矿热炉水冷型烟道中颗粒沉积特性数值模拟

龚可新, 刘鹏, 张先珍, 寇丽萍, 兰孝宇

【作者机构】 沈阳化工大学机械与动力工程学院
【分 类 号】 TF806.7
【基    金】 辽宁省教育厅面上基金(LJKMZ20220775).
全文 文内图表 参考文献 出版信息
矿热炉水冷型烟道中颗粒沉积特性数值模拟

矿热炉水冷型烟道中颗粒沉积特性数值模拟

龚可新,刘 鹏,张先珍,寇丽萍,兰孝宇

(沈阳化工大学机械与动力工程学院,沈阳 110142)

摘 要: 为了解决矿热炉水冷型烟道内颗粒沉积造成的烟道输运效率下降等问题,利用计算流体力学(CFD)方法对水冷型烟道内颗粒沉积行为进行模拟.将JKR(Johnson-Kendall-Roberts)理论与Grant-Tabakoff 颗粒壁反弹模型相结合,对颗粒与壁面的碰撞行为、颗粒的受力情况和运动轨迹进行预测;同时,以临界捕捉速度作为颗粒沉积的判断准则,研究了烟气流速和三通段拐角对颗粒沉积速率的影响.结果表明:水冷型烟道颗粒的沉积主要集中在入口段、Ⅰ段至Ⅲ段烟道间外拐角和三通段;当烟气流速从3 m/s 增至11 m/s 时,烟道内颗粒沉积区范围缩小,颗粒的总沉积速率由1.12 g/s 降至0.76 g/s,烟气的最佳流速为7 m/s;当三通段夹角由60°增至100°时,颗粒总沉积速率由2.59 g/s 降至2.12 g/s,当三通段夹角增至90°时,颗粒总沉积速率不再明显减小,烟道最佳拐角为90°.

关键词: 矿热炉; 水冷型烟道; 两相流动; 颗粒沉积

回转窑-矿热炉工艺因具有镍铁品位高、生产效率高、工艺技术成熟等特点,被广泛应用于镍铁合金的实际生产中[1].在还原熔炼过程中,矿热炉会产生大量高温烟气.这些烟气携带矿料颗粒进入烟道后,颗粒在流动过程中会与烟道壁面发生碰撞和摩擦,进而引发烟道的沉积、磨蚀[2]和腐蚀等问题,甚至导致烟道使用寿命缩短.在实际生产过程中,烟道的入口段、各管段间的拐角处等结构复杂的位置,往往存在严重的颗粒沉积现象,且这些颗粒多呈分散状分布.因此,本文中拟对矿热炉水冷型烟道内气固两相流,以及颗粒沉积和去除行为进行数值模拟研究.

目前,研究人员已通过大量的实验和工程实践,构建数学模型以研究颗粒的沉积行为.Wood[3]利用无量纲沉积速率的半经验公式描述颗粒沉积行为,该公式至今仍被广泛使用.随着对颗粒沉积行为更深入的了解,学者们发现矿料颗粒随高温烟气在烟道中的输运过程是一个多相流动耦合多物理场的复杂过程,其包含气固两相的传热、传质和颗粒碰撞等过程.Pui 等[4]通过实验探究了小直径弯管中的颗粒沉积机理,发现在湍流情况下沉积效率与Stokes 数呈指数曲线关系.Ai 等[5]基于计算流体力学建立了颗粒沉积模型,该模型不仅考虑了颗粒的黏附、反弹和去除行为,还揭示了颗粒与壁面的碰撞机制.Zbogar 等[6]依据灰渣中各组分的特性对灰渣的沉积行为进行分析,揭示了灰渣的去除机理.Guha [7]采用随机拉格朗日粒子跟踪和统一的欧拉平流扩散法,对粒子的运动和沉积行为进行研究.Paz 等[8]对柴油排气系统烟尘颗粒沉积行为进行模拟,并综合考虑了颗粒输运过程中的布朗运动、湍流扩散、热泳动、黏附和去除等行为.Xu 等[9] 基于 JKR(Johnson-Kendall-Roberts)理论和临界沉积速度判断准则,分析了气体曳力、重力、萨夫曼升力、布朗力及热泳力对颗粒沉积的影响,发现随着烟气浓度的增加,颗粒结垢质量增大.

