功能材料
聚氯乙烯(简称PVC)作为全球五大通用树脂之一[1,2],曾是产量最大的通用塑料。因其具有耐磨、绝缘、易加工、廉价等诸多优点[3,4],被广泛应用于建材、管材、包装、电气以及航空等行业[5,6]。然而PVC树脂遇火燃烧,燃烧过程中会产生大量有毒有害气体及烟雾[7],不仅限制了其应用范围,还会对环境以及人体健康产生负面影响[8]。因此提升PVC材料的防火安全性是非常必要的。
水滑石和类水滑石统称为水滑石类化合物(LDHs)[9],是一种非常有应用价值的无机材料[10]。近年来在环境、医药、阻燃等领域受到广泛关注[11-13]。在阻燃领域,LDHs具有消烟、阻燃等多种功能,水滑石的阻燃机理主要依靠气相阻燃以及凝聚相阻燃实现[14],是一种无卤、无害且高效的无机阻燃剂[15],极具开发潜力。但水滑石结构中的主体层板含有大量的羟基结构,粒子之间容易发生团聚效应[16],这种特性可归因于氢键的存在以及对疏水聚合物的亲和力差[17]。因此,通常很难将这种材料均匀地分散在聚合物基质中。此外,单独使用时,需要大量的LDHs才能达到有效的抑焰。当水滑石应用于PVC材料阻燃填充时,极大地影响了材料的拉伸强度与断裂伸长率。为改善水滑石粒子与高分子材料之间的相容性,需要对水滑石进行表面改性,以提高水滑石粒子的分散性、表面疏水性以及与高分子材料的相容性,从而增强复合材料的机械性能[18],进一步提升阻燃性能。例如,金文德等[19]为克服阻燃剂在聚合物基体中分散性和相容性差的等问题,利用三氧化二锑粉末对水滑石阻燃剂进行改性,并对改性后水滑石进行了表征。实验结果表明,三氧化二锑的引入并不会改变水滑石的层状结构,二者协效阻燃,在高温下表现出良好的热稳定性,适量的三氧化二锑可以提高复合材料的力学性能。同时将三氧化二锑、水滑石、四溴双酚添加至ABS材料中,探究复配比例对复合材料的性能影响,实验结果表明,当m(三氧化二锑)∶m(四溴双酚)=1∶6、三氧化二锑与LDHs的质量比为15%时,ABS复合材料的极限氧指数便可达到29.5%,UL-94垂直燃烧等级达V0级。
微胶囊技术是用成膜材料把固体或液体材料包覆形成微小粒子的技术[20]。对水滑石粒子进行微胶囊包覆改性,可有效减弱或者屏蔽粒子的团聚现象。显著提高无机纳米粒子在有机聚合物中的分散性。
马铃薯淀粉具有可降解、可再生、低成本的优点,同时多羟基结构在燃烧时可交联成炭[21],被认为是一种很有前途的生物基阻燃剂[22]。淀粉结构中的—OH,可与水滑石的—OH结合,这样就使得以淀粉为碳源的阻燃剂加入到阻燃系统,赋予其凝聚相阻燃。将可再生且廉价的马铃薯淀粉包覆镁铁铜三元水滑石制备得到高效阻燃剂,旨在解决大量添加阻燃剂后复合材料力学性能差的问题,改善分散性,提高阻燃抑烟性能。不仅促进了绿色环保阻燃剂的发展,还使得阻燃剂的成本得以大大降低,具有十分宝贵的实际使用价值。
1.1 主要仪器与试剂
NBL124i型分析天平(北京德世科技有限公司);PB-10型台式数显PH计(德国赛多利斯公司);IKA型磁力搅拌器(艾卡(广州)仪器设备有限公司);DHG-9030型鼓风干燥箱(上海一恒科学仪器有限公司);800型离心机(金坛市科析仪器有限公司);JascoFTIR4200型傅里叶变换红外光谱仪(日本JASCO公司);D8-ADVANCE型X射线衍射(德国布鲁克公司);zeiss GeminiSEM500型扫描电子显微镜(德国ZEISS公司);FEI Tecnai F20型透射电子显微镜(美国FEI公司);STA449C型热重分析仪(瑞士梅特勒-托利多公司);CMT2502型万能试验机(济南美特斯测试技术有限公司);PX-01-002型NBS烟密度测试箱(苏州菲尼克斯仪器有限公司);SCIENTZ-10N型冷冻干燥机(宁波新芝生物科技股份有限公司)。
