炉渣二元碱度对钒钛磁铁矿预还原团块熔分行为的影响

赵猛1, 田宏宇1, 储满生1,2,3, 唐珏1, 周浩宇4, 王业峰4

【作者机构】 1东北大学冶金学院; 2东北大学辽宁省低碳钢铁前沿技术工程研究中心; 3低碳钢铁前沿技术教育部工程研究中心; 4中冶长天国际工程有限责任公司
【分 类 号】 TF
【基    金】 国家自然科学基金项目(52404341) 国家自然科学基金重点项目(U23A20608) 中国五矿集团有限公司科技专项计划项目(2021ZXA04).
全文 文内图表 参考文献 出版信息
炉渣二元碱度对钒钛磁铁矿预还原团块熔分行为的影响

炉渣二元碱度对钒钛磁铁矿预还原团块熔分行为的影响

赵 猛1,田宏宇1,储满生1,2,3,唐 珏1,周浩宇4,王业峰4

(1.东北大学冶金学院,沈阳 110819;2.东北大学辽宁省低碳钢铁前沿技术工程研究中心,沈阳 110819;3.低碳钢铁前沿技术教育部工程研究中心,沈阳 110819;4.中冶长天国际工程有限责任公司,长沙 410205)

摘 要:基于热力学、工艺矿物学和热态实验,系统研究了炉渣二元碱度R2[即w(CaO)/w(SiO2)] 对钒钛磁铁矿预还原团块熔分行为的影响.FactSage热力学计算结果表明,提高R2能够降低熔分生铁中的Ti含量,而对Fe和V的生成温度及生成量影响较小.综合热态实验结果和工艺矿物学理论可得:当R2由0.43升至0.8时,熔分生铁中Fe和V的回收率分别由97.07%和82.31%升至98.89%和89.48%;熔分渣中TiO2的回收率由93.67%升至95.21%.低熔点相的形成可降低铁合金相夹杂程度,促进有价元素的定向迁移,从而改善渣铁分离效果.当R2高于0.8时,其对有价组元的回收率影响较小,高熔点物相钙钛矿的生成使熔分渣相的熔点升高,黏度和渣量增大,从而增加了电炉冶炼成本和能耗.

关键词:钒钛磁铁矿;二元碱度;熔化分离;回收率;炉渣特性

钒钛磁铁矿是一种以Fe、V、Ti为主,并伴生其他有价元素的复合矿产资源,在冶金、航空航天及化工等领域具有广泛应用[1-3].我国钒钛磁铁矿储量丰富,具有极高的综合利用价值和开发潜力[4].目前,高炉—转炉流程仍是冶炼钒钛磁铁矿的主流工艺.然而,该工艺存在流程长、有价组元回收率低以及环境污染严重等问题,不适合钒钛磁铁矿未来大规模清洁高效综合利用[5-6].转底炉预还原—电炉熔分流程具有原料适应性强、环境污染小及有价组元回收率高等优势,是未来冶炼钒钛磁铁矿的有效途径[7].其中,电炉熔分工艺是该流程的核心环节.

近年来,众多学者针对钒钛磁铁矿的电炉熔分工艺展开了深入研究.王南[8]以红格钒钛磁铁矿金属化球团为原料,研究冶炼温度对熔分效果的影响,得出铁水中Fe、V、Cr以及渣中Ti O2的回收率均随冶炼温度先升高后下降的规律.秦晋[9]利用FactSage 7.0热力学软件对熔分过程进行热力学分析,发现随着渣中MgO含量的升高,炉渣的黏度减小,熔化性温度降低,熔分反应动力学条件得到改善.何桂珍等[10]以钒钛磁铁矿金属化球团为原料,研究了配加碳粉对熔分过程的影响,得出适量碳粉可以有效抑制熔分过程中V和Cr发生二次氧化,提高有价组元回收率的结论.然而,炉渣渣系对熔分过程亦有显著影响,其中碱度是决定炉渣性能的重要因素.目前,炉渣渣系的相关理论体系尚不完善,碱度对熔分渣系特性的影响及作用机制仍待进一步研究.

