醋糟乳酸菌的筛选、鉴定及其益生特性研究

聂阿真1, 倪子富1, 冯先阳1, 蔡萌萌1, 王欢1, 孙忠科1, 李成伟1,2

【作者机构】 1河南工业大学生物工程学院; 2河南农业大学生命科学学院
【分 类 号】 S816.7
【基    金】 河南省重大科技专项(231100110300) 河南省研究生教育改革与实践项目(2023SJGLX007Y)
全文 文内图表 参考文献 出版信息
醋糟乳酸菌的筛选、鉴定及其益生特性研究

醋糟乳酸菌的筛选、鉴定及其益生特性研究

聂阿真1,倪子富1,冯先阳1,蔡萌萌1,王欢1,孙忠科1,李成伟1,2

(1.河南工业大学生物工程学院,河南 郑州 450001;2.河南农业大学生命科学学院,河南 郑州 450046)

摘要: 【目的】从醋糟中筛选具有耐酸和耐胆盐特性,并能够抑制致病菌生长并具备抗氧化活性的乳酸菌菌株,为益生菌资源的开发及其在食品、饲料等领域的应用提供依据。【方法】采用平板划线法从醋糟中分离乳酸菌菌株,根据耐酸(pH值2.5)和耐胆盐(质量分数0.3%)特性,初步筛选后进行16S rRNA基因鉴定。评估菌株的抑菌活性并分析抑菌成分,测定其自聚集和共聚集能力。通过抗生素敏感性、溶血性和生物胺产生试验评估菌株安全性。采用1,1-二苯基-2-苦基肼(1,1-Diphenyl-2-picrylhydrazyl,DPPH)、2,2-联氮-二(3-乙基-苯并噻唑-6-磺酸)二铵盐(2,2′-azino-bis(3-ethylbenzothiazoline-6-sulfonic acid)diammonium salt,ABTS)、羟自由基和超氧阴离子清除法测定筛选菌株的抗氧化能力。【结果】从醋糟中分离得到36株具有溶钙圈的菌株,其中,19株为革兰氏阳性菌,经过耐酸和耐胆盐筛选,N3、N9和N16菌株表现出较强耐受性。经分子生物学鉴定,N3为乳酸片球菌(Pediococcus acidilactici),N9为植物乳杆菌(Lactiplantibacillus plantarum),N16为内氏液体乳杆菌(Liquorilactobacillus nagelii)。对这3株菌株的生物学特性和安全性评价发现,N16对万古霉素、利福平、头孢曲松、阿莫西林、氯霉素、环丙沙星和四环素均表现出耐药性,并能够利用精氨酸产生生物胺,对宿主健康构成潜在风险。N3、N9菌株对金黄色葡萄球菌(Staphyloccocus aureus)、鼠伤寒沙门氏菌(Salmonella typhimurium)、大肠杆菌(Escherichia coli)表现出显著的抑菌效果,经验证起抑菌作用的主要为发酵液中的有机酸。此外,N3、N9菌株还表现出优异的自聚集、共聚集能力和疏水性,对氨苄西林、氯霉素、头孢曲松、庆大霉素、克林霉素、阿莫西林、利福平、四环素均敏感或中度敏感,没有溶血性,不产生对宿主有害的生物胺。在抗氧化能力方面,N3和N9菌株能有效清除DPPH自由基、ABTS自由基、羟自由基和超氧阴离子。【结论】N3和N9菌株具有优良的生物学特性、安全性及抗氧化能力,作为益生菌在动物饲料添加剂和人类膳食补充剂等方面具有较大应用潜力。

关键词:醋糟;乳酸菌;益生菌;生物学特性;生物安全性;抗氧化

抗生素作为饲料添加剂可显著缩短病原感染时间,降低疾病发病率与死亡率,但其过度使用也对人类健康和食品安全带来严重挑战,例如破坏肠道微生物菌群,诱发多种疾病,如腹泻、过敏和炎症性肠道疾病等[1-2]。人类和家畜的抗生素过度使用是耐药性微生物出现和传播的主要原因[3]。为应对这一问题,国际上普遍颁布并实施了禁止使用抗生素用于促进生长等相关法令[4]。自2020年7月1日起,中国饲料生产企业也被要求停止生产含有促生长类药物的饲料添加剂(不包括中药类)[5]。因此,寻找能够有效控制病原体并改善肠道健康的抗生素替代品已成为畜牧业可持续发展的迫切需求。

乳酸菌是一类能够将碳水化合物转化为乳酸的细菌,部分乳酸菌具有益生作用,即适量摄入能够对宿主产生积极的健康效应,尤其在维持和调节肠道微生物平衡方面发挥着重要作用[6]。具有益生作用的乳酸菌不仅能够抑制病原菌的入侵与定植[7],有效维持肠道内有益菌与有害菌之间的平衡[8],还具备促进肠道蠕动、降低胆固醇水平、增强机体免疫力等多重生理作用。研究表明,从韩国传统发酵大豆食品荞麦粥中分离得到的植物乳杆菌(Lactobacillus plantarum)JSA22,能够通过抑制白细胞介素8的表达及鼠伤寒沙门氏菌(Salmonella typhimurium)诱 导 的 核 因 子κB(nuclear factor kappa-B,NF-κB)信号通路的活化,降低蛋白激酶B和p38丝裂原活化蛋白激酶的磷酸化水平,从而显著缓解沙门氏菌引起的宿主肠上皮细胞炎症反应[9]。此外,清酒乳杆菌(Lactobacillus sakei)K040706通过激活Toll样受体2介导的NF-κB和丝裂原活化蛋白激酶信号通路,促进免疫因子如一氧化氮、肿瘤坏死因子α 和白细胞介素6的产生,增强巨噬细胞的吞噬能力,提高其免疫功能[10]。植物乳杆菌P-8通过干扰脂肪吸收和消除胆汁酸,改善高脂血症大鼠的脂质代谢[11]。上述研究结果表明,具有益生作用的乳酸菌不仅能够调节宿主的免疫反应,还能够积极调控脂质代谢,在推动可持续农业和健康养殖的发展方面展现出巨大潜力。乳酸菌的耐酸性、耐胆盐性、生物学特性(抑菌活性、自聚集、共聚集、疏水性)、安全性(抗生素敏感性、溶血性、生物胺生成)及抗氧化特性,是乳酸菌在肠道中有效发挥益生作用的关键。耐酸性和耐胆盐性直接关系到乳酸菌到达胃肠道中的数量和其生存率,是其发挥益生作用的前提。抑菌活性是乳酸菌发挥益生作用的关键,反映了乳酸菌对病原菌的抑制能力,有助于维持肠道微生态平衡和抑制病原菌感染。自聚集能力是乳酸菌黏附于胃肠道黏膜的重要特征,同时也是生物膜形成的关键条件之一。乳酸菌与病原菌的共聚集能够产生抗菌化合物,进而抑制病原菌生长,防止病原菌入侵和在肠道中定植,为宿主建立抵御病原体感染的屏障[12]。疏水性反映了乳酸菌与宿主细胞之间的非特异性相互作用,更高的疏水性通常表明乳酸菌能够更有效地与肠道黏膜表面结合,提高其在肠道中的定植能力[13]。此外,只有在其安全性得到充分验证的情况下,乳酸菌才能被广泛应用到动物饲料或人类食品中。同时,乳酸菌的抗氧化能力能够有效缓解氧化应激,降低由氧化应激引发的肠道炎症和疾病风险,保障肠道健康,从而更有效发挥其益生作用[14]