硝酸铜三水合物(Cu(NO3)2·3H2O,上海广诺化学科技有限公司);硝酸镁六水合物(Mg(NO3)2·6H2O,成都市科隆化学品有限公司);硝酸铁九水合物(Fe(NO3)3·9H2O,上海麦克林生化科技股份有限公司);氢氧化钠(NaOH,天津市致远化学试剂有限公司);碳酸钠(Na2CO3,天津市河东区红岩试剂厂);四氢呋喃(THF)、马铃薯淀粉((C6H10O5)n)、聚氯乙烯(PVC)(北京华威锐科有限公司)。所用试剂均为分析纯。
1.2 实验方法
1.2.1 MgFeCu-LDHs的制备
将0.483 2 g(0.002 mol)三水硝酸铜、2.051 2 g(0.008 mol)六水硝酸镁、2.02 g(0.005 mol)九水硝酸铁溶于20 mL去离子水中,置于磁力搅拌器上30 min,以700 r/min转速混合均匀,记为混合盐溶液A;再将0.265 g(0.002 5 mol)的氢氧化钠和1.2 g(0.03 mol)碳酸钠溶于20 mL去离子水中,置于磁力搅拌器上30 min,以700 r/min转速混合均匀,记为混合碱溶液B;在剧烈搅拌的条件下(1 000 r/min)将混合碱液B以1 mL/min(20~25滴)的速率滴加到混合盐液A中,至混合液pH 10停止。将滴加完成后的混合液置于磁力搅拌器,以1 000 r/min转速剧烈搅拌30 min。随后将搅拌结束后的混合液迅速转移至反应釜中,放置鼓风干燥箱内在60 ℃下晶化处理12 h。待反应釜冷却后将产物离心处理,用去离子水洗涤至中性。置于60 ℃烘箱烘干,研磨后得MgFeCu-LDHs。
1.2.2 PS@MgFeCu-LDHs的制备
将1.5 g马铃薯淀粉溶于250 mL去离子水(80 ℃)中,放置于磁力搅拌器上进行搅拌,待马铃薯淀粉完全溶解,去离子水恢复成透明溶液后,再将0.5 g MgFeCu-LDHs放入小烧杯中,加入适量去离子水,超声分散30 min,随后在剧烈搅拌的条件下用胶头滴管将超声后悬浊液滴入去离子水中,用保鲜膜将烧杯口密封好,温度保持110 ℃、在转速700 r/min的条件下持续搅拌5 h,然后将悬浊液放置于室温环境下冷却,对冷却后的悬浊液进行离心,用去离子水洗涤3次后,放入冰箱冷藏过夜,次日将其放置于冷冻干燥机,冷冻干燥20 h后即可得到PS@MgFeCu-LDHs样品。
1.2.3 PS@MgFeCu-LDHs/PVC的制备
将1 g聚氯乙烯粉末溶解于15 mL四氢呋喃(THF)中,搅拌至PVC完全溶解。随后,按照表1中的配比,将马铃薯淀粉包覆后的水滑石阻燃剂(PS@MgFeCu-LDHs)加入烧杯中,持续搅拌 15 h。接着,对混合溶液进行超声分散处理 30 min,再将其置于磁力搅拌器上继续搅拌 30 min。最后,将制备好的浆液滴涂在玻璃片上,待其成膜后,放入50 ℃的干燥箱中静置1 h,随后取出样品。
表1 复合材料的配方
Tab.1 Formulation of composite materials