本文中系统研究炉渣二元碱度R2[即w(CaO)/w(SiO2)] 对钒钛磁铁矿预还原团块电炉熔分行为的影响.利用FactSage 7.2热力学软件分析熔分过程中Fe、V和Ti的生成温度及生成量,并以钒钛磁铁矿预还原团块为原料,通过实验验证炉渣碱度对熔分效果的影响,借助XRD、SEM-EDS等现代分析测试技术,对熔分产物的化学成分、物相组成及微观形貌进行表征与分析,阐明炉渣碱度对钒钛磁铁矿预还原团块熔分行为的影响机理,为钒钛磁铁矿的高效利用提供理论指导.

1 实验原料与实验方案

1.1 实验原料

本实验中使用的原料是某钢铁厂转底炉生产的钒钛磁铁矿预还原团块,其化学成分和XRD图谱分别如表1和图1所示.

图1 钒钛磁铁矿预还原团块的XRD图谱
Fig.1 XRD pattern of vanadium-titanium magnetite pre-reduced pellets

表1 钒钛磁铁矿预还原团块的化学成分(质量分数)
Table 1 Chem ical composition of vanadium-titanium magnetite pre-reduced pellets(mass fraction) %

注:MFe为39.73%.

?

由表1可知,钒钛磁铁矿预还原团块的铁品位(质量分数,下同)是64.12%,金属铁的质量分数是39.73%,金属化率是61.96%.TiO2和V2 O5的质量分数分别是15.53%和0.62%.CaO、SiO2、MgO和Al2 O3的质量分数分别是2.39%、5.55%、3.26%和3.94%,二元碱度R2是0.43,四元碱度R4[即w(CaO+MgO)/w(SiO2+Al2 O3)] 是0.59.S和P的质量分数分别为0.709%和0.083%,残碳的质量分数为3.14%.

由图1可知,钒钛磁铁矿预还原团块中主要物相是金属铁,次要物相包括镁铁尖晶石(MgFe2 O4)、钛酸镁(MgTiO3)、黑钛石(MgTi2 O5)、钛铁矿(FeTiO3)、钛酸铁(Fe2 TiO5)、钒铁氧化物(FeV2 O4)、钒酸镁(MgV2 O4)和钙铁辉石(CaFeSi2 O6)等.

1.2 实验方案

使用中频感应炉(郑州市科创电子有限公司生产,型号为XZ-40B)对钒钛磁铁矿预还原团块进行熔化与分离.该设备由炉体、自动控制系统、加热系统、保护气系统以及循环水冷却系统组成.在熔分过程中,调节中频感应炉的加热频率可精准控制炉温,以确保达到预设冶炼温度.熔分过程中的温度由红外测温仪(上海双旭电子有限公司生产,型号为OT-8869H)进行测量.

在本研究中,电炉熔分钒钛磁铁矿预还原团块的冶炼工艺参数设定如下:冶炼温度为1 575℃,冶炼时间为45 min,n(C)/n(O)(即添加的纯石墨粉量与钒钛磁铁矿预还原团块中铁氧化物和钒氧化物总氧量的摩尔比)为1.2.实验前,将钒钛磁铁预还原团块破碎至粒径小于1 mm,每次实验取100 g破碎后的物料,与纯石墨粉及熔剂CaO充分混合均匀后,装入石墨坩埚中,置于中频感应炉中心位置.石墨坩埚随着中频感应炉同时升温,整个实验过程中持续通入氩气,以维持体系的惰性气氛.冶炼温度用红外测温仪测量,并取3次测量结果的平均值作为实际冶炼温度.待冶炼温度升至预设温度后,开始对冶炼时间进行计时.达到设定的冶炼时间后,迅速取出石墨坩埚,并将其置于通入氩气的密封罐中冷却,以防止熔分产物发生二次氧化.待坩埚冷却至室温后,对熔分产物进行化学分析,测定Fe、V和Ti的含量,并计算出熔分生铁中Fe、V的回收率及熔分渣中TiO2的回收率.

熔分生铁中Fe、V及熔分渣中TiO2的回收率计算分别如公式(1)和(2)所示:

式中:η(i)为熔分生铁中Fe、V的回收率,%;w(i)为钒钛磁铁矿预还原团块中Fe、V的质量分数,%;w[i] 为熔分生铁中Fe、V的质量分数,%;m1为钒钛磁铁矿预还原团块的质量,g;m2为熔分生铁的质量,g.

