金属有机框架,英文名为Metal Organic Framework,简称MOF,是有机配体通过特定配位点与金属离子或金属团簇通过配位键形成的具有一维到三维周期性重复结构的超分子化合物。1995,美国加州大学伯克利分校的Yaghi等[1]首次报道了均苯三甲酸(BTC)与过渡金属Co合成的具有二维结构的配位化合物,并称之为MOF,由此世界上第一个金属有机框架诞生了。之后的20年间,国际上相继报道了如UiO系列[2-4]、ZIF系列[5-7]及NU系列[8-10]等功能性MOF。与沸石、碳基等传统多孔固体材料相比,MOF在各种应用方面表现更优异。
作为一种晶态多孔材料,MOF具有高表面积、可调节的孔径等,使得MOF可以作为一类特殊材料,具有丰富的功能。遗憾的是,大部分MOF都要面临稳定性的挑战,尤其是水热稳定性。而锆基MOF(Zr-MOF)则在稳定性方法具有优越表现,大多数锆基MOF都可以稳定存在,例如水热、酸性和常温空气环境,部分Zr-MOF在碱性环境也可以稳定存在。高稳定性拓展了锆基MOF的应用场合。锆元素为第VI副族元素,主要存在于锆石与斜锆石中[11]。作为金属有机框架中的常见金属之一,通常与羧酸配位。
2008年,Cavka等[2]报道了第一个锆金属有机材料,命名为UiO-66,由十二连接点的锆金属团簇与对苯二甲酸配位形成的具有方形空腔的金属有机框架,UiO系列框架有着优异的溶剂稳定性。在后续不断的发展中,BUT[12]与PCN[13-15]等系列框架也被报道出来,这些框架不仅有优异的稳定性,更在主客体化学及催化等领域都有较多的应用。
锆簇通常由6个锆原子组成,形成八面体结构(图1)。从微观上看,锆簇通常为D4h对称的八面体,少数为扭曲的D2d对称的八面体,形成特定对称性的MOF框架,例如BUT-14、BUT-15、PCN-222等[16]。八面体的三角形面被μ3-O、μ3-OH等基团所覆盖。因此,每个锆原子具有4个空余配位点。相邻的两个锆原子可以配位1个羧酸,1个锆原子可以与多个羧酸相连,因此1个六锆簇(Zr6)节点也可配位多个羧酸。锆基MOF的结构类型丰富,例如,(4,12)-连接的拓扑类型有:ftw、shp;(4,8)-连接的拓扑类型有:scu、csq、sqc、flu;(4,6)-连接的拓扑类型有:she;(4,4)-连接的拓扑类型有:lvt[17](图1)。
a.Zr6簇内核结构;b.完整Zr6簇结构;c.Zr-MOF拓扑结构Zr:粉色;O:蓝色;H:白色
图1 Zr-MOF的拓扑结构
Fig.1 Topological structures of Zr-MOF
配体也可以称为连接体。配体的几何形状和结构影响与锆簇的配位模式,从而影响最终的锆基金属有机框架(MOF)结构(图2)。Pang等[18]报道,在(4,8)连接的锆基MOF中,四羧酸配体上的取代基可以通过影响构象形成不同的旋转异构体,从而使生成的MOF具有3种不同的拓扑结构:flu、csq、scu。Flu结构中的配体采用D2对称,scu结构中配体采取C2h对称,而csq结构中配体采取C2v对称。
图2 配体结构与Zr-MOF的关系
Fig.2 Structure of ligand and Zr-MOF structure
调制酸通常为甲酸、乙酸、三氟乙酸、苯甲酸等羧酸分子。调制酸影响锆基MOF的拓扑结构,其机制通常认为是竞争性调控。即调制酸与羧酸连接体竞争锆簇上的配位点,影响锆簇的连通性,从而调节锆MOF的结构。在这个基础上,调制酸的pKa是一个重要因素。较高pka的调制酸,竞争能力弱,通常形成连通性较高的结构。如乙酸、丙酸中通常产生scp拓扑结构。较低pka的调制酸,通常形成连通性较低的结构,如甲酸、苯甲酸等容易生成scu、csq拓扑结构[19]。Wißmann等[20]在合成Zr-fumarate MOF过程中,通过控制甲酸的当量,分析产物的PXRD数据和SEM图像,详细说明了甲酸作为调制剂的作用。甲酸在合成Zr-fumarate MOF过程中,可以提高结晶度,控制晶体尺寸,控制晶体的聚集程度。与其他常见调制剂(苯甲酸、乙酸)不同的是,甲酸可以促进锆氧簇节点的产生,从而缩短反应时间。这可能是由于以N,N-二甲基甲酰胺(DMF)为溶剂时,甲酸是DMF与H2O反应的水解产物,甲酸的浓度增加,促使反应平衡移动,导致H2O含量增加。而H2O可以提供氧原子参与配位,形成锆氧簇。
通常使用N,N-二甲基甲酰胺(DMF)、N,N-二乙基甲酰胺(DEF)、N,N-二甲基乙酰胺(DMA)等作为溶剂。不同溶剂的碱性强弱也会影响锆基MOF的拓扑结构。溶剂的碱性强弱依次为DMA、DEF、DMF。碱性强的溶剂使有机连接体在与锆簇配位中竞争性差,从而生成高连通性结构。在控制反应时间和温度分别均为3 d、120 ℃的情况下:在溶剂DMA中只产生scp拓扑结构;在DMF中,可以产生scp、scu、csq拓扑结构;在DEF中,则可以产生scp、csq拓扑结构。在使用DMF、DEF的基础上,可以通过使用调制酸进一步调控MOF结构[19]。溶剂可以通过影响前体的溶解度和有机连接体在溶剂中的脱质子化速率来控制金属与配体之间的相互作用[17]。Chen等[17]报道,配体为四羧酸时,DEF和甲酸组合产生(4,5)-连接的NU-500;DEF和乙酸组合产生(4,6)-连接的具有she拓扑结构的NU-600;DMA和乙酸组合产生(4,8)-连接的具有scu拓扑结构的NU-906;DEF和甲酸组合产生(4,8)-连接的具有csq拓扑结构的NU-1008。