此外,研究者们发现颗粒的沉积行为不仅与输运机制有关,还与气体、颗粒及碰撞壁面的物性有关.Crosby 等[10]利用加速沉积实验,分析了颗粒粒径、气体温度和金属温度对燃料灰分沉积的影响,结果表明,颗粒的沉积速率随着气体温度的降低而减小.李猛等[11]采用离散颗粒模型研究了颗粒在直圆管中的沉积特性,并分析了流速和粒径对颗粒沉积速率的影响,结果表明,颗粒的沉积速度随着流速和粒径的增大而增加.

基于上述研究背景,本文中以镍铁冶炼工艺中使用的48 MW 矿热炉水冷型烟道为研究对象.该工况具有以下特点:颗粒粒径范围大(5 ~140 μm)、烟气温度高(800~1 000 ℃)、烟气流速快(3 ~28 m/s),且在冷却水作用下烟气温差显著.为深入分析颗粒沉积行为,本研究中采用RNG k-ε湍流模型模拟烟气流场,结合离散相模型(discrete phase model,DPM)与Grant-Tabakoff 颗粒壁反弹模型,追踪颗粒在输运过程中的运动轨迹,并预测其与壁面的碰撞行为.最后,通过将JKR 理论与临界捕捉速度相结合,建立颗粒沉积判断准则,系统探究烟气流速及三通段夹角对颗粒沉积行为的影响.

1 物理模型

图1 示出了本文中所研究的矿热炉水冷型烟道结构.高温烟气由底部入口进入烟道,从出口段流出烟道.烟道除入口段直径为1.7 m,其余各段直径D 均为1 m,Ⅰ段烟道、Ⅱ段烟道、Ⅲ段烟道、盲管段和出口段的长度分别为5.3,3.7,10,1.5,8 m,出口段与Ⅲ段烟道夹角α 为80°.烟道外侧覆盖有10 根水冷壁管,冷却水方向与烟气流动方向相反.

图1 水冷型烟道结构示意图
Fig.1 Water cooled flue structure diagram

2 数学模型

为了探究矿热炉烟道中烟气-固体颗粒的两相流动特性,利用欧拉模型[12]描述气相流动,利用拉格朗日模型预测颗粒的运动.同时,烟道具有大直径、高流速的特性,烟道入口雷诺数为42 000,采用RNG k-ε 湍流模型[13-14]模拟烟气的流场.

2.1 固相颗粒运动

2.1.1 运动控制方程

本文中采用DPM 求解固相颗粒的运动,并基于颗粒粒径分布特性,分析颗粒在输运过程中受力情况.由于本研究中烟气与颗粒的密度之比小于0.1,故忽略虚拟质量力和压力梯度力.本文中颗粒的受力分析主要考虑重力、曳力、Saffman 升力和热泳力,颗粒的运动方程[15]如下所示.

式中:mp 为颗粒质量,kg; 为颗粒速度,m/s;为烟气速度,m/s;ρp 为颗粒密度,kg/m3ρ 为烟气密度,kg/m3为合外力,N;为重力加速度,m/s2τr 为粒子弛豫时间,s;dp 为颗粒粒径,m;μ 为烟气动力黏度,(N·s)/m2CD 为球形阻力系数;Rep 为相对雷诺数.

Saffman 升力 是因存在流体速度梯度而产生的力,其表达式如下所示:

式中:v 为空气运动黏度,m2/s;K1 为常数,取2.594;dij为应变张量; 为热泳力,它是由流体的温度梯度所产生的力,与温度梯度成正比;DT,p为热泳力系数;T 为流体的温度,K.

2.1.2 颗粒与壁面相互作用

颗粒壁反弹模型不仅可以预测颗粒撞击壁面后的反弹角度和反弹速度,还会考虑到颗粒的多次碰撞.Grant 和Tabakoff[16]从统计学角度分析颗粒的反弹行为,利用实验数据来假设恢复系数的平均值,如式(6)~(7)所示.