式中:η(TiO2)为熔分渣中TiO2的回收率,%;w(TiO2)为钒钛磁铁矿预还原团块中TiO2的质量分数,%;w[TiO2] 为熔分渣中TiO2的质量分数,%;m3为熔分渣的质量,g.

2 实验结果与讨论

2.1 热力学计算

为探究炉渣二元碱度对钒钛磁铁矿预还原团块熔分过程的影响,采用FactSage 7.2热力学软件中的Equilib模块,对不同R2下的预还原团块熔分过程进行热力学平衡计算,温度范围设定为1 000~1 700℃.基于热力学计算结果,重点分析了有价组元Fe、V和Ti的生成温度及生成量随R2的变化规律,结果见图2.

图2 不同R2下钒钛磁铁矿预还原团块热力学平衡分析
Fig.2 Thermodynam ic equilibrium analyses of vanadiu m-titanium magnetite pre-reduced pellets at different R2

由图2可知,随着R2的提高,铁水中的Ti含量略微降低,这有利于Ti在渣中富集,从而提高Ti的回收率.然而,铁水中Fe和V的生成温度及生成量几乎不随R2的升高发生明显变化.这表明R2对熔分反应的热力学影响较小,其主要作用在于促进熔分过程的传质,优化熔分过程的动力学条件,改善渣铁分离效果[11].因此,需要进一步研究R2对钒钛磁铁矿预还原团块熔分过程中渣铁分离效果,有价组元Fe、V、Ti的回收率,以及熔分渣物相组成和微观形貌的影响.

2.2 炉渣二元碱度对熔分效果的影响

不同R2下,钒钛磁铁矿预还原团块熔分后的宏观形貌如图3所示.由图3可知,在不同R2下,钒钛磁铁矿预还原团块熔分后均出现较明显的渣铁分离现象.随着R2升高至0.8后,熔分渣相的孔洞数量显著减少,体积不断增大.这种现象产生的原因是CaO作为碱性氧化物,在熔分过程中会释放自由氧离子(O2-),破坏炉渣的网状结构,从而减小熔分渣黏度,促进熔分过程中的传质,改善熔分反应的动力学条件[12].

图3 不同R2下渣铁分离宏观形貌图
Fig.3 M acroscopic morphologies of slag iron separation at different R2

(a)—R2=0.43;(b)—R2=0.6;(c)—R2=0.8;(d)—R2=1.0;(e)—R2=1.2.

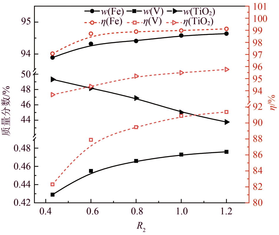
R2对熔分生铁中Fe、V和熔分渣中TiO2的质量分数以及回收率的影响如图4所示.由图4可知,随着R2由0.43升高至0.8,熔分生铁中Fe、V的质量分数分别由93.89%和0.429%升高至94.41%和0.466%,相对应的回收率分别由97.07%和82.31%升高至98.89%和89.48%,熔分渣中TiO2的质量分数由49.32%下降至46.89%,相对应的回收率由93.67%升高至95.21%.R2的升高导致渣中自由氧离子(O2-)数量增多,破坏了炉渣的网状结构,减小了熔分渣黏度,改善了渣系的流动性,从而促进了预还原团块熔分过程中铁氧化物和钒氧化物的还原反应,提升了熔分生铁中Fe、V的质量分数和回收率[13].此外,加入的CaO与渣中自由的TiO2结合为钙钛矿系化合物,这会降低自由氧化物TiO2的活度,抑制钛氧化物的还原,进而提高熔分渣中TiO2的回收率[14].然而,当R2由0.8升高至1.2时,有价组元Fe、V和Ti的回收率提升幅度较小,这说明过量的CaO会导致熔分渣量增加和电炉冶炼能耗增大;同时,熔分渣中TiO2的质量分数由46.89%降至43.76%.经综合考虑,推荐的最优炉渣二元碱度为0.8.