中国食醋是一种广受欢迎的传统调味品,不仅丰富了食品风味,还在其发酵过程中产生多种生物活性物质。醋糟是制醋过程中产生的副产品,来源广泛、成本低廉,富含多种微生物菌群。这些菌群经过适当处理后,可以直接或间接添加到动物饲料中,不仅为畜牧业提供额外的营养价值,还能带来可观的经济效益[15]。目前,针对来源于醋糟的乳酸菌的研究仍较为有限,对其益生作用的探索尚不充分。本研究从醋糟中分离筛选耐酸及耐胆盐的乳酸菌(以下简称醋糟乳酸菌),并对其益生特性包括生物学特性、安全性及抗氧化特性进行全面评估,以期为其在动物饲料添加剂及人类膳食补充剂中的潜在应用提供科学依据。

1 材料与方法

1.1 菌株与主要试剂

大肠杆菌(Escherichia coli,ATCC 25922)、鼠伤寒 沙 门 氏 菌(Salmonella typhimurium,ATCC 14028)、金 黄色葡萄球菌(Staphyloccocus aureus,ATCC 6538)致病菌来自河南工业大学主粮作物品质干预及生物反应器开发团队实验室。抗生素药敏纸片包括克林霉素(clindamycin,CC)、万古霉素(vancomycin,VAN)、氨苄西林(ampicillin,AMP)、利 福 平(rifampin,RA)、头 孢 曲 松(ceftriaxone,CTR)、阿莫西林(amoxicillin,AMX)、氯霉素(chloramphenicol,C)、庆大霉素(gentamicin,GM)、环丙沙星(ciprofloxacin,CIP)、四环素(tetracycline,TET),均购自常德比克曼生物科技有限公司。醋糟采集于安阳某老陈醋酿造厂,主要由稻壳、麸皮类填充物及酿醋过程中产生的原料残渣组成。MRS培养基购自青岛海博生物技术有限公司。1,1-二苯基-2-苦基肼(1,1-Diphenyl-2-picrylhydrazyl,DPPH)、2,2-联氮-二(3-乙基-苯并噻唑-6-磺酸)二铵盐(2,2′-azino-bis(3-ethylbenzothiazoline-6-sulfonic acid)diammonium salt,ABTS)、超氧阴离子自由基清除试剂盒(Cat#BC1410)、细菌基因组DNA提取试剂盒(Cat#D1600)、胃蛋白酶、牛胆盐、胰蛋白酶、过氧化氢酶,均购自北京索莱宝科技有限公司。过硫酸钾购自上海麦克林生化科技股份有限公司。硫酸亚铁购自天津市恒兴化学试剂制造有限公司。1,10-菲啰啉购自北京酷来搏科技有限公司。

1.2 醋糟乳酸菌的分离及筛选

将5 g醋糟样品加入45 mL磷酸缓冲盐溶液(phosphate buffered saline,PBS)(0.01 mol·L-1,pH值7.2)中,采用10倍梯度稀释法稀释滤液,取100 μL 10-4、10-5、10-6梯 度 涂 布 于 质 量 分 数 为1.5%CaCO3的MRS固体平板,37 ℃培养24 h。挑取出现溶钙圈的单菌落,进行多次划线纯化,直至菌落形态一致。经革兰氏染色筛选阳性菌株,接种于5 mL MRS肉汤中,培养后转入体积分数为40%的甘油管中,-80 ℃保存。

将100 μL在37 ℃培养24 h的菌株分别接种至5 mL pH值2.5的MRS肉汤和质量分数为0.3%胆盐的MRS肉汤中,静置培养8 h后,取100 μL涂布于MRS固体平板,37 ℃倒置培养24 h,测定活菌数并计算存活率。

1.3 醋糟乳酸菌的鉴定

形态学鉴定:使用光学显微镜(EX30,宁波舜宇仪器有限公司)在100倍油镜下观察筛选菌株的形态、大小。分子生物学鉴定:利用细菌基因组DNA提取试剂盒提取并筛选菌株DNA,以菌株DNA作为模板,采 用27F(5′-A GAGTTTGATCCTGGCTCAG-3′)和1492R(5′-GGTTACCTTGTTACGACTT-3′)为引物进行PCR扩增,PCR产物经琼脂糖凝胶电泳验证正确后送至通用生物技术有限公司进行测序。测序结果与NCBI GeneBank数据库中的已知序列进行BLAST比对,利用MEGA11软件构建系统发育进化树并分析同源性关系。

1.4 醋糟乳酸菌的益生特性研究

1.4.1 醋糟乳酸菌的生物学特性 抑菌活性及抑菌成分试验:以鼠伤寒沙门氏菌、大肠杆菌、金黄色葡萄球菌为指示菌株,参照AFRIN等[16]的方法评价筛选乳酸菌的抑菌活性。抑菌成分分析参考HUANG等[17]的方法并略有改动。有机酸排除试验:用2 mol·L-1 NaOH溶液将乳酸菌上清液pH值调至6.5,取200 μL上清液加入含有指示菌株的孔中,37 ℃培养24 h,测量抑菌圈直径。酶敏感试验:取200 μL pH值调至6.5的上清液,分别加入胃蛋白酶、蛋白酶K和过氧化氢酶,使其终质量浓度为2 g·L-1。37 ℃孵育2 h后再调至初始pH值,取200 μL处理后的上清液加入含有指示菌株的孔中,37 ℃培养24 h,测量抑菌圈直径。