式中:en为法向恢复系数;et 为切向恢复系数;u1nu2n分别为颗粒法向入射速度和颗粒法向反弹速度,m/s;u1tu2t 分别为颗粒切向入射速度和颗粒切向反弹速度,m/s;θ 为颗粒撞击角度,rad.

2.1.3 沉积模型

利用UDF 子程序拓展JKR 模型的颗粒沉积判断准则,即通过对比临界捕捉速度与颗粒撞击速度,判断颗粒是否沉积[17].临界捕捉速度ucr的计算公式如下:

式中:Rc为运动恢复系数,定义为反弹与到达变形恢复系数的比值,取0.9;K 为有效刚度参数;vsvp分别表示烟道壁面和颗粒的泊松比;Es为烟道壁面的杨氏模量,本文中取2.19×1011Ep 为颗粒的杨氏模量,与烟气温度成反比.

2.1.4 去除模型

研究表明,沉积过程是颗粒沉积和去除行为这两种相反机制同时作用的结果[18].本文中利用UDF 子程序调用DEFINE_DPM_EROSION 宏来建立颗粒去除模型,可表达为

式中:k 为去除常数;ψ 为沉积层强度系数;xf为颗粒沉积的厚度;τw 为壁面剪切应力;为去除速率.总沉积速率为沉积速率与去除速率之差,如式(12)所示. 为沉积速率; 为总沉积速率.

2.2 边界条件

烟气流域和冷却水流域均采用速度入口和压力出口边界条件;烟道壁面采用无滑移边界条件;烟道外壁与空气间的对流换热系数为5 J/(m2·s·℃);烟气的入口温度为1 073 K,密度为0.6 kg/m3,进口速度为3 ~11 m/s;冷却水的入口温度为25 ℃,入口速度为1.2 m/s.烟气物性参数均由企业提供,如表1 所列.此外,将矿料颗粒假设为球形颗粒,具体物性参数如表2 所列.

表1 烟气物性参数
Table 1 Physical parameters of furnace gas

温度K比热容(J·kg-1·K-1)热导率(W·m-1·K-1)黏度(mg·m-1·s-1)3001 1230.02818.6 5001 1880.04326.3 8001 2830.06335.9 1 0001 3380.07541.6 1 2001 3760.08746.8 1 4001 3990.08851.6 1 6001 4270.09456.3

表2 颗粒物性参数
Table 2 Physical parameters of the particle

特性符号数值颗粒密度/(kg·m-3)ρp2 530颗粒泊松比vp0.18壁面泊松比vs0.13颗粒直径/μmdp5~140烟气温度/KT1 073烟气速度/(m·s-1)u3~11

3 结果分析

3.1 模型验证

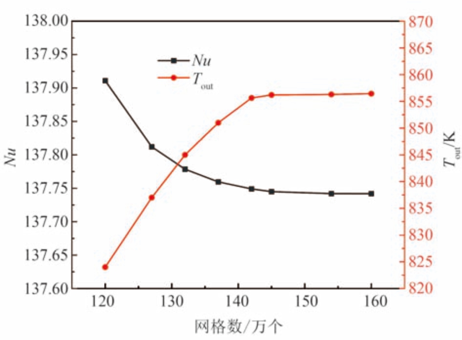
在数值模拟过程中,网格数量对仿真结果的影响较大.为了满足计算精度和计算效率,分析了在入口烟气流速为7 m/s、烟气温度为1 073 K 的条件下,不同网格数量对出口段努塞尔数Nu 和平均温度Tout的影响.如图2 所示,当网格数量超过142 万个后,NuTout不再发生显著变化,故该物理模型的整体网格数量取为142 万个.同时,为了确保烟气在近壁面处的计算精度,在近壁处采用了7 层边界层网格,且网格在管道壁面附近的无因次壁距为30~300.