图4 不同R2下熔分生铁中Fe、V以及熔分渣中TiO2的质量分数和回收率
Fig.4 M ass fraction and recovery of Fe and V in molten pig iron and TiO2 in molten slag at different R2

2.3 炉渣二元碱度对熔分渣物相组成的影响

不同R2下,钒钛磁铁矿预还原团块熔分渣相的XRD图谱如图5所示.

图5 不同R2下熔分渣的XRD图谱
Fig.5 XRD patterns of molten slag at different R2

由图5可知,当R2为0.43时,熔分渣中主要物相为黑钛石(MgTi2 O5)、镁铝尖晶石(MgFe2 O4)、镁橄榄石(Mg2 SiO4)及硅酸盐矿物.当R2升高至0.8时,熔分渣中出现钙钛矿(CaTiO3)和钙长石(CaAl2 Si2 O8)的衍射峰.随着R2的进一步升高,钙钛矿、钙长石以及硅酸盐矿物的衍射峰强度升高,而镁橄榄石的衍射峰强度降低.虽然随着R2的升高,炉渣中会生成含钙硅酸盐及钙长石等低熔点物相,但同时也会生成高熔点的钙钛矿.高熔点的钙钛矿会升高熔分渣的熔点并增大其黏度,对熔分渣的流动性产生不利影响[15].此外,将钙钛矿作为钛的富集相不利于后续酸法提钛,会造成钛资源的损失[16].

2.4 炉渣二元碱度对熔分渣微观形貌的影响

为了探究R2对钒钛磁铁矿预还原团块熔分过程中Fe、V和Ti有价组元选择性还原及迁移行为的影响,利用SEM-EDS分析了不同R2下渣相中Fe、V和Ti的分布及铁晶粒的夹杂情况,结果见图6和表2.由图6和表2可知,当R2为0.43时,熔分渣中主要存在铁合金相、黑钛石相及硅酸盐相.随着R2的升高,铁合金相的尺寸和密度大幅度减小,夹杂现象得到明显改善.当R2达到0.8时,熔分渣中出现少量的钙钛矿;随着R2进一步提高,钙钛矿生成量不断增加.钙钛矿属于高熔点物相,会提高熔分渣的熔点并增大其黏度,从而对熔分渣的流动性产生不利影响.

图6 不同R2下熔分渣的SEM分析
Fig.6 SEM analyses of molten slag at different R2

(a)—R2=0.43;(b)—R2=0.6;(c)—R2=0.8;(d)—R2=1.0;(e)—R2=1.2.

表2 熔分渣的EDS分析(质量分数)
Table 2 EDS analyses of molten slag(mass fraction) %

分析点O Fe Ti V S P Si Ca Mg Al物相1 1.17 96.74 0.45 0.39 0.35 0.12 0.09 0.22 0.16 0.31铁合金2 24.53 0.59 63.38 0.04 0.09 0.01 0.19 0.83 8.21 2.13黑钛石3 31.91 0.94 11.05 0.01 0.54 0.02 21.29 11.32 10.26 12.66硅酸盐4 0.87 96.99 0.36 0.40 0.30 0.14 0.10 0.17 0.21 0.46铁合金5 25.69 0.41 62.17 0.04 0.07 0.01 0.34 1.07 9.10 1.10黑钛石6 34.33 0.82 11.21 0.01 0.61 0.01 19.19 12.18 11.37 10.27硅酸盐7 0.78 97.18 0.33 0.45 0.14 0.15 0.29 0.16 0.28 0.24铁合金8 35.23 0.12 52.34 0.02 0.05 0.01 0.56 0.80 9.89 0.98黑钛石9 22.94 0.22 50.32 0.03 0.24 0.01 2.64 19.79 2.43 1.38钙钛矿10 44.81 0.74 7.47 0.01 0.67 0.01 19.32 11.31 8.45 7.21硅酸盐11 0.91 96.86 0.47 0.43 0.20 0.13 0.17 0.19 0.36 0.28铁合金12 25.85 0.38 61.17 0.03 0.06 0.01 0.49 0.61 10.21 1.19黑钛石13 19.70 0.18 51.21 0.03 0.21 0.01 2.89 21.31 3.29 1.17钙钛矿14 39.66 0.91 8.10 0.01 0.61 0.01 21.43 10.87 10.21 8.19硅酸盐15 0.90 96.94 0.42 0.47 0.11 0.16 0.38 0.10 0.33 0.19铁合金16 32.95 0.10 54.81 0.02 0.03 0.01 0.39 0.58 10.31 0.80黑钛石17 21.83 0.31 52.19 0.03 0.28 0.01 2.21 20.32 1.39 1.43钙钛矿18 42.97 0.35 6.82 0.01 0.72 0.01 20.48 13.87 8.29 6.48硅酸盐

