原料粉体纯度对SiC陶瓷材料显微组织及烧结行为的影响

程诗淇1, 冯东1, 刘悦1, 丁国强1, 茹红强2, 罗旭东1,3, 游杰刚1

【作者机构】 1辽宁科技大学材料与冶金学院; 2东北大学材料科学与工程学院; 3辽宁科技学院冶金与材料工程学院
【分 类 号】 TQ174.1
【基    金】 辽宁省科技计划联合计划项目(2025-BSLH-182) 国家自然科学基金项目(U20A20239) 辽宁科技大学大学生创新创业训练计划国家级资助项目(202510146038).
全文 文内图表 参考文献 出版信息
原料粉体纯度对SiC陶瓷材料显微组织及烧结行为的影响

原料粉体纯度对SiC陶瓷材料显微组织及烧结行为的影响

程诗淇1,冯 东1,刘 悦1,丁国强1,茹红强2,罗旭东1,3,游杰刚1

(1.辽宁科技大学材料与冶金学院,辽宁 鞍山 114051;2.东北大学材料科学与工程学院,沈阳 110819;3.辽宁科技学院冶金与材料工程学院,辽宁 本溪 117004)

摘 要:为了探究原料粉体纯度对SiC陶瓷材料显微组织演变及烧结行为的影响,以不同纯度的SiC粉体为原料,B4 C和C为烧结助剂,利用无压烧结方式制备SiC陶瓷材料,研究不同纯度SiC粉体的烧结行为以及陶瓷材料的显微组织与力学性能.结果表明:提高SiC粉体纯度可以降低粉体的烧结活化能并减少烧结过程中气体的排放量,有利于SiC陶瓷材料的烧结致密化;提高SiC粉体纯度可以细化SiC陶瓷材料的晶粒并提高其显微组织的均匀性,当粉体纯度(质量分数,下同)达到98.8%时,SiC陶瓷材料的平均晶粒尺寸为5.2μm,此时,其相对密度为98.50%,抗折强度为(379±36)MPa,断裂韧性为(5.0±0.6)MPa·m1/2,维氏硬度为(26.4±0.6)GPa,与SiC粉体纯度为96.5%的陶瓷材料相比分别对应提高了2%、57.2%、19.0%和16.3%.SiC粉体纯度的提高不仅可以减少材料内部气孔数量,而且可以细化晶粒,这是SiC陶瓷材料力学性能提高的主要原因.

关键词:SiC粉体纯度;SiC陶瓷材料;无压烧结;显微组织

SiC陶瓷作为重要的先进陶瓷材料,具有高熔点、高强度、高导热性、高硬度、高弹性模量、良好的耐酸碱腐蚀和耐磨等优良性能,在航空航天、军工、机械、化工和能源等领域发挥着重要作用[1-4].由于SiC具有较强的共价键、较小的晶界扩散和体积扩散速率,往往需要将其烧结至高于2 000℃才能实现致密化[5-7].根据热力学分析结果,Greskovich和Prochazka等[8-9]认为,晶界能和表面能的高比值是限制SiC扩散过程的主要原因.当满足以下关系时,SiC陶瓷的致密化可以实现:

式中,γGBγSV分别表示颗粒的晶界能和表面能.这种关系表明,任何可以降低γGB或提高γSV的方法都会促进SiC的烧结致密化.

SiC无压烧结分为液相烧结和固相烧结两种方式.前者是将金属氧化物Al2 O3、Y2 O3、CeO2、Er2 O3和Gd2 O3等作为烧结助剂,借助高温烧结过程中氧化物形成的液相促使SiC陶瓷在较低温度下烧结致密化;后者是通过添加B4 C和C活化SiC表面氧化形成的SiO2,提高SiC的表面能并降低晶界能,最终实现SiC的烧结致密化[10-13].液相烧结的SiC陶瓷材料中存在着硬度较低的低熔点相,这使得SiC陶瓷材料的硬度降低,并在高温环境下有软化现象;相较而言,固相烧结的SiC陶瓷材料具有优异的高温使用性能和高硬度[14-16].因此,固相烧结的SiC陶瓷材料不仅具有特殊的应用价值,也有一定的研究价值.