自聚集能力试验:菌株在MRS肉汤中37 ℃孵育24 h后,8 000 r·min-1离 心10 min(TGL-16型 离心机,山东百欧医疗科技有限公司),弃上清液,沉淀用PBS缓冲液洗涤3次并重悬至OD600值为0.8。样品在28 ℃孵育0、3、6、9、12 h,测定上清液在600 nm处的吸光度值(VIS-7220N紫外分光光度计,北京北分瑞利分析仪器(集团)有限责任公司)。菌株自聚集率计算参照FADARE等[18]的方法。

共聚集能力试验:以鼠伤寒沙门氏菌、大肠杆菌、金黄色葡萄球菌为指示菌株,将V(分离菌株)∶V(指示菌株)=1∶1混合,涡旋1 min,在28 ℃孵育0、3、6、9、12 h,测定上清液在600 nm处吸光度。菌株共聚集率计算参照FADARE等[18]的方法。

疏水性试验:通过测定筛选乳酸菌对不同烃类(三氯甲烷、乙酸乙酯、正己烷)的黏附性评估其疏水性。将2 mL菌株悬浮液与1 mL烃类溶剂混合,180 r·min-1振 荡10 min,28 ℃静 置2 h,在600 nm处测定水相溶液的吸光度值,菌株疏水性计算参照FADARE等[18]的方法。

1.4.2 醋糟乳酸菌的安全性 溶血性试验:将20 μL活化培养后的筛选乳酸菌滴入血琼脂平板(质量分数5%脱纤维羊血)上,于37 ℃培养箱中培养24 h,观察菌落周围是否有溶血环。使用MRS肉汤作为阴性对照,金黄色葡萄球菌作为阳性对照。

抗生素敏感性试验:根据美国临床和实验室标准化协会(Clinical and Laboratory Standards Institute,CLSI)2017执行标准[19],采用纸片扩散法测定筛选乳酸菌对10种抗生素(CC、VAN、AMP、RA、CTR、AMX、C、GM、CIP、TET)的敏感性。将100 μL活化培养24 h的筛选乳酸菌均匀涂布于MRS固体平板上,静置10 min至菌液吸收后,等距离放置药敏试纸,于37 ℃培养24 h,测量透明圈直径。

生物胺产生试验:参照BARZEGAR等[20]的方法,测定乳酸菌通过氨基酸脱羧产生生物胺的能力。将纯化的菌株接种于含质量分数0.005%磷酸吡哆醛、质量分数0.006%溴甲酚紫、质量分数0.100%前体氨基酸(L-组氨酸、L-赖氨酸、L-蛋氨酸、L-精氨酸)的MRS液体培养基中,37 ℃孵育2 d,培养基变紫即为阳性。以金黄色葡萄球菌为阳性对照,无前体氨基酸的上述培养基为阴性对照。

1.4.3 醋糟乳酸菌抗氧化能力 样品制备:将活化后的筛选乳酸菌接种至MRS肉汤中,于37 ℃培养24 h,取10 mL菌液以12 000 r·min-1离心5 min,通过过滤获得无细胞培养上清液(cell-free supernatant,CFS)。离心后的菌体用PBS洗涤3次并重悬至OD600值为0.8,取1 mL菌体悬液,使用非接触超声波破碎仪(XM08-Ⅱ,小美超声仪器(昆山)有限公司)进行细胞破碎处理,再次离心过滤,获得无细胞裂解液(cell-free lysate,CFL)。

DPPH自由基清除试验:分别将200 μL筛选乳酸菌的CFS和CFL与800 μL DPPH乙醇溶液(0.2 mmol·L-1)混合,涡旋混匀30 s,25 ℃下避光反应30 min,10 000 r·min-1离心2 min,上清液于515 nm下测定吸光度值。空白组用PBS缓冲液代替样品,样品对照组用无水乙醇代替DPPH乙醇溶液,25 mg·L-1抗坏血酸做阳性对照。DPPH自由基清除率的计算参照WU等[21]的方法。

ABTS自 由 基 清 除 试 验:将V(7.0 mmol·L-1 ABTS乙醇溶液)∶V(2.45 mmol·L-1过硫酸钾水溶液)=1∶1混匀,25 ℃避光放置16 h,用蒸馏水稀释使混合液在734 nm处的吸光度值为0.8,得到ABTS工作液。分别取100 μL筛选乳酸菌的CFS和CFL与900 μL ABTS工作液充分混合,避光反应5 min,用酶标仪(SPARK,Tecan Austria GmbH)测定反应液在734 nm处的吸光度值。空白组用蒸馏水代替样品溶液,样品对照组用无水乙醇代替ABTS工 作 液,25 mg·L-1抗 坏血酸做阳性 对 照。ABTS自由基清除率的计算参照WU等[21]的方法。

羟自由基清除试验:取0.15 mL体积分数为0.15% 的H2O2于1.5 mL离心管中,加入0.15 mL FeSO4(2.5 mmol·L-1)和0.3 mL PBS缓冲液,充分混匀后,分别加入0.15 mL筛选乳酸菌的CFS与CFL,以及0.15 mL 1,10-菲啰啉溶液(2.5 mmol·L-1)。混合均匀后,将反应体系置于37 ℃金属浴准确反应60 min,10 000 r·min-1离心10 min,536 nm处测定其上清液的吸光度值。空白组用蒸馏水代替样品溶液和1,10-菲啰啉溶液,对照组用蒸馏水代替样品溶液,25 mg·L-1抗坏血酸做阳性对照。羟自由基清除率的计算参照WU等[21]的方法。

超氧阴离子自由基清除试验:使用超氧阴离子清除能力检测试剂盒,测定筛选乳酸菌的CFS和CFL的超氧阴离子自由基清除活性,以25 mg·L-1抗坏血酸为阳性对照。

1.5 数据处理

数据为3次重复试验的平均值;使用SPSS 27.0软件对数据进行统计分析,p<0.05表示在统计学意义上显著差异;采用Origin 2021软件进行绘图。

2 结果与分析

2.1 醋糟乳酸菌分离及耐酸和耐胆盐特性筛选

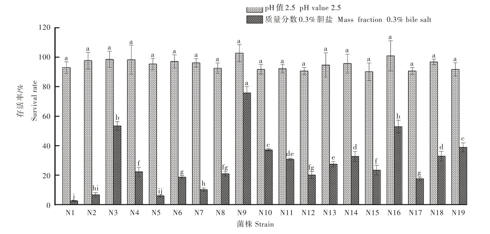
从醋糟样品中共分离出36株具有溶钙圈特征的菌落。其中,19株为革兰氏阳性菌,编号为N1~N19,经初步筛选判断为乳酸菌。如图1所示,19株菌株在pH值2.5条件下培养8 h均表现出较高的耐受性,存活率均在90%以上,其中,N9、N16的存活率接近100%。而在胆盐胁迫条件下,各菌株的耐受性表现出明显差异,其中,N3、N9、N16的存活率超过50%,分别为53.43%、75.78%、52.91%,表现出较强的胆盐耐受能力;N1、N2、N5、N7和N17表现出较低的胆盐耐受性,存活率均不超过20%;其余菌株表现出中等水平的胆盐耐受性,存活率在20%~40%。基于上述结果,选择N3、N9和N16进行下一步验证。