图2 网格无关性验证图
Fig.2 Grid independence verification diagram

为了验证数学模型的准确性,本研究在入口流速为7 m/s、烟气温度为1 073 K 的条件下,模拟了无量纲松弛时间[3]对无量纲沉积速率的影响,并将数学模型与Sun 和Liu 等[19-20]的物理模型相结合进行仿真.如图3 所示,模拟结果与文献中的数据趋势高度吻合,且无量纲沉积速率的误差控制在5%以内,这充分验证了本文数学模型的可行性.

图3 模型验证对比图
Fig.3 Comparison diagram of model validation

3.2 水冷型烟道沉积分析

图4 为水冷型烟道速度场和温度场示意图.由图4 可知,烟道入口段、三通段、盲管段及各段烟道拐角处,烟气流速显著降低.由于烟道结构突变,烟气在三通段和拐角处流动受阻,形成涡流,流动紊乱加剧.这种紊乱的流动状态增大了烟气与冷却水间的换热量,进而使烟道中心与壁面间的温度梯度增大.温度梯度的增大强化了热泳力作用,促使颗粒向温度较低的区域迁移,最终导致颗粒沉积现象发生.

图4 水冷型烟道流场和温度场示意图
Fig.4 Schematic diagram of flow and temperature fields in water-cooled flue

图5 为水冷型烟道沉积速率云图.由图5 可知,颗粒沉积一般发生在入口段、烟道各分段间拐角处、三通段和盲管段位置.在入口段,烟道截面积突然变小,大粒径颗粒(dp>60 μm)受惯性力的影响,与壁面发生惯性碰撞并产生沉积.此时,入口段的温度较高,颗粒的杨氏模量较小,颗粒的黏附能力强,极易发生沉积行为[见式(9)~(10)].随后,颗粒在流经Ⅰ段、Ⅱ段和Ⅲ段烟道间拐角时,同样发生明显的沉积行为.主要原因有以下三点:一是烟气在烟道内拐角处发生边界层分离而形成涡流,小粒径颗粒(dp =5 ~20 μm)受湍流涡作用而发生沉积;二是大粒径颗粒随烟气流至烟道外拐角处,受惯性作用后与壁面碰撞发生沉积;三是烟道各分段拐角处的温度梯度较大,颗粒受到的热泳力增加[见式(5)],迫使颗粒向低温壁面运动而发生沉积.之后,颗粒受惯性力的影响,先随烟气流至盲管段,与壁面发生多次碰撞后,再随烟气返回三通段流入出口段.在此期间,颗粒流速减小,并因惯性碰撞和湍流涡等方式发生沉积.最后,颗粒随烟气流经出口段离开烟道.鉴于上述分析,着重研究烟道入口段、Ⅰ段至Ⅲ段烟道间拐角、三通段和盲管段的沉积情况.

图5 水冷型烟道沉积速率云图
Fig.5 Contours of deposition rate in water-cooled flue

3.3 烟气流速对颗粒沉积的影响

对烟气入口流速分别为3,5,7,9,11 m/s 时的沉积速率进行分析,结果如图6 所示.图6(a)为水冷型烟道入口段至Ⅲ段的沉积云图.从图6(a)中可看出,随着烟气流速的增加,颗粒沉积速率和沉积区范围逐渐减小,入口段的沉积颗粒多于其他区域.图6(b)为水冷型烟道盲管段和三通段的沉积云图.从图6(b)中可看出,盲管段和三通段沉积速率随着烟气流速的增加而减小,沉积区范围也随之减小.

图6 不同烟气流速下的水冷型烟道颗粒沉积云图
Fig.6 Deposition contours of particles in water-cooled flue at different flue gas velocity

(a)—入口段至Ⅲ段;(b)—盲管段和三通段.

图7 示出了烟气流速与沉积速率、去除速率、总沉积速率的关系.由图7 可知:当烟气流速由3 m/s增至11 m/s 时,水冷型烟道的沉积速率由1.24 g/s降至1.04 g/s,去除速率由0.12 g/s增至2.85 g/s,总沉积速率由1.12 g/s 降至0.76 g/s;当烟气流速到达7 m/s 之后,沉积速率、去除速率和总沉积速率的变化趋势均呈放缓态势.