亚微米级SiC粉体的纯度与SiC颗粒的晶界能和表面能密切相关,可影响无压烧结SiC陶瓷材料的烧结致密度及组织与性能.目前,关于亚微米级SiC粉体的纯度对无压烧结SiC陶瓷材料组织与性能的影响还没有详细的报道.本文中以不同纯度(质量分数,下同)的SiC粉体为原料,以B4 C和C为烧结助剂,在相同的配方设计和烧结工艺(2 000℃下保温1 h)下,对不同纯度的SiC粉体进行无压烧结,详细研究不同纯度亚微米级SiC粉体的烧结行为,以及SiC陶瓷材料的显微组织与力学性能.

1 试验

1.1 原料

本试验中所用的初始原料为通化宏信研磨材有限责任公司制备的亚微米级SiC粉体(纯度96.5%,D50=0.5μm).对其进行酸洗,获得不同纯度的原料粉体,编号如下:SiC微粉1#,纯度96.5%;SiC微粉2#,纯度97.7%;SiC微粉3#,纯度98.2%;SiC微粉4#,纯度98.8%.其他原料包括:B4 C微粉,D50<1μm,纯度>99%;酚醛树脂溶液,残碳率>40%.

1.2 试样制备

将所需要的SiC原料粉体与烧结助剂B4 C和C(酚醛树脂作为碳源)均按照质量分数比为95%∶1.5%∶3.5%进行称取,并倒入球磨罐中.使用GMS1-4型球磨机对上述原料进行球磨混料,其中,以氧化铝球为磨球、无水乙醇为研磨介质,球料质量比为2∶1,转速为100 r/min,混料时间为12 h.混料结束后,将混合均匀的浆料在80℃烘箱中烘干;待粉体干燥后,再经0.25 mm的网筛过筛处理后封口待用.将过筛后的粉料置于尺寸为37 mm×6.5 mm×50 mm的模具中,再经200 MPa等静压进行压实,获得素坯.将压制好的素坯置于真空管式炉中,在700℃下保温3 h进行碳化处理(排胶).将碳化后的坯体置于无压烧结炉中,在2 000℃下保温1 h后烧成,烧成后的试样随炉自然冷却至室温.

1.3 性能表征

使用场发射扫描电镜(SEM,JSM-7001)观察烧结试样的微观结构.使用X射线衍射仪[XRD,Cu靶材,Smartlab(9)] 检测烧结试样的物相组成.利用热膨胀分析仪(TMA,SETSYS18/24),采用恒速升温速率法测定SiC粉体的烧结活化能.按照国家标准QB/T 1548—2015测定烧结试样的线收缩率.以去离子水为介质,根据阿基米德法测定烧结试样的体积密度和显气孔率,并计算其相对密度.利用AG-Xplus 100 kN型万能试验机,采用三点弯曲法和单边切口梁法分别测试烧结试样的抗折强度和断裂韧性.利用HXD-1000TMC型数显显微维氏硬度计测试烧结试样的硬度.

2 结果与分析

2.1 不同纯度SiC粉体烧结后陶瓷材料的相组成

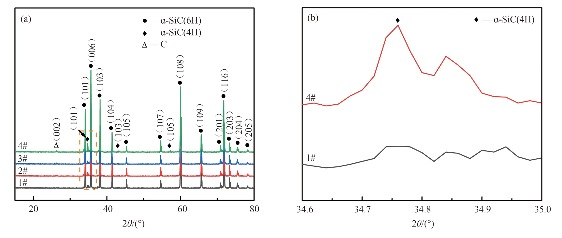
不同纯度的SiC粉体烧结后陶瓷材料的XRD图谱如图1所示.从图1中可以看出:所有材料都以6H-SiC和4H-SiC作为主晶相;当SiC粉体纯度分别为97.7%、98.2%和98.8%时,陶瓷材料的XRD衍射图谱中均可以发现微弱的C衍射峰,而当SiC粉体纯度为96.5%时,陶瓷材料的XRD衍射图谱中没有发现C衍射峰.在高温烧结过程中,C作为烧结助剂,主要与SiC粉体表面的SiO2反应并促进SiC陶瓷烧结致密,当加入相同质量分数的C时,SiC粉体纯度较高的陶瓷材料在烧结过程中会出现C剩余情况,而纯度较低的SiC粉体中含有较多的Si、O等杂质,烧结时需要消耗较多的C,因此,当SiC粉体纯度为96.5%时,陶瓷材料中没有出现C的衍射峰.另外,由图1(b)可知,当SiC粉体纯度为96.5%时,陶瓷材料对应的4H-SiC相(2θ=34.775°)的衍射峰强度较低且半峰宽较宽(0.154°),而当SiC粉体纯度为98.8%时,陶瓷材料对应的4H-SiC相的衍射峰则显示出高强度和窄半峰宽(0.130°),这也说明了粉体中存在的杂质会抑制SiC的6H晶型向4H晶型转变.