图1 醋糟乳酸菌耐酸及耐胆盐特性筛选结果
Fig.1 Screening results of acid and bile salt tolerance of lactic acid bacteria from vinegar lees

不同的小写字母表示在同一处理组内菌株之间在统计学意义上差异显著(p<0.05)。
Different letters indicate significant differences in statics between strains within the same treatment (p<0.05).

2.2 醋糟乳酸菌形态学和分子生物学鉴定

如 图2所示,N3、N9和N16的菌落均 呈 圆 形、乳白色、表面干燥且边缘整齐。然而,经显微镜观察,这3株菌株在形态上存在差异。N3呈球状,N9呈长杆状,N16呈短小细杆状。另外,它们均以单个或成对的形式排列。

图2 醋糟乳酸菌的菌落形态及镜检结果(100倍)
Fig.2 Colony morphology and microscopic examination (100×)of lactic acid bacteria from vinegar lees

通过16S rRNA基因扩增序列,在NCBI Gen-Bank数据库中对N3、N9、N16菌株进行了同源性比对。如图3所示,N3菌株与乳酸片球菌Pediococcus acidilactici DSM 20284的同源性最高,达到99.45%;N9菌株与植物乳杆菌Lactiplantibacillus plantarum JCM 1149的同源性最高,达到99.93%;N16菌株与内氏液体乳杆菌Liquorilactobacillus nagelii JCM 12492的同源性最高,达到99.65%。经鉴定,N3、N9和N16菌株均为乳酸菌。

图3 醋糟乳酸菌的16S rRNA系统发育树
Fig.3 16S rRNA-based phylogenetic tree of lactic acid bacteria from vinegar lees

2.3 醋糟乳酸菌的生物学特性评价

2.3.1 醋糟乳酸菌的抑菌活性及抑菌成分分析从表1中可以看出,3种筛选乳酸菌对沙门氏菌、金黄色葡萄球菌、大肠杆菌均有抑制作用,其中,对沙门氏菌、大肠杆菌抑制作用最强的为N9,抑菌圈直 径 分 别 为(20.47±0.35)和(22.33±0.76)mm。对金黄色葡萄球菌抑制作用最强的为N16,抑菌圈直径为(17.90±0.70)mm。将3种菌株的CFS的pH值调至6.5时,与发酵原液相比,其对3种病原菌的抑制作用显著降低(p<0.05)。然而,经过胃蛋白酶、蛋白酶K和过氧化氢酶处理后,抑制作用的下降程度显著低于pH调至6.5时的变化(p<0.05)。这表明3种醋糟乳酸菌对指示菌株的抑制成分主要为有机酸。

表1 醋糟乳酸菌对指示菌株的抑制效果
Table 1 The inhibitory effect of lactic acid bacteria from vinegar lees on indicator bacteria mm

注:同行不同小写字母表示存在显著差异(p<0.05)。下同。
Note:Different lowercase letters in same row means significant differences(p<0.05).The same as below.

菌株Strain指示菌株Indicator bacteria抑菌圈直径 Inhibition zone diameter N3 N9 N16过氧化氢酶Catalase 17.30±0.26 a 16.67±0.40 a 15.73±0.31 b 22.23±0.59 a 19.83±0.50 a 14.80±0.36 b 16.47±0.21 b 19.9±0.36 a 17.23±0.67 ab大肠杆菌鼠伤寒沙门氏菌金黄色葡萄球菌大肠杆菌鼠伤寒沙门氏菌金黄色葡萄球菌大肠杆菌鼠伤寒沙门氏菌金黄色葡萄球菌发酵原液Fermentation broth 17.60±0.36 a 16.87±0.42 a 16.40±0.46 a 22.33±0.76 a 20.47±0.35 a 15.40±0.46 a 16.97±0.50 a 20.43±0.35 a 17.90±0.70 a pH 值6.5 pH value 6.5 9.43±0.25 c 8.80±0.26 b 9.13±0.25 c 8.89±0.32 c 9.63±0.55 c 8.70±0.26 c 8.57±0.12 c 9.27±0.25 c 0.87±0.50 c胃蛋白酶Pepsin 17.10±0.26 a 16.63±0.38 a 16.10±0.44 ab 21.73±0.35 ab 19.43±0.55 ab 15.13±0.25 ab 16.40±0.26 b 19.3±0.36 b 16.60±0.46 b蛋白酶K Proteinase K 16.4±0.36 b 16.53±0.35 a 15.77±0.21 b 21.33±0.55 b 18.83±0.61 b 14.80±0.20 b 16.00±0.20 b 19.2±0.36 b 16.37±0.40 b

2.3.2 醋糟乳酸菌的自聚集、共聚集能力和疏水性 如 图4所 示,在孵育12 h时,N3、N9和N16的自聚集率分别为81.06%、92.66%、75.55%。如表2所 示,在孵 育12 h时,N3、N9和N16与大 肠 杆 菌的共聚集率分别为51.85%、75.82%、52.63%,与沙门氏菌的共聚集率分别为42.75%、74.34%、52.24%,与金黄色葡萄球菌的共聚集率分别为60.21%、60.63%、31.19%。同时,3种筛选乳酸菌的自聚集能力和与3种致病菌的共聚集能力都随孵育时间逐渐增加。这表明3种筛选乳酸菌均具备较强的自聚集能力和与致病菌的共聚集能力。

表2 醋糟乳酸菌与指示菌株的共聚集效果
Table 2 Co-aggregation effect of lactic acid bacteria from vinegar lees with indicator bacteria %