图7 烟气流速对颗粒沉积速率、去除速率和总沉积速率的影响
Fig.7 Effect of flue gas velocity on particle deposition rate,removal rate,and total deposition rate

从图8 中可以看出,随着烟气流速的增加,入口段、Ⅰ段、Ⅱ段、Ⅲ段、三通段和盲管段的颗粒总沉积速率均逐渐减小.当烟气流速较大时,颗粒的碰撞速度和切应力均较大,颗粒不易黏附在壁面上,同时,还会增大颗粒的去除速率,使颗粒的沉积速率变小,进而导致颗粒总沉积速率减小.虽然烟气流速的增加有益于减小颗粒的沉积速率,但是当烟气流速超过7 m/s 后,颗粒的沉积速率、去除速率和总沉积速率变化均逐渐趋于平缓.因此,为了保证烟道在实际生产过程中的高效输运,应将烟气的入口流速控制在7 m/s 左右.

图8 烟气流速对烟道各分段总沉积速率的影响
Fig.8 Effect of flue gas velocity on total deposition rate in each section

3.4 烟道三通段夹角对颗粒沉积的影响

烟道结构对颗粒的沉积速率有着较大的影响,着重研究了三通段夹角分别为60°,70°,80°,90°和100°的条件下,水冷型烟道三通段和盲管段处颗粒沉积速率的变化.如图9 所示,随着烟道三通段夹角的增大,颗粒在盲管段和三通段的沉积速率逐渐减小,且颗粒的沉积范围也逐渐缩小.当三通段夹角较小时,大量颗粒会高速流经该区域.随后,受惯性作用影响,这些颗粒涌入盲管段并与壁面发生碰撞,从而形成沉积.而那些未沉积的颗粒在与壁面碰撞后,速度会显著降低.这些低速颗粒随后返回三通段,再次与壁面碰撞,此时极易发生沉积.随着烟道三通段夹角的增大,在惯性力作用下,直接流入出口段的颗粒逐渐增多,而流入盲管段的颗粒减少,这将降低颗粒与壁面的碰撞概率,从而造成盲管段内颗粒的沉积速率明显减小,最终颗粒的沉积区域主要集中于三通段附近.图10 为在不同三通段夹角下水冷型烟道盲管段和三通段的颗粒沉积速率、去除速率和总沉积速率折线图.由图10 可知:当三通段夹角由60°增至100°时,盲管段的沉积速率由0.34 g/s降至0.04 g/s,去除速率由0.09 g/s 降至0.02 g/s,总沉积速率由0.25 g/s 降至0.02 g/s;三通段的沉积速率由0.63 g/s 降至0.25 g/s,去除速率由0.18 g/s 降至0.04 g/s,总沉积速率由0.45 g/s降至0.21 g/s.随着三通段夹角的增大,盲管段和三通段的沉积速率、去除速率和总沉积速率变化趋势均趋于平缓.综上分析,在实际生产过程中,三通段夹角的增大确实可以有效减小颗粒的沉积速率,但当三通段夹角超过90°后,该作用会越来越弱.同时,受工厂内部空间(高度)结构的限制,水冷型烟道的三通段拐角不能过大,故选择90°三通段夹角更有利于提高水冷型烟道的运行效率.

图9 不同三通段夹角下盲管段和三通段颗粒的沉积云图
Fig.9 Deposition contours of particles at different T-junction section corners temperature in blind section and T-junction section

图10 三通段夹角对盲管段和三通段的颗粒沉积速率、去除速率和总沉积速率的影响
Fig.10 Effect of T-junction section corners on deposition rate,removal rate,and total deposition rate in blind section and tee section

(a)—盲管段;(b)—三通段.

4 总结

(1)水冷型烟道的沉积主要集中于入口段、Ⅰ段至Ⅲ段烟道拐角处及三通段.在入口段,颗粒因烟道截面积骤减、惯性碰撞及高温而发生沉积;而在各分段间拐角、盲管段及三通段,颗粒则受流速偏低、温度梯度显著、惯性碰撞及湍流涡的共同影响而沉积.