随着R2的升高,黑钛石及硅酸盐相中的V含量不断降低,夹杂铁合金相中的V含量不断升高,Ti含量逐渐降低.这说明R2的升高有利于V进入铁水和Ti进入炉渣,原因是R2的升高促进了渣系的传质,增强了渣系的流动性,改善了熔分反应的动力学条件,从而促进了有价组元的定向迁移.

R2为0.8时,熔分渣微观形貌的SEM面扫图谱如图7所示.由图7可知,熔分渣相中除了夹杂合金相中的Fe含量较高外,其他物相中的Fe含量均较低,V和Ti分布规律相似,但是残余V含量较低.Ti主要分布在黑钛石和硅酸盐中,部分分布在钙钛矿中,这表明有价组元Fe、V和Ti实现了选择性还原及定向迁移的调控效果.

图7 熔分渣的SEM面扫分析(R2=0.8)
Fig.7 SEM elem ental mapping analyses of molten slag(R2=0.8)

综上所述,随着R2的升高,渣铁分离效果得到改善,熔分渣的黏度减小,流动性增强,这促进了熔分过程中的传质,改善了熔分反应的动力学条件.此外,R2的升高也会提升炉渣的表面张力,从而抑制泡沫渣的形成,提高熔分生铁中Fe、V以及熔分渣中TiO2的回收率[17-18].然而,当R2高于0.8时,有价组元Fe、V和Ti的回收率升幅较小,熔分渣相中的TiO2质量分数明显降低.因此,综合考虑R2对熔分效果的影响,推荐的最优值为0.8.

3 结论

(1)根据热力学分析结果,当R2由0.43升高至1.2时,铁水中的Ti含量稍有降低,有价组元Fe和V的生成温度和生成量几乎不发生变化,R2对熔分热力学影响较小.

(2)在不同R2下,钒钛磁铁矿预还原团块熔分后均出现较为明显的渣铁分离现象.随着R2由0.43升高至0.8,铁水中Fe和V的回收率分别由97.07%和82.31%升高至98.94%和89.48%,熔分渣中TiO2的回收率由93.67%升高至95.21%.当R2高于0.8时,有价组元的回收率升幅较小,熔分渣中TiO2的质量分数由46.89%降至43.76%.

(3)当R2由0.43升高至0.8时,钒钛磁铁矿预还原团块在熔分过程中会生成含钙硅酸盐和钙长石等低熔点物相.当R2高于0.8时,高熔点物相钙钛矿开始生成,这会对熔分渣的流动性产生不利影响.适宜的炉渣二元碱度能够显著降低铁合金相的夹杂程度,改善熔分体系的动力学条件,有利于V进入铁水和Ti进入炉渣,实现有价组元的定向迁移.

参考文献

[1] 王帅,郭宇峰,姜涛,等.钒钛磁铁矿综合利用现状及工业化发展方向[J] .中国冶金,2016,26(10):40-44.(Wang Shuai,Guo Yufeng,Jiang Tao,et al.Comprehensive utilization and industrial development direction of vanadiumtitanium magnetite[J] .China Metallurgy,2016,26(10):40-44.)

[2] 徐本平.攀枝花钒钛磁铁矿冶炼过程中主要稀散元素分布走向研究[J] .材料与冶金学报,2018,17(2):94-100.(Xu Benping.Main elements distribution in Panzhihua vanadium and titanium magnetite smelting process in China[J] .Journal of Materials and Metallurgy,2018,17(2):94-100.)