图1 不同纯度SiC粉体烧结后陶瓷材料的XRD图谱
Fig.1 XRD patterns of SiC ceram ics w ith different SiC purities

2.2 不同纯度SiC粉体的烧结致密化行为

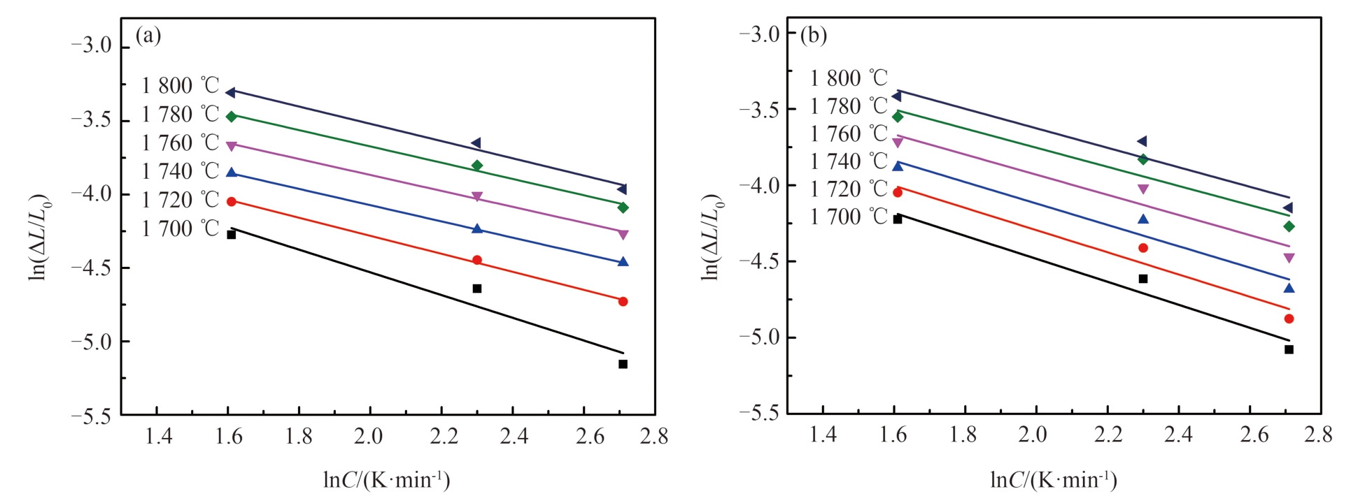
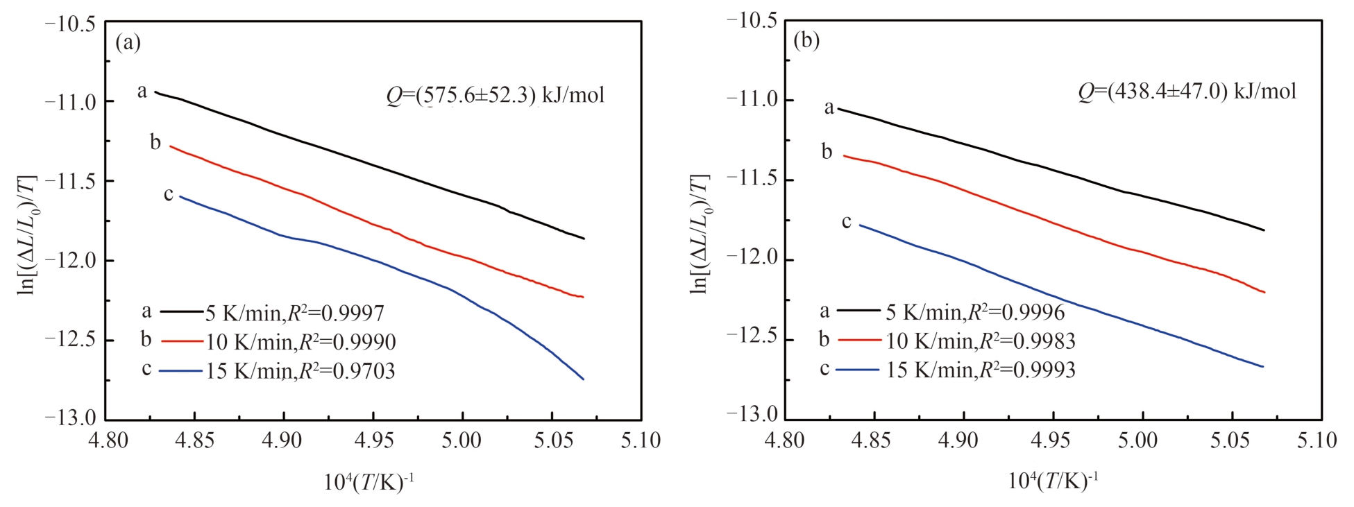
计算粉体烧结早期(材料相对密度≤90%)的烧结活化能Q,可以了解粉体的烧结活性并预测粉体致密化烧结过程的难易程度.为了避免过多杂质对粉体烧结早期物质迁移机制的影响,选用纯度分别为98.2%和98.8%的SiC粉体进行热膨胀分析试验,并利用公式(2)和(3)计算出1 700~1 800℃的温度区间内,两种粉体的烧结活化能.