菌株Strain N3共聚集率Coaggregation rate 指示菌株Indicator bacteria大肠杆菌鼠伤寒沙门氏菌金黄色葡萄球菌大肠杆菌鼠伤寒沙门氏菌金黄色葡萄球菌大肠杆菌鼠伤寒沙门氏菌金黄色葡萄球菌N9 N16 3 h 19.66±2.40 d 15.17±1.45 d 19.61±2.38 d 55.71±1.42 c 54.83±1.96 c 18.59±1.24 d 30.35±1.17 c 22.64±0.62 c 13.93±1.07 d 6 h 25.04±3.30 c 27.32±2.22 c 30.36±3.03 c 68.89±1.15 b 68.82±1.33 b 36.52±2.73 c 46.75±1.46 b 45.56±2.09 b 21.83±1.51 c 9 h 36.52±1.52 b 36.57±1.34 b 37.58±1.80 b 69.58±1.61 b 72.28±0.54 a 41.08±1.70 b 48.74±1.15 b 50.62±1.14 a 26.53±1.12 b 12 h 51.85±2.93 a 42.75±0.95 a 60.21±1.51 a 75.82±1.06 a 74.34±0.35 a 60.63±2.92 a 52.63±1.60 a 52.24±1.41 a 31.19±1.34 a

图4 醋糟乳酸菌与指示菌株自聚集效果
Fig.4 Self-aggregation ability of lactic acid bacteria from vinegar lees

如图5所示,不同菌株对烃类化合物表现出不同程度的疏水性。菌株N3、N9和N16对三氯甲烷的疏水性分别为40.21%、71.18%和46.64%;对乙酸乙酯的疏水性分别为48.71%、75.42% 和65.72%;对正己烷的疏水性分别为64.58%、80.75%和59.49%。上述结果表明,3种菌株对三氯甲烷、乙酸乙酯和正己烷的疏水性均超过40%,表现出较好的疏水性,该特性有助于菌株在生物膜的形成、细胞间聚集及与其他物质的相互作用中发挥作用。

图5 醋糟乳酸菌对不同溶剂疏水性效果
Fig.5 Hydrophobicity of lactic acid bacteria from vinegar lees to different solvents

2.4 醋糟乳酸菌的生物安全性评价

如表3所示,N3、N9对环丙沙星和万古霉素均表现出耐药性,未观察到生长抑制区。N3对克林霉素、氨苄西林、利福平、阿莫西林和氯霉素表现出敏感性,抑菌圈直径分别为25.7、20.3、23.2、20.8、22.4 mm;对头孢曲松、庆大霉素和四环素表现出中度敏感,抑菌圈直径分别为15.2、14.2、16.6 mm。N9对克林霉素、氨苄西林、利福平、阿莫西林、氯霉素和四环素均表现出敏感性,抑菌圈直径分别为19.4、33.1、21.5、29.1、26.5、23.6 mm;对头孢曲松、庆大霉素表现出中度敏感,抑菌圈直径分别为16.1和14.6 mm。N16对克林霉素、氨苄西林、庆大霉素表现出敏感性,抑菌圈直径分别为27.0、29.8、20.6 mm;然而,对万古霉素、利福平、头孢曲松、阿莫西林、氯霉素、环丙沙星和四环素均表现出耐药性,尤其是对万古霉素、头孢曲松、环丙沙星和四环素未观察到生长抑制区,而对利福平、阿莫西林、氯霉素则分别显示出较小的抑菌圈直径,分别为10.9、10.8、9.7 mm。如图6所示,3种筛选乳酸菌的生长菌落周围没有可见的透明区,表明3种菌株均没有溶血活性。如图7所示,以溴甲酚紫为指示剂,N3、N9在含有精氨酸、酪氨酸、组氨酸、赖氨酸的液体培养基中没有变紫,表明N3、N9不含有氨基脱羧酶,不产生对宿主有害的生物胺。而N16在含有精氨酸的液体培养基中产生生物胺,使液体变紫,不具备益生特性。因此,选择N3、N9进一步验证其抗氧化特性。

表3 醋糟乳酸菌的抗生素敏感性
Table 3 Antibiotic susceptibility of lactic acid bacteria from vinegar lees mm

注:CC,克林霉素;VAN,万古霉素;AMP,氨苄西林;RA,利福平;CTR,头孢曲松;AMX,阿莫西林;C,氯霉素;GM,庆大霉素;CIP,环丙沙星;TET,四环素。“—”表示菌株未出现生长抑制区。S,敏感;I,中度敏感;R,抵抗。
Note:CC,clindamycin;VAN,vancomycin;AMP,ampicillin;RA,rifampin;CTR,ceftriaxone;AMX,amoxicillin;C,chloramphenicol;GM,gentamicin;CIP,ciprofloxacin;TET,tetracycline.“—” indicates that the strain did not exhibit a growth inhibition zone.S,sensitive;I,intermediate sensitivity;R,resistant.

抗生素Antibiotic CC VAN AMP RA CTR AMX C GM CIP TET含量/(μg·片-1)Content 10 30 10 5 30 25 30 10 5 10抗生素抑菌圈直径及药物敏感性结果Antibiotic inhibition zone diameter and drug susceptibility results N3 25.7S—20.3S 23.2S 15.2I 20.8S 22.4S 14.2I—16.6I N9 19.4S—33.1S 21.5S 16.1I 29.1S 26.5S 14.6I—23.6S N16 27.0S—29.8S 10.9R—10.8R 9.7R 20.6S——

图6 醋糟乳酸菌的溶血性效果
Fig.6 Hemolytic activity test of lactic acid bacteria from vinegar lees

S.aureus:金黄色葡萄球菌,阳性对照;MRS,阴性对照。
S.aureusStaphylococcus aureus,positive control;MRS,negative control.

图7 醋糟乳酸菌产生物胺效果
Fig.7 Biogenic amine production ability of lactic acid bacteria from vinegar lees

A:金黄色葡萄球菌产生物胺能力;B:N3 产生物胺能力;C:N9 产生物胺能力;D:N16 产生物胺能力。S.aureus:金黄色葡萄球菌;CON:空白对照;Lys:赖氨酸;His:组氨酸;Tyr:酪氨酸;Arg:精氨酸。
A:Ability of Staphylococcus aureus to produce biogenic amines;B:Ability of N3 to produce biogenic amines;C:Ability of N9 to produce biogenic amines;D:Ability of N16 to produce biogenic amines.S.aureusStaphylococcus aureus ;CON:Blank control;Lys:Lysine;His:Histidine;Tyr:Tyrosine;Arg:Arginine.

