospace applications:a review[J] .Journal of Materials Research and Technology,2023,23:172-190.

[4] Ayer R,Machmeier P M.Transmission electron microscopy examination of hardening and toughening phenomena in AerMet 100[J] .Metallurgical Transactions A,1993,24(9):1943-1955.

[5] Ayer R,Machmeier P.On the characteristics of M2 C carbides in the peak hardening regime of AerMet 100 steel[J] .Metallurgical and Materials Transactions A,1998,29(3):903-905.

[6] 陈礼清,王帅,赵阳.超高强韧弹簧钢及其研究现状和发展趋势[J] .材料与冶金学报,2022,21(5):313-322.(Chen Liqing,Wang Shuai,Zhao Yang.Ultra-high strength and toughness spring steel and its research status and development trend[J] .Journal of Materials and Metallurgy,2022,21(5):313-322.)

[7] Handerhan K J,Garrison W M,Moody N R.A comparison of the fracture behavior of two heats of the secondary hardening steel AF1410[J] .Metallurgical Transactions A,1989,20(1):105-123.

[8] Ayer R,Machmeier P M.Microstructural basis for the effect of chromium on the strength and toughness of AF1410-based high performance steels[J] .Metallurgical and Materials Transactions A,1996,27(9):2510-2517.

[9] Qiu G X,Zhan D P,Li C S,et al.Effects of electroslag remelting process and Y on the inclusions and mechanical properties of the CLAM steel[J] .Nuclear Engineering and Technology,2020,52(4):811-818.

[10] Zhang S,Liu J,Tang M,et al.Role of rare earth elements on the improvement of corrosion resistance of micro-alloyed steels in 3.5wt.%NaCl solution[J] .Journal of Materials Research and Technology,2021,11:519-534.

[11] Garrison W M,Maloney J L.Lanthanum additions and the toughness of ultra-high strength steels and the determination of appropriate lanthanum additions[J] .Materials Science&Engineering A,2005,403(1/2):299-310.

[12] 余景生.稀土处理钢手册[M] .北京:冶金工业,1993:22-61.(Yu Jingsheng.Handbook of rare earth treated steel[M] .Beijing:Metallurgical Industry Press,1993:22-61.)

[13] 王瑞.超高强度钢制备工艺的关键技术研究[D] .沈阳:东北大学,2017.(Wang Rui.Key process technologies for manufacture of ultra high strength steels[D] .Shenyang:Northeastern University,2017.)

[14] Zhou W J,Zhu J,Zhang Z H.Austenite grain growth behaviors of La-microalloyed H13 steel and its effect on mechanical properties[J] .Metallurgical and Materials Transactions A,2020,51(9):4662-4673.

[15] Zhu J,Xie J X,Zhang Z H,et al.Microstructure and obdurability improvement mechanisms of the La-microalloyed H13 steel[J] .Steel Research International,2018,89(12):1800044.

[16] Wang C C,Zhang C,Yang Z G,et al.Microstructure analysis and yield strength simulation in high Co-Ni secondary hardening steel[J] .Materials Science&Engineering A,2016,669:312-317.

[17] Gao X Y,Ren H P,Wang H Y,et al.Effect of lanthanum on the precipitation and dissolution of NbC in microalloyed steels[J] .Materials Science&Engineering A,2017,683:116-122.

[18] 周峰,曹羽鑫,万响亮.稀土镧的添加对低合金高强钢粗晶热影响区韧性的影响[J] .材料热处理学报,2021,42(12):84-92.(Zhou Feng,Cao Yuxin,Wan Xiangliang.Effect of rare earth lanthanum addition on toughness of coarse-grained heat-affect zone of high strength low alloy steel[J] .Transactions of Materials and Heat Treatment,2021,42(12):84-92.)

[19] Gong W,Wang C,Wang P F,et al.Effect of La on inclusions and fracture toughness of low-alloy ultra-high-strength 40CrNi2Si2MoVA steel[J] .Journal of Iron and Steel Research International,2021,28(11):1408-1416.

[20] Maloney J L,Garrison W M.The effect of sulfide type on the fracture behavior of HY180 steel[J] .Acta Materialia,2005,53(2):533-551.

[21] Seo J Y,Park S K,Kwon H,et al.Influence of carbide modifications on the mechanical properties of ultra-highstrength stainless steels[J] .Metallurgical and Materials Transactions A,2017,48(10):4477-4485.

[22] Pioszak G L,Gangloff R P.Hydrogen environment assisted cracking of modern ultra-high strength martensitic steels[J] .Metallurgical and Materials Transactions A,2017,48(9):4025-4045.

[23] 张超,苏杰,梁剑雄,等.超高强度不锈钢沉淀行为研究进展[J] .钢铁,2018,53(4):48-61.(Zhang Chao,Su Jie,Liang Jianxiong,et al.Research development of precipitation behavior of ultra high strength stainless steels[J] .Iron&Steel,2018,53(4):48-61.)

[24] 张慧书,李吉航,战东平,等.稀土La对Ferrium S53超高强度钢组织和性能的影响[J] .钢铁研究学报,2023,35(12):1569-1578.(Zhang Huishu,Li Jihang,Zhan Dongping,et al.Effect of rare earth La on microstructure and properties of Ferrium S53 ultra high strength steel[J] .Journal of Iron and Steel Research,2023,35(12):1569-1578.)

[25] 张慧书,李吉航,战东平,等.稀土La对二次硬化超高强度钢Ferrium S53中夹杂物的影响[J] .辽宁科技学院学报,2023,25(2):1-4.(Zhang Huishu,Li Jihang,Zhan Dongping,et al.Effect of lanthanum on the non-metallic inclusions of Ferrium S53 ultrahigh strength steel[J] .Journal of Liaoning Institute of Science and Technology,2023,25(2):1-4.)