式中:ΔL为样品瞬时线收缩长度的变化值,mm;L0为样品的初始长度,mm;T为热力学温度,K;Q为烧结活化能,kJ/mol;m为烧结指数;R为气体常数,取值8.314 J/(mol·K);A1A2均为与材料自身和烧结机理相关的常数;C为升温速率,K/min.

根据公式(2)和(3),分别作出ln(ΔL/L0)与ln C以及ln[(ΔL/L0)/T] 与1/T的关系图并进行拟合,结果如图2和图3所示.根据图2和图3中拟合线的斜率,可分别计算出公式(2)和(3)对应的烧结指数mQ/[(m+1)R] 值,进而计算出两种粉体的烧结活化能[17].

图2 不同纯度SiC粉体的ln(ΔL/L0)与ln C的关系图(t=1 700~1 800℃)
Fig.2 Relationship between ln(ΔL/L0)and ln C of SiC powders w ith different purities(t=1 700~1 800℃)

(a)—w(SiC)=98.2%;(b)—w(SiC)=98.8%.

图3 不同纯度SiC粉体的ln[(ΔL/L0)/T] 与1/T的关系图(t=1 700~1 800℃)
Fig.3 Relationship between ln[(ΔL/L0)/T] and 1/T of SiC powders w ith different purities(t=1 700~1 800℃)

(a)—w(SiC)=98.2%;(b)—w(SiC)=98.8%.

从图3(a)和(b)中可以看出,两种粉体烧结活化能的数据线性拟合结果的平均线性相关系数(R2)分别为0.989 7和0.999 1,这说明两种粉体得到的数据拟合度高,采用的数据点可靠.经拟合线的斜率计算,得到纯度为98.2%和98.8%的SiC粉体的烧结活化能分别为(575.6±52.3)kJ/mol和(438.4±47.0)kJ/mol,后者的烧结活化能比前者降低了23.8%,这表明SiC粉体纯度对其烧结早期的活化能有较大影响,提高SiC粉体纯度可以降低其烧结活化能,从而降低SiC烧结致密化的门槛.固相烧结SiC在烧结早期主要通过扩散传质的方式进行致密化烧结,由于纯度较低的SiC粉体表面存在含量较高的SiO2杂质,其阻碍了Si和C的扩散,从而抑制了SiC烧结早期的致密化过程[18].