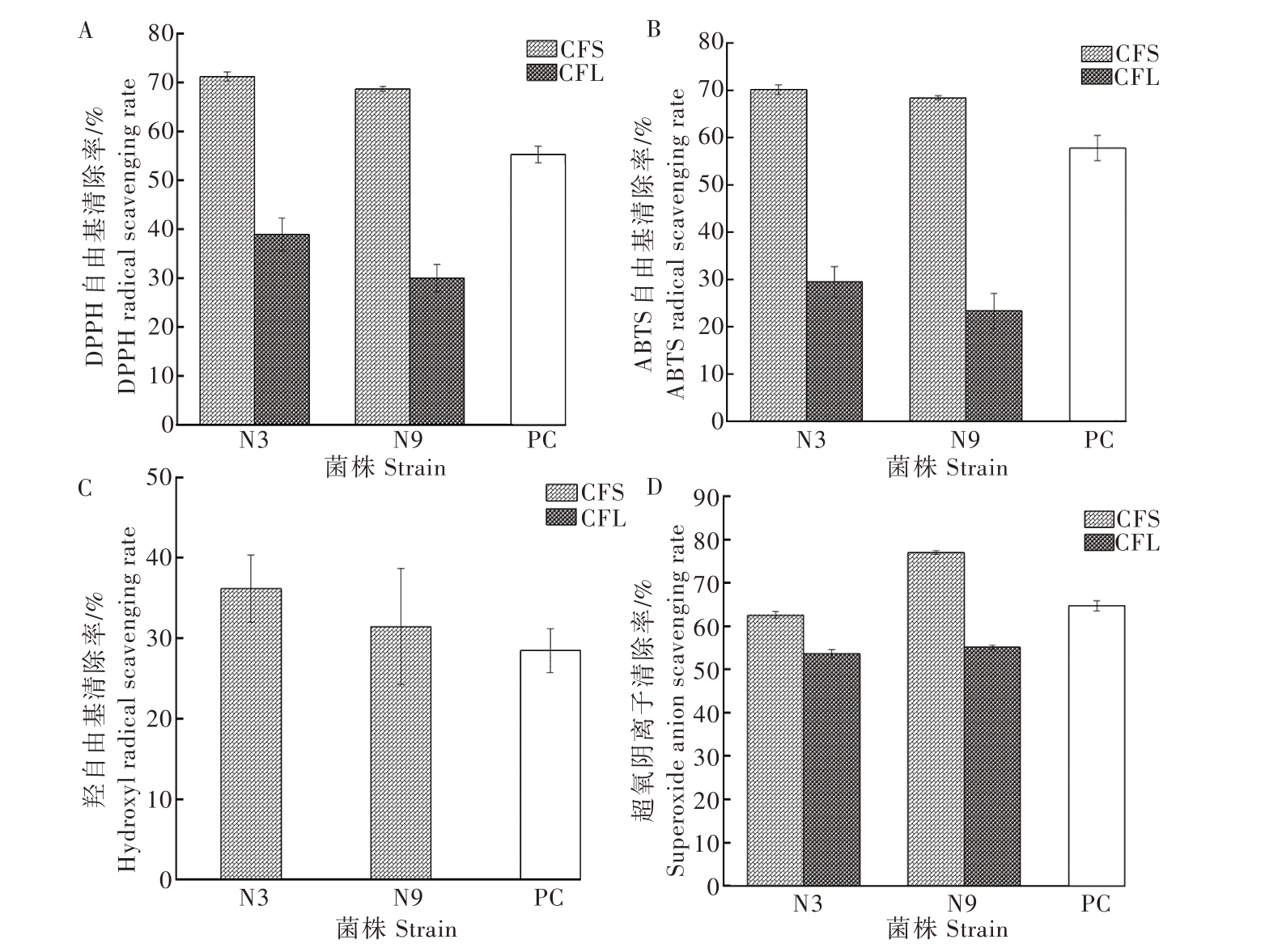
2.5 醋糟乳酸菌的抗氧化性能力评价

图8 为N3、N9的CFS和CFL对DPPH自 由基、超氧阴离子、羟基自由基和ABTS自由基的清除率结果。总体来看,N3和N9的CFS在自由基清除能力上显著优于CFL(p<0.05),表现出更强的抗氧化活性。具体而言,N3的CFS对DPPH自由基、ABTS自由基、羟自由基的清除率分别为71.23%、70.11%、36.17%,高于抗坏血酸的清除效果;对超氧阴离子的清除率虽略低于抗坏血酸,但清除率也达到了62.51%。而N9的CFS对DPPH自由基、ABTS自由基、羟自由基、超氧阴离子清除率分别为68.67%、68.37%、31.44%、76.96%,均高于抗坏血酸的清除效果;相比之下,N3和N9的CFL对自由基的清除能力较弱,其中对羟基自由基未表现出清除作用,对DPPH自由基清除率分别为38.88%、30.02%,对ABTS自由基清除率分别为29.47%、23.30%,对超氧阴离子的清除率分别为53.67%、55.09%,均低于抗坏血酸的清除效果。综合分析表明,N3和N9的CFS展现出优异的抗氧化特性,尤其在清除DPPH自由基、ABTS自由基、超氧阴离子方面,其清除率均超过60%。

图8 醋糟乳酸菌的抗氧化活性
Fig.8 Antioxidant activity of lactic acid bacteria from vinegar lees

A:DPPH 自由基清除活性;B:ABTS 自由基清除活性;C:羟自由基清除活性;D:超氧阴离子清除活性。CFS:无细胞培养上清液;CFL:无细胞裂解液。PC:阳性对照。
A:DPPH radical scavenging activity;B:ABTS radical scavenging activity;C:hydroxyl radical scavenging activity;D:superoxide anion scavenging activity.CFS:Cell-free supernatant;CFL:Cell-free lysate.PC:Positive control.