2.1.1 溶剂热合成
锆基MOF单晶生长困难,培养单晶的条件苛刻,通常产生的单晶尺寸较小,质量较差。空腔越大的MOF,在单晶测试中的表现越差,常出现衍射点少且较弱的情况。
溶剂热法是目前最常用的Zr-MOF合成方法,通常在有聚四氟乙烯内衬的反应釜中进行,利用高温高压促进反应物的溶解和结晶。该方法可制备出结晶度高、孔隙率大的Zr-MOF。溶剂热法的优势在于可获得高质量的晶体。
一般合成过程所需原料为:有机连接体即羧酸配体、锆基金属盐、调制酸和溶剂。锆基金属盐通常使用四氯化锆、二氯氧锆、二氯二茂锆。添加调制酸时,需要注意多数情况下,调制酸浓度越高,晶体尺寸越大;但是,也有研究表明,调制酸的浓度过高,不利于产生晶体[19]。Xia等[21]报道,高浓度的调制酸可以减缓晶体成核的速度,从而产生更大的晶体。Chen等[17]也提出,调制剂的用量会导致MOF结构的相变。当甲酸的用量增加后,(4,5)-连接的NU-500会转变为(4,8)-连接的NU-1008,从动力学产物转变为热力学产物。而根据近年文献报道,使用混合酸可使晶体质量更佳,常见如三氟乙酸和苯甲酸的组合[21]。合成温度通常为90~130 ℃,反应时间通常为3 d(表1)。温度过高或者过低,反应时间不足都会导致粉末状沉淀的产生。
表1 部分Zr-MOF晶体的合成条件
Tab.1 Synthetic conditions of Zr-MOF crystals
MetalModulationSolventT/℃t/hZrCl4TrifluoroaceticacidBenzoicacidDMFDEFZrOCl2·8H2OAceticacidFormicacidDMA 90~13024~72
在单晶合成的基础上减少调制酸的用量或者反应温度通常可得粉末形态MOF。根据Fang等[22]报道,通过使用八水合氧氯化锆以及控制甲酸的量,可以在纳米至微米区间调控MOF的尺寸。
控制合成纳米级MOF的主要因素有:1)溶剂用量;2)锆盐用量;3)温度;4)调制酸浓度。例如,合成纳米晶体的可用条件:4 mL DMF、21.0 mg(0.066 mmol)ZrOCl2·8H2O、0.075 mmol有机连接体和不同体积乙酸,在90 ℃的油浴中轻轻搅拌24 h[21]。
2.1.2 微波辅助合成法
微波辅助合成法[23]利用微波加热反应体系,可显著缩短反应时间并提高产物收率。与传统溶剂热法相比,微波合成通常只需几分钟到几小时即可完成[24],晶体尺寸均匀。UiO-66-NH2可以在微波辅助下30 min内合成,结晶度与常规方法相当。该方法的快速加热特性有利于形成更均匀的晶核[25]。
2.1.3 机械化学合成法
机械化学合成法[26]通过研磨固体反应物实现MOF合成[27],无需或仅需少量溶剂。将锆盐和有机配体与少量助磨剂(如乙酸)一起研磨,可以得到Zr-MOF粉末[28]。这种方法操作简单、环境友好、产率高,适合对溶剂敏感的配体。
2.1.4 室温合成方法
Noh等[29]提供了一种室温合成NU-901的方法。NU-901具有fcu拓扑网状结构,结构单元为8连接的Zr6(μ3-O)4(μ3-OH)4(H2O)4(OH)4金属节点和4位1,3,5,8-(对苯甲酸酯)芘连接体(TBAPy4-)。该合成方法主要分为两步。首先需要合成锆簇节点:在丙醇中加入Zr(OBu)4的正丁醇溶液和苯甲酸,加热回流,得到澄清溶液后,去除丙醇得到白色固体,即锆簇节点。接下来是加入配体:在DMF中加入乙酸和第1步得到的锆簇节点,然后缓慢滴加含配体H4TBAPy的DMF溶液,放置过夜,得到的沉淀即为NU-901。通过这种方法,可以封装热敏感的纳米颗粒Pt-NPs,封装率可达11 wt%左右,制得的Pt@NU-901可以用于催化顺式二苯乙烯,转化率达31%。通过封装Pt-NPs,可以防止颗粒聚集,同时也便于回收。
Dai等[30]提供了一种室温下一步合成锆基MOF的方法,主要适用于8-或者2-连接的微孔/介孔的固体,如MOF-801、UIO-66-NH2、UIO-66-COOH、DUT-67、PCN-222等。以MOF-801为例,将350 mg四氯化锆、2 mL甲酸、加入8 mL水中搅拌1 min,再加入175 mg富马酸,室温反应 12 h。室温合成MOF-801的BET表面积较大,这是由于MOF中存在大量缺陷空腔。
2.1.5 合成方法的优化