[3] 储满生,唐珏,柳政根,等.高铬型钒钛磁铁矿综合利用现状及进展[J] .钢铁研究学报,2017,29(5):335-344.(Chu Mansheng,Tang Jue,Liu Zhenggen,et al.Present situation and progress of comprehensive utilization for highchromium vanadium-bearing titanomagnetie[J] .Journalof Iron and Steel Research,2017,29(5):335-344.)

[4] 邓君,薛逊,刘功国.攀钢钒钛磁铁矿资源综合利用现状与发展[J] .材料与冶金学报,2007,6(2):83-86.(Deng Jun,Xue Xun,Liu Gongguo.Current situation and development of comprehensive utilization of vanadium-bearing titanomagnetite at PANGANG[J] .Journal of Materials and Metallurgy,2007,6(2):83-86.)

[5] 黄云,储满生,闫瑞军.攀钢1 750 m3高炉冶炼钒钛矿指标优化技术应用[J] .中国冶金,2024,34(2):96-107.(Huang Yun,Chu Mansheng,Yan Ruijun.Application of optimization technology for vanadium titanate smelting index in 1 750 m3 blast furnace of Pangang Group[J] .China Metallurgy,2024,34(2):96-107.)

[6] 庞正德.超高配比钒钛矿高炉冶炼基础理论研究[D] .重庆:重庆大学,2021.(Pang Zhengde.Fundamental theory research on blast furnace smelting with ultra-high ratio vanadium titanomagnetite[D] .Chongqing:Chongqing University,2021.)

[7] 赵昕力,秦勤,于庆波,等.转底炉处理含铁尘泥系统的分析[J] .材料与冶金学报,2022,21(3):200-205.(Zhao Xinli,Qin Qin,Yu Qingbo,et al.Exergy analysis of rotary hearth furnace system processing metallurgical ironcontaining solid waste[J] .Journal of Materials and Metallurgy,2022,21(3):200-205.)

[8] 王南.红格钒钛磁铁矿气基竖炉直接还原-熔分实验研究[D] .沈阳:东北大学,2018.(Wang Nan.Experiment study on gas-based shaft furnace direct reduction and melting separation of hongge vanadium-titanium magnetite[D] .Shenyang:Northeastern University,2018.)

[9] 秦晋.钒钛矿块矿回转窑直接还原-电热熔分工艺优化实验研究[D] .沈阳:东北大学,2018.(Qin Jin.Experimental study on optimization of rotary kiln direct reduction-melting separation process for lump vanadiumbearing titanomagnetite[D] .Shenyang:Northeastern University,2018.)

[10] 何桂珍,都兴红,张凯,等.红格矿深还原—熔分过程及钒、铬走向的研究[J] .材料与冶金学报,2014,13(1):15-19.(He Guizhen,Du Xinghong,Zhang Kai,et al.Research on the process of deep reduction-smelting separation of hongge ore and the trend of V,Cr[J] .Journal of Materials and Metallurgy,2014,13(1):15-19.)

[11] 唐珏.高铬型钒钛磁铁矿气基竖炉直接还原-熔分新工艺基础研究[D] .沈阳:东北大学,2017.(Tang Jue.Fundamental study on innovative process of gasbased shaft furnace direct reduction-melting separtion for high chromium vanadium-bearing titanomagnetite[D] .Shenyang:Northeastern University,2017.)

[12] 冯聪.基于气基竖炉直接还原的攀西高铬型钒钛磁铁矿有价组元高效分离提取基础研究[D] .沈阳:东北大学,2021.(Feng Cong.Fundamental study on efficient separation and extraction of valuable elements of Panxi high chromium vanadium-bearing titanomagnetite based on gas-based shaft furnace direct reduction[D] .Shenyang:Northeastern University,2021.)

[13] Feng C,Chu M S,Tang J,et al.Effects of smelting parameters on the slag/metal separation behaviors of Hongge vanadiumbearing titanomagnetite metallized pellets obtained from the gasbased direct reduction process[J] .International Journal of Minerals,Metallurgy,and Materials,2018,25(6):609-622.