(2)当烟气流速由3 m/s 增至11 m/s 时,颗粒的沉积速率减小、去除速率增大,颗粒总沉积速率由1.12 g/s 降至0.76 g/s.当烟气流速超过7 m/s时,颗粒的沉积速率、去除速率和总沉积速率的变化趋于平缓,水冷型烟道的最佳流速为7 m/s.

(3)三通段拐角的改变主要影响盲管段和三通段的颗粒沉积速率,三通段拐角的增大会导致颗粒沉积速率和去除速率的减小.当三通段夹角由60°增至100°时,颗粒的总沉积速率由2.59 g/s降至2.12 g/s;当夹角超过90°时,颗粒在盲管段和三通段的沉积速率、去除速率和总沉积速率均不再明显减小.同时,由于烟道受工厂内部空间结构限制拐角不能过大,故水冷型烟道三通段夹角的最佳角度为90°.

5 参考文献

[1] Liu P,Li B K,Cheung S C P,et al.Material and energy flows in rotary kiln-electric furnace smelting of ferronickel alloy with energy saving[J].Applied Thermal Engineering,2016,109:542-559.

[2] 马梓舰,刘鹏,刘伟,等.矿热炉烟道气固两相传质机理及冲蚀特性[J].材料与冶金学报,2022,21(4):247-254.(Ma Zijian,Liu Peng,Liu Wei,et al.Numerical simulation of gas-solid two-phase mass transfer mechanism and solid particle erosion wear characteristics in the electric furnace flue[J].Journal of Materials and Metallurgy,2022,21(4):247-254.)

[3] Wood N B.A simple method for the calculation of turbulent deposition to smooth and rough surfaces[J].Journal of Aerosol Science,1981,12(3):275-290.

[4] Pui D Y H,Romay-Novas F,Liu B Y H.Experimental study of particle deposition in bends of circular cross section[J].Aerosol Science and Technology,1987,7(3):301-315.

[5] Ai W G,Fletcher T H.Computational analysis of conjugate heat transfer and particulate deposition on a high pressure turbine vane [ J].Journal of Turbomachinery,2012,134(4):041020.

[6] Zbogar A,Frandsen F,Jensen P A,et al.Shedding of ash deposits[J].Progress in Energy and Combustion Science,2009,35(1):31-56.

[7] Guha A.Transport and deposition of particles in turbulent and laminar flow[J].Annual Review of Fluid Mechanics,2008,40:311-341.

[8] Paz C,Suárez E,Eirís A,et al.Development of a predictive CFD fouling model for diesel engine exhaust gas systems[J].Heat Transfer Engineering,2013,34(8/9):674-682.

[9] Xu Z M,Han Z M,Sun A D,et al.Numerical study of particulate fouling characteristics in a rectangular heat exchange channel [ J].Applied Thermal Engineering,2019,154:657-667.

[10] Crosby J M,Lewis S,Bons J P,et al.Effects of temperature and particle size on deposition in land based turbines[J].Journal of Engineering for Gas Turbines and Power,2008,130(5):051503.

[11] 李猛,陶乐仁,杜登高,等.颗粒物在直管的颗粒沉积规律数值模拟[J].化学工程,2023,51(7):72-77.(Li Meng,Tao Leren,Du Denggao,et al.Numerical simulation of particle deposition in straight pipe[J].Chemical Engineering(China),2023,51(7):72-77.)

[12] 朱苗勇,娄文涛.炼钢过程多相流及其反应动力学数值模拟研究[J].材料与冶金学报,2022,21(1):1-19.(Zhu Miaoyong,Lou Wentao.Numerical simulation of multiphase flow and reaction kinetics during steelmaking process[J].Journal of Materials and Metallurgy,2022,21(1):1-19.)

[13] Abd-Elhady M S,Rindt C C M,Wijers J G,et al.Particulate fouling in waste incinerators as influenced by the critical sticking velocity and layer porosity [ J].Energy,2005,30 (8):1469-1479.

[14] Lu H,Lu L,Jiang Y.Numerical study of monodispersed particle deposition rates in variable-section ducts with different expanding or contracting ratios [ J ].Applied Thermal Engineering,2017,110:150-161.