锆基MOF容易出现缺失配体或者节点缺陷的问题,导致多晶型的现象,即配体相同但节点连接不同而导致MOF结构不同。由于多晶型的影响,导致表征复杂。Islamoglu等[31]发现在NU-1000合成过程中仅使用苯甲酸作为调制酸时,部分产物中除NU-1000晶体外,也出现NU-901的结构。在加入三氟乙酸后,该情况得到明显改善,晶体呈现均匀的NU-1000的csq拓扑结构。也就是当苯甲酸和三氟乙酸作为共调制剂时,可以产生纯相NU-1000。这可能是由于三氟乙酸(TFA)抑制配体脱质子化的速率,TFA与锆簇配位,形成的强Zr-羧酸配位键改变了配位平衡。NU-1000中混有少量NU-901的情况也可以通过混合连接体策略来获得纯相结构,解决MOF合成中物相不均一的问题[18]。
即除去框架内的残留溶剂,仅剩余MOF本身。通常是用新鲜丙酮来置换反应溶剂,重复2~3次,再通过真空干燥的方法除去丙酮。在NU-1000的报道中,会出现用盐酸酸处理的情况,该方法可以除去空腔中的苯甲酸,提高晶体功能[32]。或者使用超临界二氧化碳活化方法,用液体二氧化碳萃取残留溶剂,然后升温使二氧化碳转变为气态,再抽真空除去二氧化碳。该方法较温和,且活化效率较高[33]。
2.3.1 合成前修饰
通过修饰有机连接体的结构,可以起到修饰MOF空腔的作用。EtP5-OTf通过Suzuki偶联、水解,引入柱芳烃结构,获得EtP5-4PhCOOH(图3)。以该化合物为有机连接体,与四氯化锆反应形成EtP5-Zr-Scu(具有特殊功能基团的锆基MOF)。通过该方法,可以在MOF空腔中增加一个环状结构,提升客体的接触面积,增加作用位点[34]。
Zr6簇:蓝色;有机连接体:灰色;柱芳烃:黄色
图3 用EtP5-4PhCOOH制备EtP5-Zr-scu
Fig.3 Preparation of EtP5-Zr-scu by EtP5-4PhCOOH
2.3.2 一锅法修饰
“一锅法”可减少中间处理环节,从而节省时间,提高效率。例如,Fang等[22]成功地利用原位“一锅法”策略,通过醛与具有邻苯二胺基的四齿羧酸之间的单一位点修饰反应,构建了全色发射的锆基MOF。所得MOF可作为化学传感器,用于研究能量转移。
2.3.3 合成后修饰
在获得MOF之后,可以通过后修饰来进一步改变或增强MOF的功能。文献报道的合成后修饰策略有原子层沉积(Atomic Layer Deposition,ALD)(图4)[35]、替换羧酸有机连接体、连接功能有机分子片段、溶剂辅助配体掺入(Solvent-Assisted Ligand Incorporation,SALI)[36]等。
O:蓝色;H:黄色;Al:粉色;C:灰色
图4 原子层沉积法(ALD)
Fig.4 ALD method
Mondloch等[35]介绍了一种在气相条件下,引入金属离子的方法,即原子层沉积法。通过这种方法,可在NU-1000中引入锌原子和铝原子。相比较而言,很难从溶液态的MOF中除去多余的金属离子,而在气相条件下可以避免这种情况。通过原子层沉积法得到的Zn-AIM、Al-AIM,可以用于催化Knoevenagel反应,这是原始锆基MOF没有的功能。
Deria等[36]在2013年首次提出SALI策略。这种策略用于将羧酸基团掺入锆基金属有机框架NU-1000中。与以往利用不饱和金属位点的配位键来实现金属节点功能化的策略不同,SALI将功能团作为电荷补偿和强结合的基团引入到锆簇节点上。利用SALI策略,可在NU-1000的锆簇(Zr6)节点上高效地连接不同链长(C1~C9)的全氟烷基羧酸根。这些后修饰的金属有机框架,无论是在实验上还是理论上都已被研究作为潜在的二氧化碳捕获材料[36]。
L
zaro等[37]报道,通过合成后修饰的方法,将阿仑膦酸盐(Alendronate,简称AL)引入到二氯乙酸盐-锆基MOF复合物[(DCA)@UIO-66]中,其中AL的磷酸基团与锆簇配位连接。实验操作过程是,水溶液中放入DCA@UIO-66、AL,超声分散,室温下搅拌3 d即得。Ren等[38]通过合成后修饰的方法,在锆基MOF的空腔中引入二羧酸片段,起到调控发光范围的作用,将MOF放入作为修饰分子的DEF溶液中,80 ℃加热1 d。Pang等[39]通过合成后修饰的方法,将具有光催化功能的[Ru(bpy)3]2+(BDBR)引入到PCN-808中,合成了具有光催化功能的锆基MOF(PCN-808-BDBR)。关键操作过程是,将PCN-808放入H2BDBR的DMF溶液中,100 ℃加热1 d。