一般来讲,材料烧结收缩率和质量损失率的比值(L SR/W LR)是体现粉体烧结性能的重要特征,因此,本文中对不同纯度SiC粉体烧结后陶瓷材料的L SR/W LR(如图4所示)进行了研究.从图4中可以看出,SiC粉体纯度(96.5%)较低的陶瓷材料表现出较低的L SR/W LR,而SiC粉体纯度(98.8%)较高的材料则表现出较高的L SR/W LR.纯度较低的SiC粉体中常常存在一定含量的SiO2和其他金属氧化物杂质,为了保证SiC能够完成致密化烧结,固相烧结SiC中必须采用C作为烧结助剂,以去除粉体表面的SiO2,从而提高粉体表面能并促进Si和C向烧结颈部扩散.然而,这个反应会伴随CO气体生成;同样,一些金属氧化物杂质(例如Fe2 O3)也会与C反应生成CO气体,并促进气相烧结(一种非致密化烧结机制)[19-20].因此,气体的生成和逸出导致材料出现质量损失并抑制其烧结收缩.对原料粉体进行提纯处理,可有效去除粉体中的杂质并促使材料得到更好的烧结收缩.

图4 不同纯度SiC粉体烧结后陶瓷材料的烧结收缩率与质量损失率的比值
Fig.4 Ratio of linear shrinkage rate and weight loss rate of SiC ceram ics w ith different SiC purities

不同纯度SiC粉体烧结后,陶瓷材料的相对密度和显气孔率如图5所示.从图5中可以看出:随着SiC粉体纯度的提高,材料的相对密度提高,显气孔率降低;当SiC粉体纯度为96.5%时,材料的相对密度和显气孔率分别为96.76%和0.17%,而当SiC粉体纯度为98.8%时,材料的相对密度和显气孔率分别为98.50%和0.071%.以上结果说明,提高亚微米级SiC粉体的纯度可以有效提高SiC陶瓷材料的致密度.

图5 不同纯度SiC粉体烧结后陶瓷材料的相对密度和显气孔率
Fig.5 Relative density and apparent porosity of SiC ceram ics w ith different SiC purities

不同纯度SiC粉体烧结后,陶瓷材料的SEM照片和晶粒尺寸分布如图6所示.从图6中可以看出,3种纯度(96.5%、98.2%、98.8%)SiC粉体烧结后的陶瓷材料微观组织表现出较大的差异.SiC粉体纯度(96.5%)较低的材料[见图6(a)] 晶粒尺寸较为粗大,个别晶粒还出现异常生长的现象,且晶粒尺寸分布不均匀.随着SiC粉体纯度的提高,材料的晶粒逐渐转变为细小的等轴晶粒,且晶粒尺寸分布均匀.利用粒径分布计算软件对上述3种材料的晶粒尺寸进行计算,结果表明,随着SiC粉体纯度由低到高变化,材料的平均晶粒尺寸分别为7.8、6.0和5.2μm,这说明提高亚微米级SiC粉体的纯度可以有效调控陶瓷材料的组织均匀性并细化晶粒.

图6 不同纯度SiC粉体烧结后陶瓷材料的SEM照片和晶粒尺寸分布
Fig.6 SEM images and grain size distributions of SiC ceram ics w ith different SiC purities

(a)—w(SiC)=96.5%;(b)—w(SiC)=98.2%;(c)—w(SiC)=98.8%.

2.3 不同纯度SiC粉体烧结后陶瓷材料的力学性能

不同纯度SiC粉体烧结后,陶瓷材料的抗折强度、断裂韧性和维氏硬度如表1所列.由表1可知,SiC粉体纯度(96.5%)较低的材料表现出较低的力学性能,其抗折强度为(241±2)MPa,断裂韧性为(4.2±0.5)MPa·m1/2,维氏硬度为(22.7±1.4)GPa,而SiC粉体纯度(98.8%)较高的材料的抗折强度可达到(379±36)MPa,断裂韧性可达到(5.0±0.6)MPa·m1/2,维氏硬度可达到(26.4±0.6)GPa,与SiC粉体纯度(96.5%)较低的材料相比分别对应提高了57.2%、19.0%和16.3%.以上结果说明,对含有少量杂质的亚微米级SiC粉体进行提纯处理,可以有效提高陶瓷材料的力学性能.