[26] 王奕,李长荣,熊星强,等.稀土镧对SWRS82B钢中氧化铝夹杂物的影响[J] .稀有金属,2022,46(9):1199-1206.(Wang Yi,Li Changrong,Xiong Xingqiang,et al.Alumina inclusions in SWRS82B steel with rare earth lanthanum[J] .Chinese Journalof Rare Metals,2022,46(9):1199-1206.)

[27] 曾溢彬,包燕平,赵家七,等.硅锰脱氧55SiCr弹簧钢中镁铝尖晶石的形成及演变[J] .钢铁,2022,57(8):69-77.(Zeng Yibin,Bao Yanping,Zhao Jiaqi,et al.Formation and evolution of magnesia-alumina spinel in Si-Mn deoxidized 55SiCr spring steel[J] .Iron&Steel,2022,57(8):69-77.)

[28] 龚伟,姜周华,战东平,等.轴承钢中镁的行为热力学分析[J] .过程工程学报,2009,9(增刊1):117-121.(Gong Wei,Jiang Zhouhua,Zhan Dongping,et al.Thermodynamic analysis of magnesium behavior in bearing steel[J] .The Chinese Journal of Process Engineering,2009,9(Sup 1):117-121.)

[29] 沈峰满.冶金物理化学[M] .北京:高等教育出版社,2017:308-318.(Shen Fengman.Physical chemistry of metallurgy[M] .Beijing:Higher Education Press,2017:308-318.)

[30] Thornton P A.The influence of nonmetallic inclusions on the mechanical properties of steel:a review[J] .Journal of Materials Science,1971,6(4):347-356.

[31] 张鸿涛,李凯华,孙胜辉,等.钢铁材料超塑性研究现状与发展[J] .材料与冶金学报,2023,22(5):478-488.(Zhang Hongtao,Li Kaihua,Sun Shenghui,et al.The current status and development of superplasticity in steel materials[J] .Journal of Materials and Metallurgy,2023,22(5):478-488.)

[32] 张洋鹏.超高强度21CoCrNi-RE/Al钢的强韧化机理研究[D] .沈阳:东北大学,2019.(Zhang Yangpeng.Study on strengthening and toughening mechanism of ultra-high strength 21CoCrNi-RE/Al steel[D] .Shenyang:Northeastern University,2019.)

[33] 高志国.镧对1.5 GPa超高强度钢淬透性的影响[J] .材料热处理学报,2020,41(11):103-109.(Gao Zhiguo.Effects of lanthanum on hardenability of 1.5 GPa ultrahigh strength steel[J] .Transactions of Materials and Heat Treatment,2020,41(11):103-109.)

Influence of rare earth lanthanum addition on inclusions and mechanical properties of 2.0 GPa ultra-high strength steel

Zhang Yunfei,Zhan Dongping,Li Jihang,Jiang Zhouhua
(School of Metallurgy,Northeastern University,Shenyang 110819,China)

Abstract:The effects of adding different mass fractions of rare earth La on the inclusions,microstructure,and mechanical properties of 2.0 GPa ultra-high strength steel,which was smelted by a vacuum induction furnace,have been investigated by means of a metallographic microscope,scanning electron microscope,EBSD analysis,XRD diffraction,and tensile and impact tests.The results reveal that as the mass fraction of La increases from 0(no addition)to 0.003 2%and then further to 0.022%in the steel,inclusions evolve from MgO·Al2 O3 to LaAlO3-La2 O2 S complex,and later to rare earth composite oxysulfides LaS-La2 O2 S.The volume fraction of retained austenite after aging is from 1.85%to 3.05%and then to 5.17%,with the improvement rates of 64.9%and 69.5%,respectively.The Charpy impact energy increases from 11.9 J to 14.1 J and then to 15.3 J,with the improvement rates of 18.5%and 8.5%,respectively.Rare earth La plays a key role in modifying and spheroidizing inclusions in the steel,and increases the volume fraction of retained austenite,leading to a significant increase in impact energy.However,when La is excessively added to a mass fraction of 0.022%,the yield strength of the steel decreases from 1.596 GPa to 1.476 GPa,with a decrease of 0.120 GPa.It is concluded that the optimal addition of rare earth La is 0.003 2%,in this case,contributing to a noticeable increase in the toughness of 2.0 GPa ultra-high strength steel.

Key words:rare earth lanthanum;ultra-high strength steel;cleanliness;inclusion modification;strength and toughness

中图分类号:TF 13;TG 142.1

文献标志码:A

文章编号:1671-6620(2026)01-0012-08

doi:10.14186/j.cnki.1671-6620.2026.01.002

收稿日期:2024-12-17.

基金项目:山西省吕梁市校地合作重点研发专项项目(2023XDHZ05);黑龙江省揭榜挂帅科技攻关项目(2022ZXJ03A02).作者简介:张云飞(2000—),男,硕士研究生,E-mail:zhangyunfei070016@163.com.

通讯作者:战东平(1976—),男,教授,E-mail:zhandp1906@163.com.

引文格式:张云飞,战东平,李吉航,等.稀土La对2.0 GPa超高强度钢中夹杂物和性能的影响[J] .材料与冶金学报,2026,25(1):12-19.(Zhang Yunfei,Zhan Dongping,Li Jihang,et al.Influence of rare earth lanthanum addition on inclusions and mechanical properties of 2.0 GPa ultra-high strength steel[J] .Journal of Materials and Metallurgy,2026,25(1):12-19.)

X