SamplePVC/gPS@MgFeCu-LDHs/gTHF/mLPVC10154%PS@MgFeCu-LDHs/PVC10.04158%PS@MgFeCu-LDHs/PVC10.081512%PS@MgFeCu-LDHs/PVC10.121516%PS@MgFeCu-LDHs/PVC10.1615
表2 复合材料热重数据图
Tab.2 Thermogravimetric data for the composites

SampleT10%T50%R800/%PVC262.92295.280.4484%PS@MgFeCu-LDHs/PVC168.93295.9922.968%PS@MgFeCu-LDHs/PVC211.82296.1721.9812%PS@MgFeCu-LDHs/PVC199.92293.1720.7416%PS@MgFeCu-LDHs/PVC168.23307.5618.40
表3 PVC、4%PS@MgFeCu-LDHs/PVC复合材料的极限氧指数及水平燃烧数据
Tab.3 Limiting oxygen index and horizontal combustion data of PVC and 4%PS@MgFeCu-LDHs/PVC composites

SampleLOI/%UL94-Horizontal flamePVC23.0—4%PS@MgFeCu-LDHs/PVC25.6HB
1.2.4 PS@MgFeCu-LDHs的结构表征
1.2.4.1 X射线衍射分析
用布鲁克X射线衍射仪对马铃薯淀粉(PS)、MgFeCu-LDHs、PS@MgFeCu-LDHs进行粉末XRD测试,测试条件为空气气氛,在5°~80°范围内以0.02°为步长进行测试,扫描速度为10°/min
1.2.4.2 傅里叶红外光谱分析
用于分析样品中官能团的引入情况,判断层间阴离子类型。测试时将样品与KBr粉末按质量比1∶100均匀混合,压制成圆片状,在投射模式下进行扫描,扫描波数为4 000~500 cm-1。
1.2.4.3 透射电子显微镜分析
微观形态由透射电子显微镜测试,样品的制备是将MgFeCu-LDHs、PS@MgFeCu-LDHs分散到乙醇溶液中,超声分散后,取上层清液,均匀滴到钼网上,待干燥后进行测试。
1.2.4.4 扫描电子显微镜分析
对MgFeCu-LDHs、PS@MgFeCu-LDHs样品进行SEM测试,用于对比观察改性后样品的分散性。同时对PS@MgFeCu-LDHs样品进行了SEM-mapping测试,观察马铃薯淀粉的包覆情况。
1.2.5 PS@MgFeCu-LDHs/PVC的性能表征
1.2.5.1 烟密度测试
对PVC、PS@MgFeCu-LDHs/PVC复合材料进行了烟密度实验,模拟材料在真实火灾条件下的燃烧行为,为火灾风险评估提供重要依据。旨在评价包覆改性后的PS@MgFeCu-LDHs的抑烟性能。依据GB/T 8323进行测试,样品规格为 75 mm×75 mm×5 mm。
1.2.5.2 热重测试
对PVC、PS@MgFeCu-LDHs/PVC复合材料进行了热重测试,分析样品的热稳定性能以及残炭生成情况。热重测试均在空气气氛下进行,样品尺寸规格为50 mm×50 mm×3 mm。
1.2.5.3 残碳的SEM测试
对烟密度测试后样品的残炭进行了SEM测试,用于观察PVC、PS@MgFeCu-LDHs/PVC复合材料样品的形貌。
1.2.5.4 力学性能测试