表1 不同纯度SiC粉体烧结后陶瓷材料的力学性能
Table 1 M echanical properties of SiC ceram ics w ith different SiC purities

编号抗折强度/MPa断裂韧性/(MPa·m1/2)维氏硬度/GPa 1#241±2 4.2±0.5 22.7±1.4 2#242±32 5.0±0.3 25.7±0.6 3#298±39 5.0±0.2 26.0±0.8 4#379±36 5.0±0.6 26.4±0.6

不同纯度SiC粉体烧结后,陶瓷材料断口形貌的SEM照片如图7所示.从图7中可以看出,各组材料的断裂方式没有明显区别,均为穿晶断裂,SiC粉体纯度(96.5%)较低的材料出现较多晶粒的异常生长,并且晶粒内部及晶粒间隙处存在较多的气孔[见图7(a)] ;相比之下,SiC粉体纯度(98.8%)较高的材料断口处气孔数量很少[见图7(c)] .对于陶瓷材料而言,气孔率的升高会增加材料内部裂纹形成的潜在位置数量,并且气孔的孔径越大,引发断裂的可能性就越大.因此,气孔率的升高和临界裂纹尺寸的增大会降低材料的强度和断裂韧性,导致材料在较小的载荷下就可能发生断裂.另外,如图7(c)所示,当SiC粉体纯度较高时,材料的晶界处存在少量的残余C.SiC晶粒在烧结后期长大的过程中,晶界沿晶体生长的方向移动,晶界需要做功来推动晶粒移动,而C钉扎于SiC晶粒的三角晶界,成为晶粒生长的阻碍力,抑制了SiC晶粒的生长,导致材料晶粒尺寸细小[21].根据霍尔-佩奇(Hall-Petch)公式可知,细小的晶粒尺寸可以提高材料的强度,因此,SiC粉体纯度为98.8%的陶瓷材料具有较高的力学性能[22-23].

图7 不同纯度SiC粉体烧结后陶瓷材断口形貌的SEM照片
Fig.7 Fracture morphology SEM images of SiC ceram ics w ith different SiC purities

(a)—w(SiC)=96.5%;(b)—w(SiC)=98.2%;(c)—w(SiC)=98.8%.

3 结论

(1)提高SiC粉体纯度,可以降低粉体的烧结活化能并减少烧结过程中气体的排放量,有利于SiC陶瓷材料的烧结致密化.在1 700~1 800℃的温度区间内,纯度为98.2%和98.8%的SiC粉体的烧结活化能分别为(575.6±52.3)kJ/mol和(438.4±47.0)kJ/mol.

(2)提高SiC粉体纯度不仅可以细化无压烧结SiC陶瓷材料的晶粒,而且可以提高其显微组织的均匀性.当粉体纯度达到98.8%时,SiC陶瓷材料的平均晶粒尺寸为5.2μm.

(3)当SiC粉体纯度达到98.8%时,无压烧结SiC陶瓷材料的相对密度为98.50%,抗折强度为(379±36)MPa,断裂韧性为(5.0±0.6)MPa·m1/2,维氏硬度为(26.4±0.6)GPa,与SiC粉体纯度为96.5%的陶瓷材料相比分别对应提高了2%、57.2%、19.0%和16.3%.提高SiC粉体纯度,可以减少材料内部气孔数量,且可细化晶粒.研究结果表明,SiC粉体纯度的提高是SiC陶瓷材料力学性能提升的主要原因.

参考文献

[1] Ren L K,Ren Q X,Yin Z Q,et al.Li2 O addition as a means of achieving low-temperature densification of SiC ceramic[J] .Ceramics International,2024,50(20):39440-39447.

[2] 宋爱林,郭晓琳,吴博文,等.有机硅浆渣废料冶金法制备碳化硅[J] .材料与冶金学报,2023,22(2):147-151.(Song Ailin,Guo Xiaolin,Wu Bowen,et al.Preparation of silicon carbide by a metallurgical method of silicone slurry residue waste[J] .Journal of Materials and Metallurgy,2023,22(2):147-151.)

[3] 谢海霞,姜胜南,张意鹏,等.钠盐添加剂对制备碳化硅的影响[J] .材料与冶金学报,2022,21(2):117-122.(Xie Haixia,Jiang Shengnan,Zhang Yipeng,et al.Effect of Na salt additives on preparation of silicon carbide[J] .Journal of Materials and Metallurgy,2022,21(2):117-122.)