锆基MOF中,由于csq网络结构可以提供较大的空腔,适合用于负载体积较大的酶。2018年,Chen等[40]使用NU-1000实现胰岛素的负载和释放(图5)。利用锆基MOF在磷酸缓冲液中易崩解的特性,使其可以在血液中释放胰岛素。另一方面,利用锆基MOF耐酸特性,使其在胃酸溶液中保持结构,保护胰岛素免受酸性环境以及胃蛋白酶的影响,展现出应用于口服胰岛素的潜力。同年,Li等[33]合成了空腔尺寸递增的NU-100X(3~7)系列,用于封装乳酸脱氢酶(LDH)。利用了NU-100X系列的结构特点,六边形大空腔用于固定酶,其余小空腔用于传递底物与产物。空腔大小影响反应物与辅酶扩散渗透的效率,LDH@NU-100X(X=5,6,7)的空腔尺寸较大(30~33 Å),反应物可以充分与固定化的LDH接触,活性较高。当三角形空腔尺寸<30 Å时,由于反应物的可及性低,导致酶活性低。因此,NU-100X系列表现出无细胞的酶固定化潜力。2020年,Chen等[41]使用NU-1000负载细胞色素C,发现当细胞色素C在NU-1000空腔中时,催化ABTS氧化的速率较游离细胞色素C明显增加。催化效率的增加主要是由于细胞色素C的构象发生了变化,并通过电子顺磁共振,固态UV-Vis,以及分子动力学模拟等方法来说明。在电子顺磁共振中,可以发现细胞色素C可导致铁离子的配位环境发生改变;在固态UV-Vis中,可以发现Soret band红移,说明血红素中心的配位环境发生变化;通过计算模拟,可以发现游离细胞色素C与固定化细胞色素C周围的水分子分布和数量不同,说明了细胞色素C的构象发生变化。2023年,Sha等[42]通过SALI方法,用甜菜碱、L-丝氨酸分别修饰NU-1000,以有效封装蛋白质泛素,用后修饰配体来替代锆簇节点中的空余未配位的—OH基团。丝氨酸具有末端羧基,提供了亲水性环境。甜菜碱末端甲基提供疏水性环境。对比发现,NU-1000-serine(丝氨酸)的泛素负载量较高。吸附环境的pH,碱性条件有利于提高负载量。通过对比发现,泛素封装在热力学上是有利的。更具亲水性的封装环境以及有利的静电相互作用诱导了焓上有利的泛素-MOF相互作用,而更高的pH条件降低了颗粒内扩散障碍,这两者都导致了更高的蛋白质负载量。相反,在酸性环境下,当pH<泛素PI(等电点),泛素带正电荷,与NU-1000的相互作用减弱,不利于负载泛素。
图5 用Zr-MOF负载酶
Fig.5 Enzyme immobilized on Zr-MOF
晶体海绵(Crystal Sponge)方法是一种革命性的结构鉴定方法[43]。很多有机分子为液体、油状或无定形粉末,难以结晶。通过使用预合成的金属有机晶体框架来负载这些难结晶的客体分子,使客体分子在框架中有序分布,通过X射线衍射分析得到主客体复合物的结构,从而确定客体分子结构和构型(图6)。晶体海绵为稳定性较好的单晶,在浸泡客体的过程中,始终保持稳定,这样客体无需结晶,也可用单晶X-射线衍射法来确定客体的三维结构。
图6 晶体海绵法鉴定有机分子结构
Fig.6 Identification of organic molecular structures by crystal sponge method
Huang等[44]报道的锆基MOF(ZrFMOF)可以用作晶体海绵来鉴定多个有毒液体分子及未知液体的结构。并且,该晶体海绵无需活化,操作简便。ZrFMOF晶体海绵与有毒液态客体之间具有3种结合模式(Ⅰ、Ⅱ、Ⅲ)(图7)。
a.主客体的3种结合模式;b.部分已鉴定化合物结构
图7 ZrFMOF鉴定有机分子结构
Fig.7 Identification of organic molecular structures by ZrFMOF
Qin等[13]以锆金属有机框架PCN-700作为晶体海绵主体,对一系列的二羧酸分子进行包结、单晶衍射分析,并最终得到客体的结构信息。由于Zr-MOF的合成条件较为苛刻,难以得到能作为晶体海绵主体的框架,所以目前以Zr-MOF作为晶体海绵的研究较少,为研究缺口之一。
Zr-MOF具有优异的稳定性,可作为药物分子的载体,以保护其在发挥作用前不被代谢掉。L
zaro等[37]报道了一种载药新策略——多变量调控,它允许通过缺陷装载的方式,在锆基MOF(UiO-66)中结合多达3种药物。这些药物被添加到一锅法溶剂热合成过程中,并通过与金属簇的配位作用分布在MOF的缺陷位点上。这种紧密的结合方式保留了UiO-66的均匀性和孔隙率,使得第4种药物能够在合成后装载到MOF中,从而得到负载有药物组合的纳米粒子,这些纳米粒子在体外对MCF-7乳腺癌细胞显示出增强且具有选择性的细胞毒性。
Zou等[45]以UiO-66为模板,将配体延长一个苯环的长度,使其空腔可以容纳胰岛素,可实现胰岛素的口服给药。L
zaro等[46]以UiO系列MOF将5-氟尿嘧啶包结到空腔中,并递送至癌细胞中。Li等[47]将酮洛芬包结到UiO-66空腔中,达到缓释效果,增加生物安全性。
Cornell等[48]在UIO-AZB的基础上引入氟化连接体4,4′-(偶氮-1,2-二基)双(3,5-二氟苯甲酸)[H2ABDA(3,5-F)]形成MTV-MOF。通过调整(E)-偶氮苯-4,4′-二羧酸(H2ABDA)和H2ABDA(3,5-F)的比例,可以合成氟化程度为0%、30%、50%、80%、100%的MTV-MOF。不同的氟化程度影响锆基MOF对客体5-氟尿嘧啶/尼罗红的负载容量以及释放效率。并且,引入的氟化连接体,可以使MOF在绿光照射下崩解,从而释放客体。该系列的MTV-MOF可以作为一个有潜力的光控药物递送系统。