对PVC、PS@MgFeCu-LDHs/PVC复合材料进行力学性能测试,综合考虑改性后LDHs对聚合物基体力学性能的影响。按照国标裁剪出具有标准尺寸的试样(5 m×50 mm×0.5 mm),通过微机控制电子万能试验机测试材料的拉伸强度与断裂伸长率。测试时设定万能试验机的应力为 100 MPa,规定伸长率为10%。
1.2.5.5 极限氧指数及水平燃烧测试
优选出在热重测试、力学性能测试、烟密度测试中表现优良的试样组,对其进行极限氧指数测试以及UL-94水平燃烧测试。LOI测试标准采用GB/T 2406.2—2009/ISO 4589-2:1996,样品规格为80 mm×10 mm×4 mm。UL-94水平燃烧采用GB/T 2408—2008/IEC 60695-11-10:1999进行测试,试样尺寸大小为125 mm×12.5 mm×3.2 mm。
2.1 PS@MgFeCu-LDHs的结构表征
2.1.1 PS@MgFeCu-LDHs、MgFeCu-LDHs、PS的XRD表征
图2为MgFeCu-LDHs、PS、PS@MgFeCu-LDHs的XRD谱图,用于研究样品的相结构。由图2可知PS@MgFeCu-LDHs的XRD图谱中存在LDHs的特征衍射峰。衍射峰11.48°、23.04°、34.19°、38.68°、45.99°、59.41°和60.74°处分别对应于水滑石的(003)、(006)、(009)、(015)、(018)、(110)以及(113)晶面[23]。这些峰的强度略低于改性前水滑石的特征衍射峰,与LDHs对应衍射峰位置吻合较好。而马铃薯淀粉本身具有特定的衍射峰,通常2θ=15°、17°、18°、23°。但在包覆过程中,受到高温作用(110 ℃),淀粉分子的有序结晶结构可能被破坏,转变为无定形结构。无定形物质在XRD中表现为宽化的弥散峰,而非尖锐的特征峰,从而导致淀粉原有的特征衍射峰消失。由XRD物相图分析可得出,改性后水滑石(003)晶面依旧存在于2θ=11.48°,这表明淀粉包覆不会改变水滑石的层状结构,改性前后水滑石的层间距未发生改变,水滑石层间依旧是碳酸根离子。
2.1.2 PS@MgFeCu-LDHs、MgFeCu-LDHs、PS的FT-IR表征
通过傅里叶红外光谱(FT-IR)进一步分析了制备样品的结构,如图3所示,在PS@MgFeCu-LDHs的光谱曲线中,可以同时观察到水滑石以及马铃薯淀粉的官能团特征带,位于3 450和 1 384 cm-1处的吸收波段也同时出现在LDHs的光谱曲线中,可以归因于水滑石主体层板O—H伸缩振动以及
中C—O键的不对称拉伸振动[24]。但与LDHs相比,几乎所有的特征波段都有所减弱,这可能是因为马铃薯淀粉包覆所导致;PS的光谱曲线显示,2 933 cm-1处的特征带对应于C—H键的伸缩振动,在3 200~3 600 cm-1也出现了O—H的伸缩振动波段,同样,这两个吸收峰也出现在PS@MgFeCu-LDHs谱线中。此外 PS@MgFeCu-LDHs在(800~400)cm-1范围内的指纹区域,吸收带复杂。对应于水滑石中3种金属M—O的晶格振动。上述结果表明,马铃薯淀粉成功包覆在水滑石表层。
2.1.3 MgFeCu-LDHs、PS@MgFeCu-LDHs的TEM表征
图4为MgFeCu-LDHs以及PS@MgFeCu-LDHs的透射电子显微镜图,改性前水滑石在透射电镜下呈现出典型的层片状堆积结构,层和层之间依靠氢键或静电作用精密结合在一起[25]。层状结构清晰可见,尺寸在几十nm范围内,水滑石颗粒在透射电镜下显示出良好的结晶性。水滑石堆叠在一起,其边缘呈现不规则形状,而经过马铃薯淀粉包覆后,水滑石边缘变得圆滑平缓,形成包覆状态,透射电子显微镜图像证明马铃薯淀粉成功包覆在了镁铁铜三元水滑石的表面,达到了表面包覆改性的目的。