[4] 董博,余超,邓承继,等.碳化硅陶瓷导热性能的研究进展[J] .材料工程,2023,51(1):64-75.(Dong Bo,Yu Chao,Deng Chengji,et al.Research progress in thermal conductivity of SiC ceramics[J] .Journal of Materials Engineering,2023,51(1):64-75.)

[5] 贺国旭,曹测祥,韩永军,等.反应烧结制备碳化硅陶瓷及其性能研究[J] .耐火材料,2022,56(2):146-149.(He Guoxu,Cao Cexiang,Han Yongjun,et al.Preparation of SiC ceramics by reaction sintering and their performance[J] .Refractories,2022,56(2):146-149.)

[6] 李辰冉,谢志鹏,康国兴,等.国内外碳化硅陶瓷材料研究与应用进展[J] .硅酸盐通报,2020,39(5):1353-1370.(Li Chenran,Xie Zhipeng,Kang Guoxing,et al.Research and application progress of SiC ceramics:a review[J] .Bulletin of the Chinese Ceramic Society,2020,39(5):1353-1370.)

[7] Feng D,Ren Q X,Ru H Q,et al.Pressureless sintering behaviour and mechanical properties of Fe2 O3-containing SiC ceramics[J] .Journal of Alloys and Compounds,2019,790:134-140.

[8] Greskovich C,Rosolowski J H.Sintering of covalent solids[J] .Journal of the American Ceramic Society,1976,59(7/8):336-343.

[9] Prochazka S,Scanlan R M.Effect of boron and carbon on sintering of SiC[J] .Journalof the American Ceramic Society,1975,58(1/2):72.

[10] Khodaei M,Yaghobizadeh O,Naghavi Alhosseini S H,et al.The effect of oxide,carbide,nitride and boride additives on properties of pressureless sintered SiC:a review[J] .Journal of the European Ceramic Society,2019,39(7):2215-2231.

[11] Dehghani H,Khodaei M,Yaghobizadeh O,et al.The effect of AlN-Y2 O3 compound on properties of pressureless sintered SiC ceramics:a review[J] .International Journal of Refractory Metals and Hard Materials,2021,95:105420.

[12] Li C R,Li S,An D,et al.Microstructure and mechanical properties of spark plasma sintered SiC ceramics aided by B4 C[J] .Ceramics International,2020,46(8):10142-10146.

[13] 李辰冉,谢志鹏,赵林.碳化硅陶瓷材料烧结技术的研究与应用进展[J] .陶瓷学报,2020,41(2):137-149.(Li Chenran,Xie Zhipeng,Zhao Lin.Research and application of sintering technologies for SiC ceramic materials:a review[J] .Journal of Ceramics,2020,41(2):137-149.)

[14] 王凤,王秀玲.碳化硅陶瓷烧结技术的研究及应用[J] .热加工工艺,2025,54(12):18-21.(Wang Feng,Wang Xiuling.Research and application of sintering technologies for SiC ceramic materials[J] .Hot Working Technology,2025,54(12):18-21.)

[15] 董新保,任意,汪洋,等.无压烧结碳化硅防弹陶瓷材料研究进展[J] .硅酸盐通报,2024,43(6):2225-2240.(Dong Xinbao,Ren Yi,Wang Yang,et al.Research progress of pressureless sintered silicon carbide bulletproof ceramic materials[J] .Bulletin of the Chinese Ceramic Society,2024,43(6):2225-2240.)

[16] 王雯龙,陈刚,王红杰,等.SiC复合陶瓷增韧研究现状[J] .耐火材料,2024,58(1):87-92.(Wang Wenlong,Chen Gang,Wang Hongjie,et al.Research status of toughening SiC composite ceramics[J] .Refractories,2024,58(1):87-92.)

[17] Zhang T S,Hing P,Huang H T,et al.Early-stage sintering mechanisms of Fe-doped CeO2[J] .Journal of Materials Science,2002,37(5):997-1003.