Fang等[22]通过原位一锅法构建了一系列的csq-Zr-LMOF,可在蓝光到红外的区间调控MOF的发光特性,从而可以实现色氨酸的高灵敏度和选择性检测。其中,HIAM-4009F对色氨酸的检测限为0.25 μmol/L,具有高灵敏度、高选择性和高稳定性优点。
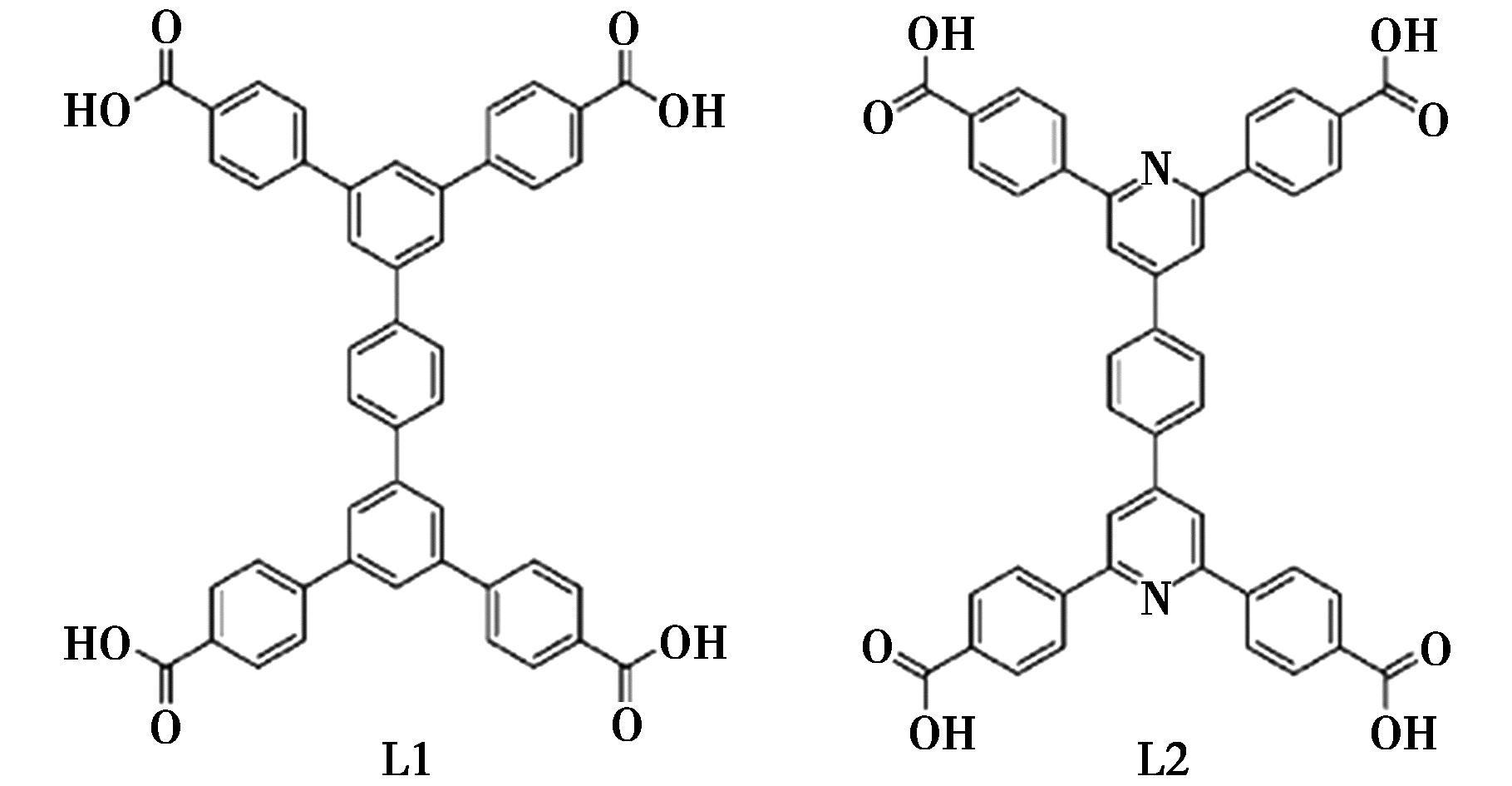
Wang等[16]发现,锆基MOF具有荧光猝灭效应,可在水中选择性检测Fe3+。BUT-14使用L1配体,检测限为212 μg/L;BUT-15使用L2配体,检测限为16 μg/L(图8)。这些MOF加入三价铁离子后出现荧光猝灭现象,可实现检测三价铁离子功能。这种现象产生的主要机制,为三价铁离子与MOF配体之间的光诱导电子转移过程,主要依赖于MOF与三价铁离子的强相互作用。L2配体引入吡啶基团,吡啶中的氮原子可以向三价铁离子提供额外的孤对电子,从而增强了检测能力。BUT-15可以作为在水溶液稳定中的荧光传感器,用于选择性和快速检测水中的Fe3+离子,同时该体系具有可回收性和高稳定性,也可以用于生物系统。
图8 BUT-14的配体L1及BUT-15的配体L2
Fig.8 BUT-14 ligand L1 and BUT-15 ligand L2
陈阳等[49]也报道了使用罗丹明B与锆基金属有机框架PCN-777形成的复合材料,来检测溶液中的三价铁离子。相较于单体罗丹明B,复合材料的稳定性提高,对三价铁离子的检测灵敏度和选择性提高,检出限为0.16 μmol/L。
Liu等[50]以MOF-801对甲烷、乙烷等气体分子进行吸附;Zhu等[51]与Wang等[52]使用锆金属有机框架,去除水中的Hg2+及Al3+离子。此外,更多以Zr-MOF作为吸附剂,对小分子进行吸附的研究也被陆续报道[53]。
Wang等[12]以BUT系列MOF,对水中抗生素及爆炸物分子等污染物进行吸附。Andrade等[54]以UiO-67-NH2(M)为主体框架,对I2和
进行捕捉,用拉曼光谱探究碘的存在形式和吸附机制。
通过在有机连接体中引入柱状[5]芳烃,合成了EtP5-Zr-scu。由于引入柱状[5]芳烃结构,提供了额外的吸附位点,可以显著提高对于芥子气模拟物2-氯乙基乙基硫醚(CEES)的吸附效果。EtP5-Zr-scu对于CEES的吸附容量为305 mg/g,并可以在10 min内达到吸附平衡。因此,EtP5-Zr-scu可负载CEES,防止CEES逃逸,在氮气为载体时,有效保留容量为216 mg/g,以空气为载体时,有效保留容量为213 mg/g。在20%相对湿度下,依旧保持86%的吸附量,有效保留容量为186 mg/g。EtP5-Zr-scu具有在低浓度下快速、高效吸附芥子气的潜力[34]。
Liang等[55]报道了锆基金属有机框架PCN-999。其在结构上具有两个Zr6簇作为金属节点。PCN-999可用于吸附多氟羧酸,对于全氟辛酸(PFOA)的最大吸附容量可达到1089 mg/g。Chen等[17]合成了NU-500、NU-600、NU-906、NU-1008,可用于吸附有毒分子2-氯乙基硫醚。2-氯乙基硫醚的吸收率受孔径大小,表面积以及水含量的影响。孔径最小的NU-906表现出最高的吸收率(13.3 mmol/kg)。
王东东等[56]在水溶液中用天冬氨酸、四氯化锆加热合成MIP-202。MIP-202[57]可用于吸附废水中的亚甲基蓝。对于亚甲基蓝的最大吸附容量192.31 mg/g,循环5次使用后,吸附容量可保持初始吸附容量的85.1%。
司甜甜等[58]应用MOF-808,与HPLC联用,实现了中药黄连粗提取液中生物碱类药物活性成分的富集与捕获。MOF-808[59]在吸附生物碱类成分后,可以再通过甲酸-乙腈溶液进行解吸附,实现生物碱成分的高效,快速富集。有趣的是,MOF-808收集的生物碱均为苄基异喹啉衍生物。
崔颖等[60]将PCN-777应用于氟喹诺酮及磺胺类抗生素的吸附,吸附遵循Langmuir等温吸附方程。对磺胺甲噁唑的饱和吸附量为36.36 mg/g,对氧氟沙星的吸附量为35.46 mg/g。因此,PCN-777可以用于不同环境水体中抗生素的吸附和除去。
甘倩莹[61]合成的MOP 1、MOP 2、MOP 3、MOP 7是具有V2E3结构的胶囊状金属有机多面体,均对碘单质有较强的吸附效果。设置碘的初始浓度2.0 mmol/L,MOP 1的去除率达到96.1%,MOP 2的去除率达到97.7%,MOP 3的去除率达到96.9%,MOP 7的去除率达到95.4%。虽然MOP 3具有最高的孔隙率(40.6%),但吸附率并非最高。这说明,除了孔隙率,配体上的基团也发挥重要作用。黄伟平[62]合成的MOP-1~MOP-13等对碘单质也表现出强大的吸附能力。作者发现,含吡啶鎓盐的MOPs吸附率较高,带—NO2及NH2等官能团的MOPs吸附率次之,无特殊官能团的MOPs吸附能力较差。MOP-1对碘单质吸附能力最优,吸附速度最快,吸附率高(99.80%),能在1 h吸附大量碘单质。