2.1.4 MgFeCu-LDHs、PS@MgFeCu-LDHs的SEM表征
水滑石的层板羟基呈规整排列,粒子间易通过分子间氢键形成强相互作用,导致水滑石的团聚现象。淀粉包覆的分散作用主要是空间位阻效应,淀粉分子具有长链结构,包覆在粒子表面后形成柔性保护层,物理阻隔粒子间的直接接触,削弱氢键作用。同时对MgFeCu-LDHs、PS@MgFeCu-LDHs进行了SEM测试,由图5a可见,MgFeCu-LDHs团聚现象严重,整体呈现出球团状,片状结构在羟基的作用下层层堆积,而观察图5b可以看到包覆后的水滑石,虽然也有部分团状颗粒,但总体分散性良好。
对PS@MgFeCu-LDHs样品进行了SEM-mapping测试,测试结果如图6所示,Mg、Fe、Cu、C、O几种元素均匀分布,这表明金属阳离子与羟基以及层间阴离子共同构成水滑石层状结构,由于马铃薯淀粉包覆的缘故,其中C元素的分布范围更广、更均匀。
2.2 PS@MgFeCu-LDHs/PVC的表征
2.2.1 PS@MgFeCu-LDHs/PVC复合材料的烟密度分析
PVC材料在燃烧时会释放大量有毒烟气。在烟密度测试中,PVC样品组的最大比光密度为33.13,观察图中曲线可以看出,PVC的最大比光密度是随着时间推移而逐步升高的,最大比光密度对应时间为459 s。对比发现,添加了不同质量分数PS@MgFeCu-LDHs的复合材料烟密度曲线均有下降的阶段存在,这表明,在复合材料燃烧过程中,水滑石在高温下转变成的层状金属氧化物(LDO)具有吸收烟气、降低烟密度的作用[26,27]。对比各样品,可得出4%PS@MgFeCu-LDHs/PVC复合材料具有最佳的抑烟性能,材料的最大比光密度下降至14.63。
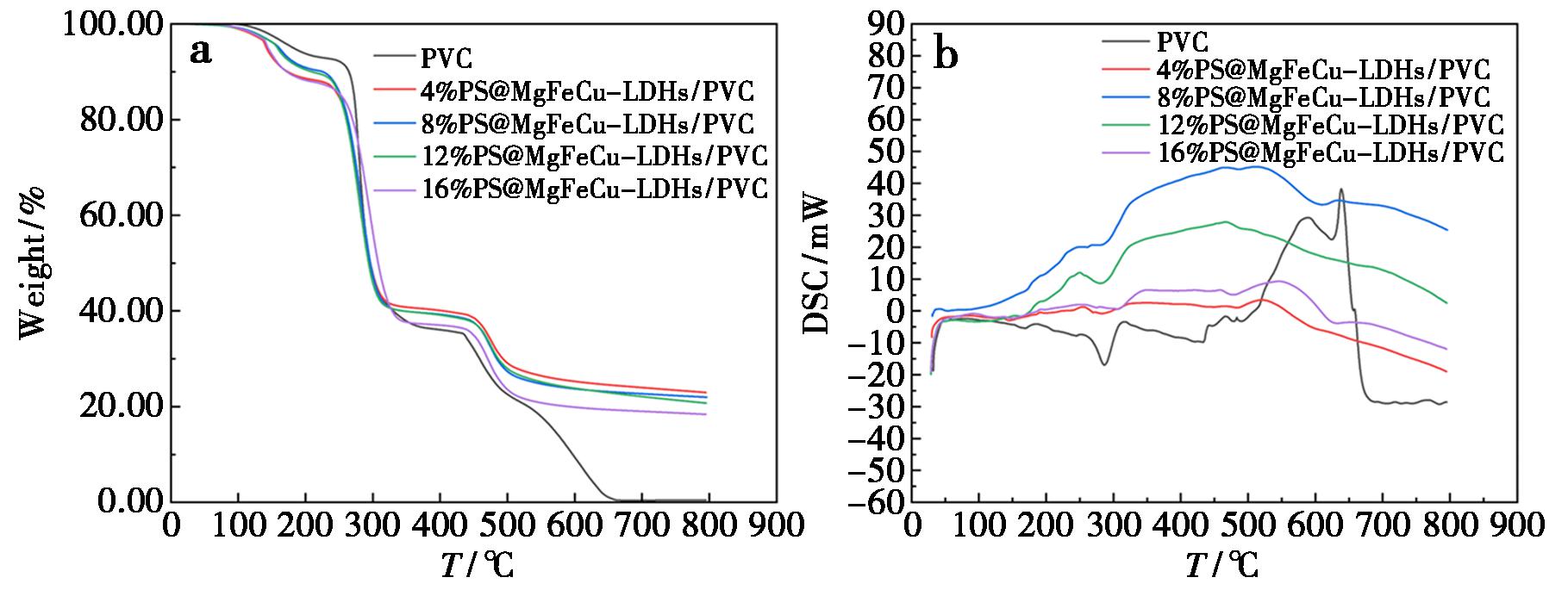
2.2.2 PS@MgFeCu-LDHs/PVC复合材料的热重分析
图9a显示了PVC复合材料的热重分析曲线,可观察到PVC的T10%(质量损失10%时的温度)至T50%温度区间为262.92~295.28 ℃,这表明在此温度区间内,PVC的热降解过程十分迅速,添加不同质量分数的PS@MgFeCu-LDHs后,各复合材料的T10%~T50%的温度区间均不同程度延长,其中添加量为4%的试样组表现最为优异。此添加比例下,PS@MgFeCu-LDHs很好的发挥了热稳定的作用,延缓了PVC热分解进程。由于引入马铃薯淀粉的缘故,增加了样品成炭率,进一步增强了凝聚相阻燃作用。4%PS@MgFeCu-LDHs/PVC复合材料残炭率增加至22.96%。同时温度升高至430 ℃左右时,PVC进一步分解,此时相应的DSC曲线(图9b)出现放热峰,但对比添加了PS@MgFeCu-LDHs的样品组,DSC曲线无明显变化,说明阻燃剂的加入,有效阻止了材料燃烧向环境释放热量,从而提升防火安全性[28]。实验结果表明,PS@MgFeCu-LDHs应用于PVC起到了良好的热稳定效果。
2.2.3 PS@MgFeCu-LDHs/PVC复合材料的残炭分析
PVC及PS@MgFeCu-LDHs/PVC复合材料的残炭形貌如图10所示,PVC残炭表面孔隙多且大,添加PS@MgFeCu-LDHs阻燃剂能有效提高样品的残炭率,随着样品中PS@MgFeCu-LDHs阻燃剂添加比例的不断增加,样品残炭表面的碳层更加致密,当添加质量百分数达到16%时,残炭表面无孔洞出现,这表明复合材料在燃烧时产生物理阻隔效应,有效阻隔气体和热量输送[29],从而防止PVC快速热解,提高阻燃性和抑烟性。