3 结论与讨论

具有益生作用的乳酸菌一般通过口服摄入,且必须能够耐受胃酸和肠道中的胆汁盐等环境应激,才能在肠道内存活并发挥作用。KLAYRAUNG[22]研究表明不同来源的菌株表现出不同的pH耐受性,从发酵茶叶中分离的菌株表现出较高的耐酸性,而来自发酵鱼和腌制大蒜的菌株在酸条件下无法存活。本研究分离的乳酸菌都表现出较高的耐酸性,存活率都在90%以上,这可能与分离菌株来源于醋糟有关。在质量分数为0.3%胆盐胁迫条件下,不同菌株的存活率差异较大,反映出乳酸菌对胆盐耐受性的种间差异性。这可能与菌株中胆盐水解酶的活性、细胞膜完整性及胞外多糖的分泌量相关[23-25]。本研究中的N3、N9和N16在胆盐胁迫下存活率均超过50%,高于ZHAN等[26]从艾蒿发酵液中分离的5株乳酸菌在相同质量分数胆盐胁迫下的存活率。这一特性有助于乳酸菌作为活菌到达肠道并发挥微生态调节作用[27]

造成养殖业经济损失的一个重要原因是人兽共患病和食源性疾病。抗菌活性反映了益生菌竞争性杀灭或抑制肠道病原微生物生长及产生毒素的能力。研究表明,戊糖片球菌AT6的无细胞上清液能够有效抑制鼠伤寒沙门氏菌在小鼠肠上皮细胞的黏附、侵袭等一系列作用,从而降低鼠伤寒沙门氏菌感染小鼠的死亡率[28]。本研究分离的N3、N9和N16对大肠杆菌、鼠伤寒沙门氏菌及金黄色葡萄球菌均表现出较强的抑制作用,且其抑菌圈直径均超过15 mm,该结果与ZHAO等[29]的描述结果一致。益生菌在发酵过程中会产生大量的代谢产物,如有机酸、过氧化氢、乙醇、双乙酰、细菌素等,它们通过一系列不同的机制发挥其抑菌活性从而抑制不同微生物的生长[27]。而在本研究中,与使用过氧化氢酶、胃蛋白酶或蛋白酶K处理上清液相比,当将N3、N9和N16的上清液调至pH值为6.5时,其对3种指示菌株抑制作用均显著下降。这说明抑制作用主要来源于有机酸,但其具体的抑菌机制有待进一步探究。

细菌黏附和定植肠道表面的能力大小决定了益生菌在肠道中存活率及益生效果[30]。在本研究中,N3、N9和N16的自 聚 集 率 及 与3种 指 示 菌 株(大肠杆菌、鼠伤寒沙门氏菌、金黄色葡萄球菌)的共聚集率都随着时间的延长而逐渐增加,在12 h时都表现出较高的自聚集率和共聚集率。其中,N9的自聚集率及与3种指示菌株的共聚集率均高于N3和N16。WU等[21]报道植 物乳植 杆菌ZJ316有编码黏附蛋白EF-Tu的基因,这使菌株更容易黏附于胃肠道,提高了其自聚集和共聚集能力。N9在12 h时与3种指示菌株的共聚集率均超过了60%,这一特征有助于促进乳酸菌对病原菌的黏附和去除,从而增强其益生效应。N9的自聚集率从3 h的47.39%增加至12 h的92.66%,这一结果与AFRIN等[16]研究数据相近。尽管N3、N16的自聚集率低于N9,但仍高于FAN等[31]从酒醅中分离的11株乳酸菌的自聚集率。在疏水性测试中,不同菌株对各类烃类化合物表现出不同程度的疏水性,3种筛选乳酸菌的疏水性范围为40.21%~80.75%。LI等[32]研究表明,从传统板鸭中分离的乳酸菌的疏水性范围为9.40%~31.87%,明显低于本研究中筛选乳酸菌的疏水性。该差异可能与细胞表面的糖蛋白有关。此外,有研究表明,疏水性高于40%的菌株通常在细胞表面存在疏水性分子(如表面阵列蛋白、细胞壁嵌入蛋白、细胞质膜蛋白的和脂质),这些分子能够增强菌株细胞对烃类化合物的亲和力[9]

潜在益生菌特征之一是对宿主没有致病性。抗生素耐药性是微生物对抗生素产生耐受能力的现象[33]。研究表明,具有抗生素耐药性的益生菌会将相关抗生素的抗性基因转移到胃肠道病原体[34],使得致病菌产生耐药性,增加治疗胃肠道疾病的难度。溶血活性的评价也是筛选益生菌菌株标准之一。溶血素是一种外毒素,可引起孔形成(α-溶血)或鞘磷脂降解(β-溶血),导致红细胞破裂,出现维生素C缺乏症[32]。另外,生物胺是一种低分子量含氮化合物,主要由微生物对氨基酸进行脱羧而产生,是亚硝酸胺的前体物质,会引起毒性作用,比如头痛、心悸、呕吐和腹泻等,甚至与致癌和致突变有关[35]。在本研究中,N3、N9除对万古霉素、环丙沙星耐药外,对其他抗生素均敏感或中度敏感,无溶血性,无生物胺产生。有研究表明,大多数乳杆菌属对万古霉素、喹诺酮类药物具有天然的抗性[36]。此外,细菌的固有耐药性对水平传播的风险极小,而获得性耐药性使病原菌变得对抗生素更具抗性被视为高风险[37]。N16菌株除对克林霉素、氨苄霉素和庆大霉素敏感外,对其他7种抗生素均耐药,虽无溶血性,但产生对宿主有害的精胺,不具备益生特性。

当机体内产生过量的活性氧和自由基时会引起氧化应激,不仅损害蛋白质、脂质和DNA分子等,还可能与人体的多种疾病相关,如糖尿病、癌症、心血管疾病、阿尔茨海默病和动脉粥样硬化等[38]。乳酸菌是一种天然的抗氧化剂,其抗氧化活性可以缓解体内活性氧或自由基与抗氧化防御失衡所引起的氧化应激反应,减缓由氧化损伤所引起的衰老病变。本研究采用不同的抗氧化方法,包括DPPH自由基清除、ABTS自由基清除、羟自由基清除、超氧阴离子清除,观察N3、N9的抗氧化活 性。N3、N9的CFS对DPPH自 由 基、ABTS自由基、超氧阴离子的清除率均大于60%,但其CFL没有清除羟自由基的能力,对DPPH自由基、ABTS自由基、超氧阴离子的清除率也显著低于CFS,这可能是乳酸菌CFS中含有大量的活性物质,如乳酸菌在发酵过程中产生具有还原性的有机酸[39]。综合分析,乳酸片球菌N3、植物乳杆菌N9具有良好的益生潜力,是研究益生菌制剂在食品工业中应用的良好候选株,下一步需要进行体内研究以评估其对公共健康的影响。

参考文献References:

[1]崔嵩,洪嘉轩,张福祥,等.农田系统中兽用抗生素污染特征及生态效应[J].东北农业大学学报,2024,55(4):85-98.CUI S,HONG J X,ZHANG F X,et al.Pollution characterization and ecological effects of veterinary antibiotic in farmland system[J].Journal of Northeast Agricultural University,2024,55(4):85-98.