[14] Wang S,Guo Y F,Jiang T,et al.Reduction behaviors of iron,vanadium and titanium oxides in smelting of vanadium titanomagnetite metallized pellets[J] .JOM,2017,69(9):1646-1653.

[15] Park H,Park J Y,Kim G H,et al.Effect of TiO2 on the viscosity and slag structure in blast furnace type slags[J] .Steel Research International,2012,83(2):150-156.

[16] 杨双平,范博文,王苗,等.B2 O3改性剂对含钛高炉渣中黑钛石结晶行为的影响[J] .中国冶金,2025,35(2):114-123.(Yang Shuangping,Fan Bowen,Wang Miao,et al.Effect of B2 O3 modifier on crystallization behavior of anosovite in Tibearing blast furnace slag[J] .China Metallurgy,2025,35(2):114-123.)

[17] Liu Y H,Lv X W,Bai C G,et al.Surface tension of the molten blast furnace slag bearing TiO2:measurement and evaluation[J] .ISIJ International,2014,54(10):2154-2161.

[18] Pang Z D,Jiang Y Y,Ling J W,et al.Blast furnace ironmaking process with super high TiO2 in the slag:density and surface tension of the slag[J] .International Journal of Minerals,Metallurgy and Materials,2022,29(6):1170-1178.

Effect of binary basicity of slag on smelting behavior of vanadium-titanium magnetite pre-reduced pellets

Zhao Meng1,Tian Hongyu1,Chu Mangsheng1,2,3,Tang Jue1,Zhou Haoyu4,Wang Yefeng4
(1.School of Metallurgy,Northeastern University,Shenyang 110819,China;2.Liaoning Engineering Research Center of Advanced Technology of Low Carbon Steel,Northeastern University,Shenyang 110819,China;3.Engineering Research Center of Advanced Technology of Low Carbon Steel,Ministry of Education,Shenyang 110819,China;4.Zhongye Changtian International Engineering Co.,Ltd.,Changsha 410205,China)

Abstract:Based on thermodynamics,process mineralogy and thermal experiments,the effects of binary basicity of slag R2[i.e.w(CaO)/w(SiO2)] on the smelting behavior of vanadium-titanium magnetite pre-reduced pellets have been systematically studied.The results of FactSage thermodynamic calculation show that increasing R2 can reduce the Ti content in molten pig iron,while having little effect on the temperature and amount of Fe and V formation.Combining the thermal experiments results and process mineralogy theory,it can be concluded that when R2 increases from 0.43 to 0.8,the recovery rates of Fe and V in the molten pig iron increase from 97.07%and 82.31%to 98.89%and 89.48%,respectively;The recovery rate of TiO2 in the molten slag increases from 93.67%to 95.21%.The formation of low melting phases reduces the degree of inclusions in the ferroalloy phase,promotes the directional migration of valuable elements,and thus improves the slag iron separation effect.When R2 is higher than 0.8,its impact on the recovery rate of valuable components is relatively small.The formation of high melting point perovskite increases the melting point,viscosity,and slag amount of the molten slag phase,thereby increasing the cost and energy consumption of EAF.

Key words:vanadium-titanium magnetite;binary basicity;melting separation;recovery;slag characteristic

中图分类号:TF 55

文献标志码:A

文章编号:1671-6620(2026)01-0030-07

doi:10.14186/j.cnki.1671-6620.2026.01.004

收稿日期:2024-12-31.

基金项目:国家自然科学基金项目(52404341);国家自然科学基金重点项目(U23A20608);中国五矿集团有限公司科技专项计划项目(2021ZXA04).

作者简介:赵猛(1998—),男,硕士研究生,E-mail:296330546@qq.com.

通讯作者:田宏宇(1991—),男,副教授,E-mail:tianhy@smm.neu.edu.cn.

引文格式:赵猛,田宏宇,储满生,等.炉渣二元碱度对钒钛磁铁矿预还原团块熔分行为的影响[J] .材料与冶金学报,2026,25(1):30-36.(Zhao Meng,Tian Hongyu,Chu Mangsheng,et al.Effect of binary basicity of slag on smelting behavior of vanadium-titanium magnetite pre-reduced pellets[J] .Journal of Materials and Metallurgy,2026,25(1):30-36.)

X