图1 制备流程图
Fig.1 Flow chart of preparation

图2 MgFeCu-LDHs、PS、PS@MgFeCu-LDHs的XRD
Fig.2 XRD results of MgFeCu-LDHs,PS,and PS@MgFeCu-LDHs

图3 MgFeCu-LDHs、PS、PS@MgFeCu-LDHs的FT-IR
Fig.3 FT-IR results of MgFeCu-LDHs,PS,and PS@MgFeCu-LDHs

图4 MgFeCu-LDHs(a)、PS@MgFeCu-LDHs(b)的
TEM图
Fig.4 TEM images of MgFeCu-LDHs (a) and PS@MgFeCu-LDHs (b)

图5 MgFeCu-LDHs(a)、PS@MgFeCu-LDHs(b)的
SEM图
Fig.5 SEM images of MgFeCu-LDHs (a) and PS@MgFeCu-LDHs (b)

图6 PS@MgFeCu-LDHs的SEM-mapping图
Fig.6 SEM-mapping images of PS@MgFeCu-LDHs

a.PVC;b.4%PS@MgFeCu-LDHs/PVC;c.8%PS@MgFeCu-LDHs/PVC;d.12%PS@MgFeCu-LDHs/PVC;e.16%PS@MgFeCu-LDHs/PVC
图7 PS@MgFeCu-LDHs/PVC复合材料烟密度曲线图
Fig.7 Smoke density profile of PS@MgFeCu-LDHs/PVC composites

图8 PS@MgFeCu-LDHs/PVC复合材料烟密度数据图
Fig.8 Smoke density data plot of PS@MgFeCu-LDHs/PVC composites

a.TG;b.DSC
图9 PVC、PS@MgFeCu-LDHs/PVC复合材料的TG及DSC图
Fig.9 TG and DSC curves of PVC and PS@MgFeCu-LDHs/PVC composites

a.PVC;b.4%PS@MgFeCu-LDHs/PVC;c.8%PS@MgFeCu-LDHs/PVC;d.12%PS@MgFeCu-LDHs/PVC;e.16%PS@MgFeCu-LDHs/PVC
图10 PS@MgFeCu-LDHs/PVC复合材料的残炭SEM图
Fig.10 SEM images of residual carbon of PS@MgFeCu-LDHs/PVC composites

a.拉伸强度与断裂伸长率;b.应力应变曲线
图11 PS@MgFeCu-LDHs/PVC复合材料的力学性能测试结果
Fig.11 Mechanical properties results of PS@MgFeCu-LDHs/PVC composites