Pang等[39]对PCN-808进行合成后修饰,将线性钌剂金属配体(BDBR)安装于PCN-808的通道内壁上,合成了PCN-808-BDBR(图9)。复合物保留了介孔结构,且具有光催化功能,可用于二氢青蒿素酸的光催化氧化,制备青蒿素。这个锆基金属有机框架的转化率与游离[Ru(bpy)3]2+相似,但光催化剂可回收,且无需使用贵金属。
图9 合成PCN-808-BDBR
Fig.9 Synthesis of PCN-808-BDBR
姜蕊等[63]合成了胺改性的MOF-808(Zr)@NH2材料。作者发现胺基的引入不仅提供了碱性环境,而且显著提高了MOF-808(Zr)的催化活性,对有机磷的分解去除率达到了95%。路世博等[64]通过调控NU-912和NU-912-I的生长条件,合成了绣球花状的NU-912-HYD和NU-912-I-HYD。这两个锆基MOF在6 mol%的用量条件下表现出极高的催化性能。
Wang等[32]将N,N′-双咔唑基配体和卟啉基配体结合,组装了一个可以实现高效能量转移的锆基MOF(NPF-500-H2TCPP)。其中,咔唑基配体与锆簇连接形成flu-MOF,即NPF-500。在NPF-500的基础上,卟啉基配体结合在八面体空腔中的方形平面。这也是首次通过一锅法将两个对称性不同的四羧酸配体组装为混合配体的锆基MOF。在NPF-500-H2TCPP的结构中,咔唑基配体作为能量供体,卟啉基配体作为能量受体,可以产生高效的能量转移,该能量转移过程可以用于提高光催化效率。值得一提的是,NPF-500-H2TCPP可以用于硫代苯甲醚的光催化氧化,具有高转化率、可回收、重复性高的优点。
在UIO-66出现后,锆基MOF发展迅速。总览近年发表的工作可以发现,在锆基MOF的合成方法方面,有了更多的尝试。在功能设计方面,研究者们更倾向于通过结构修饰赋予Zr-MOF更强的功能表现。通过在已有的拓扑结构上引入多种功能基团,从而增强特定功能。SALI方法已经成为一种简单、实用的修饰方法。在应用方面,可以看到在锆基MOF的高稳定性基础上,发展出了各种功能,在气体储存、固定化酶、分子吸附、检测,以及催化等方面展现出优异的应用价值。
Zr-MOF展现出广阔的应用前景,但同时也面临挑战。通过延长羧酸臂的长度来扩大孔径,增加了Zr-MOF合成上的难度,需要通过多步合成路线来实现有机连接体的合成,且通过该方法可以实现的最大孔径尚不清楚。在客体吸附方面,锆基MOF凭借广泛的应用范围,对于多种分子具有较强的吸附能力,但缺少Zr-MOF对于客体吸附特异性的讨论。Zr-MOF在强碱、高温下的稳定性还有待讨论,开发具有超高稳定性的新型Zr-MOF是重要发展方向。此外,规模化生产是另一大挑战,目前大多数合成方法难以满足工业级产量需求,且成本较高。功能化修饰方面,目前难以精确控制官能团在框架中的位置和分布。难以实现多位点协同功能化的同时,保持材料的结构完整。
总之,锆基金属有机框架因其结构特点和卓越的性能,已成为MOF研究的重要方向。通过深入的结构设计和不断改进的合成方法,未来Zr-MOF有望在能源、环境、生物医药等关键领域发挥更重要作用,为众多领域提供创新材料和解决方案。
[1]Yaghi O M,Li G,Li H.Nature,1995,378:703-706.
[2]Cavka J H,Jakobsen S,Olsbye U,Guillou N,Lamberti C,Bordiga S,Lillerud K P.J.Am.Chem.Soc.,2008,130:13 850-13 851.
[3]Jia S,Lin P,Li Y,Teng Y,Wang J,Yang T,Li L,Wang C,Li X.Sep.Purif.Technol.,2024,333:125 850.
[4]Alvandi S,Hosseinifard M,Bababmoradi M.RSC Adv.,2024,14:8 990-9 002.
[5]Park K S,Ni Z,C
té A P,Yaghi O M.Proc.Natl.Acad.Sci.U.S.A.,2006,103:10 186-10 191.
[6]Shen L L,Yong C,Xu Y P,Wu P R,Zhang G R,Mei D H.ChemCatChem,2024,16:e202 301 379.
[7]Zhong G H,Liu D X,Zhang J Y.J.Mater.Chem.A,2018,6:1 887-1 899.
[8]Ning D,Liu Q,Wang Q,Du X M,Li Y,Ruan W J.Dalton Trans.,2019,48:5 705-5 712.