[18] 杨熙,江东亮,谭寿洪,等.β-SiC无压烧结机理与动力学研究[J] .无机材料学报,1992,7(1):25-31.(Yang Xi,Jiang Dongliang,Tan Shouhong,et al.Densification kinetics and mechanism ofβ-SiC pressureless sintering[J] .Journal of Inorganic Materials,1992,7(1):25-31.)

[19] Aygüzer Ya ar Z,DeLucca V A,Haber R A.Influence of oxygen content on the microstructure and mechanicalproperties of SPS SiC[J] .Ceramics International,2018,44(18):23248-23253.

[20] Bai J G,Yang X H,Shi Y G,et al.Fabrication of directional SiC porous ceramics using Fe2 O3 as pore-forming agent[J] .Materials Letters,2012,78:192-194.

[21] Ermer E,Wiesłsaw P,Ludosłsaw S.Influence of sintering activators on structure of silicon carbide[J] .Solid State Ionics,2001,141/142:523-528.

[22] Khodaei M,Yaghobizadeh O,Baharvandi H R,et al.The effect of Cr2 O3 additions on sinterability and mechanical properties of liquid-phase sintered SiC ceramics[J] .Journal of Alloys and Compounds,2020,829:154501.

[23] Ye C C,Yue X Y,Jiang Y,et al.Effect of different preparation methods on the microstructure and mechanical properties of Si3 N4 ceramic composites[J] .Ceramics International,2018,44(4):3664-3671.

Effect of raw material powder purity on microstructure and sintering behavior of SiC ceramics

Cheng Shiqi1,Feng Dong1,Liu Yue1,Ding Guoqiang1,Ru Hongqiang2,Luo Xudong1,3,You Jiegang1
(1.School of Materials and Metallurgy,University of Science and Technology Liaoning,Anshan 114051,China;2.School of Materials Science and Engineering,Northeastern University,Shenyang 110819,China;3.Schoolof Metallurgy and Materials Engineering,Liaoning Institute of Science and Technology,Benxi 117004,China)

Abstract:In order to explore the effect of raw material powder purity on the microstructure evolution and sintering behavior of SiC ceramics,SiC ceramics were prepared by pressureless sintering with different purity SiC powders as raw materials and B4 C and C as sintering aids.The sintering behavior of SiC powders with different purities,the microstructure,and the mechanicalproperties of ceramics were studied.The results show that improving the purity of SiC powder can reduce the sintering activation energy of the powder and decrease the emission of gases during the sintering process,which is beneficial for the sintering densification of SiC ceramics.Improving the purity of SiC powder can refine the grain size of SiC ceramics and enhance the uniformity of the microstructure.When the purity of the powder(mass fraction,the same below)reaches 98.80%,the average grain size of SiC ceramics is 5.2μm.At this point,the relative density is 98.50%,flexural strength is(379±36)MPa,fracture toughness is(5.0±0.6)MPa·m1/2,and Vickers hardness of the ceramics is(26.4±0.6)GPa,respectively,which are 2%,57.2%,19.0%,and 16.3%higher than those of ceramics with a purity of 96.5%SiC powder.The improvement of the purity of SiC powder can reduce the internal pores of the material and refine the grains,which is the main reason for the improvement of the mechanical properties of SiC ceramics.

Key words:SiC powder purity;SiC ceramics;pressureless sintering;microstructure

中图分类号:

文献标志码:A

文章编号:1671-6620(2026)01-0053-07

doi:10.14186/j.cnki.1671-6620.2026.01.007

收稿日期:2024-12-26.

基金项目:辽宁省科技计划联合计划项目(2025-BSLH-182);国家自然科学基金项目(U20A20239);辽宁科技大学大学生创新创业训练计划国家级资助项目(202510146038).

作者简介:程诗淇(2004—),女,本科生,E-mail:tsuki_12811@163.com.

通讯作者:冯东(1990—),男,讲师,E-mail:fengdong_neu@163.com.

引文格式:程诗淇,冯东,刘悦,等.原料粉体纯度对SiC陶瓷材料显微组织及烧结行为的影响[J] .材料与冶金学报,2026,25(1):53-59.(Cheng Shiqi,Feng Dong,Liu Yue,et al.Effect of raw material powder purity on microstructure and sintering behavior of SiC ceramics[J] .Journal of Materials and Metallurgy,2026,25(1):53-59.)

X