a.PVC;b.4%PS@MgFeCu-LDHs/PVC
图12 PVC、4%PS@MgFeCu-LDHs/PVC复合材料的极限氧指数测试图
Fig.12 Ultimate oxygen index test results of PVC and 4%PS@MgFeCu-LDHs/PVC composites
2.2.4 PS@MgFeCu-LDHs/PVC复合材料的力学性能分析
在PVC材料中添加微胶囊改性后的镁铁铜水滑石阻燃剂,也会导致复合材料机械性能下降,但拉伸强度以及断裂伸长率下降幅度相对较小。尤其是复合材料断裂伸长率的表现。随着PS@MgFeCu-LDHs添加量的增大,复合材料的断裂伸长率逐渐下降,但拉伸强度基本不变。进一步分析复合材料的应力应变曲线(图10b),PVC初始线性弹性段,后伴随明显屈服平台,最终断裂应变为685.6%。对比PVC曲线可以看出,复合材料的屈服阶段平缓,断裂前颈缩现象减轻,表明刚性增强但塑性减弱。实验结果表明,PS@MgFeCu-LDHs阻燃剂与PVC基体的相容性良好,对水滑石进行改性,进而提升材料的机械性能是合理可行的。
2.2.5 PS@MgFeCu-LDHs/PVC复合材料的极限氧指数及UL-94水平燃烧测试
为进一步表征PS@MgFeCu-LDHs阻燃剂应用于PVC材料的阻燃性能,综合分析热重测试、力学性能测试、烟密度测试结果,选取了4%PS@MgFeCu-LDHs/PVC样品组进行了极限氧指数测试以及UL-94水平燃烧测试,结果表明,复合材料的极限氧指数达到了25.6%,UL-94水平燃烧等级达HB级。PVC在燃烧后滴落,而4%PS@MgFeCu-LDHs/PVC复合材料燃烧后变焦糊,未有滴落现象,且移去引火源后材料无可见的有焰燃烧。实验结果表明,对MgFeCu-LDHs进行改性,能有效解决LDHs在聚合物基体中分散性差的问题,进一步提升阻燃抑烟效果。
因LDHs结构和性能的特殊性,使得人们可以利用诸多方法对水滑石进行精准调控,进而制备具有不同性质和应用范围的水滑石功能材料。虽然LDHs的应用已成为国内外研究热点,但在阻燃领域对于LDHs的研究还不是很全面。本文旨在开发具有高效、绿色、无毒无害的阻燃抑烟剂,创造性的采用生物基阻燃剂马铃薯淀粉对镁铁铜三元类水滑石进行微胶囊包覆改性,成功制备出PS@MgFeCu-LDHs,并将其添加至PVC材料中。研究结果表明,PS@MgFeCu-LDHs具有良好的阻燃抑烟性能,有效提升了PVC材料防火安全性。
在低碳环保的绿色观念日益盛行的21世纪,传统阻燃剂的研发与应用受到越来越多的挑战,而LDHs作为无毒无害的绿色阻燃剂必将迎来更大的市场。今后应当结合现有研究成果,不断优化改进。研发具有阻燃效率高、与基体相容性好的水滑石功能材料,进一步降低制备成本,以实现规模化生产。
[1]Hussein A K,Yousif E,Rasheed M K,Edo G I,Bufaroosha M,Umar H.Polym.-Plast.Technol.Mater.,2025,64(5):593-632.
[2]Morgan A B,Mukhopadhyay P.J.Mater.Sci.,2022,57(14):7 155-7 172.
[3]Yu J,Sun L,Ma C,Qiao Y,Yao H.Waste Manage.,2016,48:300-314.
[4]Guo J,Wang Z H,Yang Y.Technol.Econ.Petrochem.,2024,40(6):14-17.
郭珺,王在花,杨英.石油化工技术与经济,2024,40(6):14-17.
[5]Chen Q.Plast.Addit.,2025,(1):53-55;80.
陈强.塑料助剂,2025,(1):53-55;80.
[6]Liu Z N,Wang Z,Gu C H,Wang S J.Plastics,2021,50(5):72-77.
刘兆年,王镇,辜朝辉,王淑娟.塑料,2021,50(5):72-77.
[7]Zhang L,Chen T T,Zhang J.Mod.Plast.Process.Appl.,2024,36(4):48-51.
张玲,陈婷婷,张军.现代塑料加工应用,2024,36(4):48-51.
[8]Shang S C,Yang B J,Zhang R C,Wang B N,Chen Y,Wang Y C.Acta Mater.Compositae Sin.,2017,34(8):1 667-1 673.
尚松川,杨保俊,张睿辰,王百年,陈洋,王艳成.复合材料学报,2017,34(8):1 667-1 673.
[9]Song X X,Li L J,Liu Z Q,Ji L M,Nie F,Zeng Z M.J.Salt Lake Res.,2016,24(4):66-72.