[9]Deria P,Mondloch J E,Tylianakis E,Ghosh P,Bury W,Snurr R Q,Hupp J T,Farha O K.J.Am.Chem.Soc.,2013,135:16 801-16 804.
[10]Verma P K,Huelsenbeck L,Nichols A W,Islamoglu T,Heinrich H,Machan C W,Giri G.Chem.Mater.,2020,32:10 556-10 565.
[11]Li Y Y,Yuan Z D.Chin.J.Chem.Educ.,2022,43:124-128.李鸯鸯,袁振东.化学教育,2022,43(10):124-129.
[12]Wang B,Lv X L,Feng D W,Xie L H,Zhang J,Li M,Xie Y B,Li J R,Zhou H C.J.Am.Chem.Soc.,2016,138:6 204-6 216.
[13]Qin J S,Yuan S,Alsalme A,Zhou H C.ACS Appl.Mater.Interfaces,2017,9:33 408-33 412.
[14]Zhou D S,Zhang X,Li Z,Zhang J,Wang T L,Cao S W.Appl.Catal.B-Environ.,2024,344:123 639-123 648.
[15]Ceballos M,Funes-hernando S,Zampini G,Cedrún-morales M,Vila-fungueiri
o J M,Pelaz B,Pino P.Small Struct.,2024,5(5):2 300 464.
[16]Wang B,Yang Q,Gun C,Sun Y X,Xie L H,Li J R.ACS Appl.Mater.Interfaces,2017,9:10 286-10 295.
[17]Chen Y W,Zhang X,Mian M R,Son F A,Zhang K,Cao R,Chen Z J,Lee S J,Idrees K B,Goetjen T A,Lyu J F,Li P,Xia Q B,Li Z,Hupp J T,Islamoglu T,Napolitano A,Peterson G W,Farha O K.J.Am.Chem.Soc.,2020,142:21 428-21 438.
[18]Pang J D,Yuan S,Qin J S,Liu C P,Lollar C,Wu M Y,Yuan D Q,Hong M C.J.Am.Chem.Soc.,2017,139:16 939-16 945.
[19]Xia H L,Zhou K,Yu L,Wang H,Liu X Y,Proserpio D M,Li J.Inorg.Chem.,2022,61:7 980-7 988.
[20]Wißmann G,Schaate A,Lilienthal S,Bremer I,Schneider A M,Behrens P.Micropor.Mesopor.Mat.,2012,152:64-70.
[21]Xia H L,Zhang J,Si J C,Wang H X,Zhou K,Wang L,Li J B,Sun W,Qu L L,Li J,Liu X Y.Angew.Chem.Int.Ed.,2023,62:e202 308 506.
[22]Fang P H,Qu L L,Ma Z S,Han C Q,Li Z D,Wang L,Zhou K,Li J B,Liu X Y.Angew.Chem.Int.Ed.,2025,64:e202 414 026.
[23]Taddei M,Steitz D A,Bokhoven J A,Ranocchiari M.Chem.Eur.J.,2016,22:3 245-3 249.
[24]Vakili R,Xu S J,Al-janabi N,Gorgojo P,Holmes S M,Fan X L.Micropor.Mesopor.Mater.,2018,260:45-53.
[25]Huang A,Wan L,Caro J.Mater.Res.Bull.,2018,98:308-313.
[26]Klimakow M,Klobes P,Thünemann A F,Rademann K,Emmerling F.Chem.Mater.,2010,22:5 216-5 221.
[27]Huang Y H,Lo W S,Kuo Y W,Chen W J,Lin C H,Shieh F K.Chem.Commun.,2017,53:5 818-5 821.
[28]Karadeniz B,Howarth A J,Stolar T,Islamoglu T,Dejanovi
I,Tireli M,Wasson M C,Moon S Y,Farha O K,Fri
i
T,U
arevi
K.ACS Sustainable Chem.Eng.,2018,6:15 841-15 849.
[29]Noh H,Kung C W,Islamoglu T,Peters W A,Liao Y J,Li P,Garibay S J,Zhang X,Destefano R M,Hupp T J,Farha O K.Chem.Mater.,2018,30:2 193-2 197.
[30]Dai S,Nouar F,Zhang S J,Tissot A,Serre C.Angew.Chem.Int.Ed.,2021,60:4 282-4 288.
[31]Islamoglu T,Otake K,Li P,Buru C T,Peters A W,Akpinar I,Garibay S J,Farha O K.CrystEngComm,2018,20:5 913.
[32]Wang T C,Vermeulen N A,Kim I S,Martinson A B F,Stoddart J F,Hupp J T,Farha O K.Nat.Protoc.,2016,11:149-162.
[33]Li P,Chen Q S,Wang T C,Vermeulen N A,Mehdi B L,Dohnalkova A,Browning N D,Shen D K,Anderson R,Gómez-gualdrón D A,Cetin F M,Jagiello J,Asiri A M,Stoddart J F,Farha O K.Chem,2018,4:1 022-1 034.
[34]Wang Z J,Wu Y T,Zhang Z G,Sheng X R,Fang S,Liu Y,Gong Y D,Wang M B,Song N,Huang F H.J.Am.Chem.Soc.,2024,146:23 330-23 337.
[35]Mondloch J E,Bury W,Fairen-jimenez D,Kwon S,Marco E J,Weston M H,Sarjeant A A,Nguyen S B T,Stair P C,Snurr R Q,Farha O K,Hupp J T.J.Am.Chem.Soc.,2013,135:10 294-10 297.
[36]Deria P,Mondloch J E,Tylianakis E,Ghosh P,Bury W,Snurr R Q,Hupp J T,Farha O K.J.Am.Chem.Soc.,2013,135:16 801-16 804.
[37]L
zaro I A,Wells C J R,Forgan R S.Angew.Chem.Int.Ed.,2020,132:5 249-5 255.
[38]Ren D M,Xia H L,Zhou K,Wu S J,Liu X Y,Wang X T,Li J.Angew.Chem.Int.Ed.,2021,60:25048-25054.