[15] 孔德海,李心慧,牛夕莹,等.基于CFD-DEM 微细带肋内冷通道中颗粒沉积特性比较研究[J].热能动力工程,2023,38(12):84-94.(Kong Dehai,Li Xinhui,Niu Xiying,et al.Comparative study of particle deposition characteristics in a miniature ribbed internal cooling channel based on CFD-DEM[J].Journal of Engineering for Thermal Energy and Power,2023,38(12):84-94.)

[16] Grant G,Tabakoff W.Erosion prediction in turbomachinery resulting from environmental solid particles[J].Journal of Aircraft,1975,12(5):471-478.

[17] Wang F L,He Y L,Tang S Z,et al.Parameter study on the fouling characteristics of the H-type finned tube heat exchangers[J].International Journal of Heat and Mass Transfer,2017,112:367-378.

[18] Pei J,Lui A,Zhang Q,et al.Numerical investigation of the maximum erosion zone in elbows for liquid-particle flow[J].Powder Technology,2018,333:47-59.

[19] Sun K,Lu L,Jiang H.Modelling of particle deposition and rebound behaviour on ventilation ducting wall using an improved wall model[J].Indoor and Built Environment,2011,20(3):300-312.

[20] Liu P,Liu W,Gong K X,et al.Numerical study on particulate fouling characteristics of flue with a particulate fouling model considering deposition and removal mechanisms[J].Energies,2022,15(22):8708.

Numerical study of particle deposition characteristics in the water-cooled flue of the submerged arc furnace

Gong Kexin,Liu Peng,Zhang Xianzhen,Kou Liping,Lan Xiaoyu
(School of Mechanical and Power Engineering,Shenyang University of Chemical Technology,Shenyang 110142,China)

Abstract: To solve the problem of low flue transport efficiency caused by particle fouling in the water-cooled flue,computational fluid dynamics (CFD) is used to numerically simulate the particle deposition characteristics in the watercooled flue.The JKR (Johnson-Kendall-Roberts) theory is combined with the Grant-Tabakoff particle-wall rebound model to predict the particle-wall collision behaviour,the force on the particle,and the particle trajectory.Meanwhile,using the critical capture velocity as the judgment criterion for particle deposition,the effects of flue gas velocity and T-junction section inflection angle on particle deposition rate are investigated.The results show that the particledeposition in water-cooled flue mainly occurs at the entrancesection,the outside corners among the flue from section Ⅰto section Ⅲ,and the T-junction section.When the flue gas velocity increases from 3 m/s to 11 m/s,the particle deposition zone in the flue shrinks,and the total deposition rate of the particle decreases from 1.12 g/s to 0.76 g/s,with an optimum flow velocity of flue gas is 7 m/s.When theinflection angle of the T-junctionincreases from 60° to 100°,the particle total deposition rate decreases from 2.59 g/s to 2.12 g/s.When the inflection angle of the T-junction is increased to 90°,theparticletotal deposition rate is no longer significantly decreased.Thus,the optimum inflection angle of the T-junction section is 90°.

Key words: submerged arc furnace; water-cooled flue; two-phase flow; particle deposition

中图分类号: TF 806.7

文献标志码: A

文章编号: 1671-6620(2025)06-0581-08

doi: 10.14186/j.cnki.1671-6620.2025.06.002

收稿日期: 2024-03-20.

基金项目: 辽宁省教育厅面上基金(LJKMZ20220775).

作者简介: 龚可新(1998—),男,硕士研究生,E-mail: a603916414@qq.com.

通讯作者: 刘鹏(1986—),男,讲师,E-mail: liu_peng86@163.com.

引文格式: 龚可新,刘鹏,张先珍,等.矿热炉水冷型烟道中颗粒沉积特性数值模拟[J].材料与冶金学报,2025,24 (6): 581-588.(Gong Kexin,Liu Peng,Zhang Xianzhen,et al.Numerical study of particle deposition characteristics in the water-cooled flue of the submerged arc furnace [J].Journal of Materials and Metallurgy,2025,24 (6): 581-588.)

X