宋雪雪,李丽娟,刘志启,姬连敏,聂锋,曾忠民.盐湖研究,2016,24(4):66-72.
[10]Lu S Y,Tian X X,Luo B J,Ma L B,Zhang W Y,Wang L.J.Salt Sci.Chem.Ind.,2023,52(7):13-17.
路绍琰,田欣霞,骆碧君,马来波,张文燕,王亮.盐科学与化工,2023,52(7):13-17.
[11]Gao J,Bai W J,Tang D C,Gao Z W,Kong H M,Wang H T.J.Salt Sci.Chem.Ind.,2025,54(1):12-17.
高娟,白文娟,唐大才,高昭伟,孔会民,王铧泰.盐科学与化工,2025,54(1):12-17.
[12]Song H R,Li Q R,Yan L,Qiao Y,Chi H J.J.Yanshan Univ.,2018,42(4):356-362.
宋河儒,李秋荣,燕丽,乔宇,迟宏进.燕山大学学报,2018,42(4):356-362.
[13]Guo B,He Y,Chen Y,Yang T,Peng C,Luo W,Zeng B,Xu Y,Dai L.Nano-Micro Lett.,2025,17(1):116.
[14]Bao Y,Tang P,Liu C.Fine Chem.,2022,39(1):24-33.
鲍艳,唐培,刘超.精细化工,2022,39(1):24-33.
[15]Wu Q S,Zhao P C,Liu Z Q,Zhou Z Y,Li N,Mo Y Z.Mater.Rep.,2022,36(S1):149-156.
吴青山,赵鹏程,刘志启,周自圆,李娜,莫云泽.材料导报,2022,36(S1):149-156.
[16]Li M,Chen S,Ni F,Wang Y,Wang L.Electrochim.Acta,2008,53(24):7 255-7 260.
[17]Liu L J,Guo F,Chen J F.J.Beijing Univ.Chem.Technol.,Nat.Sci.Ed.,2004,(3):22-26.
刘丽君,郭奋,陈建峰.北京化工大学学报(自然科学版),2004,(3):22-26.
[18]Yang J H,Zhang W,Ryu H,Lee J H,Park D H,Choi J Y,Vinu A,Elzatahry A A,Choy J H.J.Mater.Chem.A,2015,3(45):22 730-22 738.
[19]Jin W D,Feng J,Huang R G,Yang B J,Wang B N,Zhang G S,Wu B.Plast.Sci.Technol.,2022,50(1):58-61.
金文德,丰佳,黄荣国,杨保俊,王百年,张告时,吴波.塑料科技,2022,50(1):58-61.
[20]Azadi S A,Vasheghani-farahani E,Hashemi-najafbabadi S,Godini A.Prog.Biomater.,2016,5:101-109.
[21]Chen Q J,Liu Z,Rong Z,Xie G Y,You N,Wei Y Q.Trans.China Pulp.Pap.,2022,37(3):62-68.
陈启杰,刘茁,荣智,谢广阳,游娜,魏雅琴.中国造纸学报,2022,37(3):62-68.
[22]Shi H R,Chen Y J,Qian L J.Plastics,2025,54(1):167-175.
石浩然,陈雅君,钱立军.塑料,2025,54(1):167-175.
[23]Li P,Dang L,Li Y,Lan S,Zhu D.Mater.Des.,2022,217:110 608.
[24]Wang Z Q,Zeng C,Yuan D,Tan J,Chen Q.Mod.Chem.Ind.,2021,41(5):93-97;102.
王竹青,曾晨,袁东,覃杰,陈琦.现代化工,2021,41(5):93-97;102.
[25]Wang Q,O′hare D.Chem.Rev.,2012,112(7):4 124-4 155.
[26]Yao X,Du C,Hua Y,Zhang J,Peng R,Huang Q,Liu H.J.Nanomater.,2019,2 019(1):9 067 510.
[27]Xu Z,Deng N,Yan L.J.Coat.Technol.Res.,2020,17(1):157-169.
[28]Zhang B,Han J.Fire Mater.,2018,42(1):109-118.
[29]Zhang S,Liu X,Jin X,Li H,Sun J,Gu X.Carbohydr.Polym.,2018,189:313-321.