[39]Pang J D,Di Z Y,Qin J S,Yuan S,Lollar C T,Li J L,Zhang P,Wu M Y,Yuan D Q,Hong M C,Zhou H C.J.Am.Chem.Soc.,2020,142:15 020-15 026.
[40]Chen Y J,Li P,Modica J A,Drout R J,Farha O K.J.Am.Chem.Soc.,2018,140:5 678-5 681.
[41]Chen Y J,Jimenez-angeles F,Qiao B F,Krzyaniak M D,Sha F R,Kato S,Gong X Y,Buru C T,Chen Z J,Zhang X,Gianneschi N C,Wasielewski M R,Olvera C M,Farha O K.J.Am.Chem.Soc.,2020,142:18 576-18 582.
[42]Sha F R,Xie H M,Son F A,Kim K S,Gong W,Su S Y,Ma K K,Wang X L,Wang X J,Farha O K.J.Am.Chem.Soc.,2023,145:16 383-16 390.
[43]Inokuma Y,Yoshioka S,Ariyoshi J,Arai T,Hitora Y,Takada K,Matsunaga S,Rissanen K,Fujita M.Nature,2013,495:461-466.
[44]Huang W P,Liu J C,Wang F,Xu W,Tao Z M,Middleton D A,Liu C D,Qin S Q,Ye W C,Jiang R W.Inorg.Chem.Front.,2025,12:3 531-3 544.
[45]Zou J J,Wei G H,Xiong C X,Yu Y H,Li S H,Hu L F,Ma S Q,Tian J.Sci.Adv.,2022,8:eabm4 677.
[46]L
zaro I,L
zaro S,Forgan R S.Chem.Commun.,2018,54:2 792-2 795.
[47]Li Z,Zhao S J,Wang H Z,Peng Y,Tan Z J,Tang B.Colloids Surf.B,2019,178:1-7.
[48]Cornell H D,Sose A T,Ilic S,Chinnabattigalla S,Lidman N E,Oldmixon C M,Yang X Z,Deshmukh S A,Morris A J.J.Am.Chem.Soc.,2025,147:7 423-7 432.
[49]Chen Y,Zhao J,Zhang J H,Li J,Du P Y,Lu X Q.Chin.J.Anal.Chem.,2021,49:642-651.陈阳,赵杰,张嘉惠,李静,杜佩瑶,卢小泉.分析化学,2021,49(4):642-651.
[50]Liu H,Li B R,Zhao Y Y,Kong C L,Zhou C,Lin Y C,Tian Z Q,Chen L.Chem.Commun.,2021,57:13 008-13 011.
[51]Zhu S Y,Yan B.Dalton Trans.,2018,47:1 674-1 681.
[52]Wang Z,Yang J,Li Y S,Zhuang Q X,Gu J L.Dalton Trans.,2018,47:5 570-5 574.
[53]Sun X D,Li X,Yao S,Krishna R,Gu J M,Li G H,Liu Y L.J.Mater.Chem.A,2020,8:17 106-17 112.
[54]Andrade P H M,Moreau M,Henry N,Bakouche M T,Duval S,Volkringer C,Loiseau T,Hureau M,Moissette A.J.Phys.Chem.C,2023,127:4 618-4 635.
[55]Liang R R,Xu S Q,Han Z S,Yang Y H,Wang K Y,Huang Z H,Rushlow J R,Cai P Y,Samorì P,Zhou H C.J.Am.Chem.Soc.,2024,146:9 811-9 818.
[56]Wang D D,Hu X,Zhao Y F,Song Y X.J.Donghua Univ.(Nat.Sci.),2024,50:24-30.王东东,胡旭,赵亚峰,宋燕西.东华大学学报(自然科学版),2024,50(2):24-30.
[57]Wang S J,Wahiduzzaman M,Davis L,Tissot A,Shepard W,Marrot J,Martineau-corcos C,Hamdane D,Maurin G,Devautour-vinot S,Serre C.Nat.Commun.,2018,9:4 937.
[58]Si T T,Zhao W,Wang H,Zhang H Y,Liu X Y,Rong R,Feng J J.J.Instrum.Anal.,2025,44(1):188-194.司甜甜,赵薇,王慧,张红玉,刘小烨,容蓉,冯娟娟.分析测试学报,2025,44(1):188-194.
[59]Lim J,Lee S,Ha H,Seong J,Jeong S,Kim M,Baek S B,Lah M S.Angew.Chem.Int.Ed.,2021,60:9 296-9 301.
[60]Cui Y,Sun G F,Ren S Y,Jiang X,Wang Y,Tan F.Chin.J.Environ.Sci.Technol.,2019,42:103-108.崔颖,孙国峰,任苏瑜,姜晓,王艺,谭峰.环境科学与技术,2019,42(3):103-108.
[61]Gan Q Y.Co-Crystals of 2,2′-Biphenyldicarboxylic Acid and The Alkaloids of Fibraurea Recisa and Synthesis and Application of Aromatic Dicarboxylic Acids and Zirconium-Based Metal Organic Polyhedrons.Guangzhou:Jinan University,2022.甘倩莹.2,2′-联苯二甲酸与黄藤生物碱的共晶及芳香二羧酸与锆基金属有机多面体的合成与应用.广州:暨南大学,2022.
[62]Huang W P.Design and Synthesis of Zirconium-Based Metal-Organic Materials and The Applications for Guest Adsorption.Guangzhou:Jinan University,2024.黄伟平.锆金属有机材料设计与合成及对客体分子的吸附作用.广州:暨南大学,2024.
[63]Jiang R,Huang X G,Tian Y Q,Zou Y B.Environ.Chem.,2025,44(8):1-11.姜蕊,黄旭光,田永强,邹毅彬.环境化学,2025,44(8):1-11.
[64]Lu S B,Hou W J,Li S W,Zhang J J,Wu J.Environ.Chem.,2025,44(7):1-11.路世博,侯文杰,李淑文,张晶晶,武杰.环境化学,2025,44(7):1-9.