[2]徐承极,汪城,黄玉明.Cu-MOFs 衍生的片状CuO 活化过一硫酸盐降解左氧氟沙星抗生素污染物研究[J].西南大学学报(自然科学版),2023,45(4):178-188.XU C J,WANG C,HUANG Y M.Cu-MOFs-derived flake-like CuO to activate PMS for degrading levofloxacin antibiotics pollutant[J].Journal of Southwest University (Natural Science Edition),2023,45(4):178-188.

[3]ADETOYE A,PINLOCHE E,ADENIYI B A,et al.Characterization and anti-Salmonella activities of lactic acid bacteria isolated from cattle faeces[J].BMC Microbiology,2018,18(1):96.

[4]BRÜSSOW H.Adjuncts and alternatives in the time of antibiotic resistance and in-feed antibiotic bans[J].Microbial Biotechnology,2017,10(4):674-677.

[5]孙榕泽,张旭屹,彭仕乐,等.蒸汽爆破忍冬藤饲料添加剂的益生功效研究[J].河南农业大学学报,2024,58(6):966-975.SUN R Z,ZHANG X Y,PENG S L,et al.Study on the probiotic effect of steam exploded Lonicerae japonicae Caulis feed additive[J].Journal of Henan Agricultural University,2024,58(6):966-975.

[6]石韶琦,王然,张凤,等.植物乳杆菌TY-Y10 的特性 研 究[J].甘 肃 农 业 大 学 学 报,2024,59(6):292-299.SHI S Q,WANG R,ZHANG F,et al.Study on the characteristics of Lactobacillus plantarum TY-Y10[J].Journal of Gansu Agricultural University,2024,59(6):292-299.

[7]YAN J Q,HUANG Y J,GAO Z N,et al.Probiotic potential of Lactiplantibacillus plantarum ZFM4 isolated from pickles and its effects on human intestinal microecology[J].LWT,2023,184:114954.

[8]周俊华,方治山,袁朝原,等.不同添加剂对凌云乌鸡生长性能、免疫功能及盲肠微生物多样性的影响[J].南方农业学报,2023,54(2):629-637.ZHOU J H,FANG Z S,YUAN C Y,et al.Effects of different additives on growth performance,immune function and microbial diversity in cecum of Lingyun black bone chicken[J].Journal of Southern Agriculture,2023,54(2):629-637.

[9]EOM J S,SONG J,CHOI H S.Protective effects of a novel probiotic strain of Lactobacillus plantarum JSA22 from traditional fermented soybean food against infection by Salmonella enterica serovar typhimurium[J].Journal of Microbiology and Biotechnology,2015,25(4):479-491.

[10]JUNG J Y,SHIN J S,LEE S G,et al.Lactobacillus sakei K040706 evokes immunostimulatory effects on macrophages through TLR 2-mediated activation[J].International Immunopharmacology,2015,28(1):88-96.

[11]WANG Z L,BAO Y,ZHANG Y,et al.Effect of soymilk fermented with Lactobacillus plantarum P-8 on lipid metabolism and fecal microbiota in experimental hyperlipidemic rats[J].Food Biophysics,2013,8(1):43-49.

[12]WANG J,WANG J,YANG K,et al.Screening for potential probiotic from spontaneously fermented nondairy foods based on in vitro probiotic and safety properties[J].Annals of Microbiology,2018,68(12):803-813.

[13]SRINIVASH M,KRISHNAMOORTHI R,MAHALING AM P U,et al.Probiotic potential of exopolysaccharide producing lactic acid bacteria isolated from homemade fermented food products[J].Journal of Agriculture and Food Research,2023,11:100517.

[14]YANG T S,YANG J S,TANG K,et al.Antioxidative properties analysis of gastrointestinal lactic acid bacteria in Hainan black goat and its effect on the aerobic stability of total mixed ration[J].Frontiers in Microbiology,2022,13:974925.

[15]温永亮,张变英,刘华栋.醋糟营养价值评定及利用前景[J].饲料研究,2020,43(5):68-71.WEN Y L,ZHANG B Y,LIU H D.Evaluation of nutritional value of vinegar residues and utilization prospect[J].Feed Research,2020,43(5):68-71.

[16]AFRIN S,AKTER S,BEGUM S,et al.The prospects of Lactobacillus oris as a potential probiotic with cholesterol-reducing property from mother’s milk[J].Frontiers in Nutrition,2021,8:619506.

[17]HUANG H,PENG F,LI J Y,et al.Isolation and characteristics of lactic acid bacteria with antibacterial activity against Helicobacter pylori[J].Food Bioscience,2021,44:101446.

[18]FADARE O S,SINGH V,ENABULELE O I,et al.In vitro evaluation of the synbiotic effect of probiotic Lactobacillus strains and garlic extract against Salmonella species[J].LWT,2022,153:112439.

[19]CLSI M100-S27.Performance standards for antimicrobial susceptibility testing:twenty-seven informational supplement[S].Clinical and Laboratory Standards Institute,2017.

[20]BARZEGAR H,ALIZADEH BEHBAHANI B,FALAH F.Safety,probiotic properties,antimicrobial activity,and technological performance of Lactobacillus strains isolated from Iranian raw milk cheeses[J].Food Science & Nutrition,2021,9(8):4094-4107.

[21]WU S Y,CHEN Y Q,CHEN Z Q,et al.Antioxidant properties and molecular mechanisms of Lactiplantibacillus plantarum ZJ316:a potential probiotic resource[J].LWT,2023,187:115269.

[22]KLAYRAUNG S.Probiotic properties of lactobacilli isolated from Thai traditional food[J].Scientia Pharmaceutica,2008,76(3):485-503.

[23]KUSADA H,MORINAGA K,TAMAKI H.Identification of bile salt hydrolase and bile salt resistance in a probiotic bacterium Lactobacillus gasseri JCM1131T[J].Microorganisms,2021,9(5):1011.

[24]AGOLINO G,PINO A,VACCALLUZZO A,et al.Bile salt hydrolase:the complexity behind its mechanism in relation to lowering-cholesterol lactobacilli probiotics[J].Journal of Functional Foods,2024,120:106357.

[25]BUSTOS A Y,FONT DE VALDEZ G,FADDA S,et al.New insights into bacterial bile resistance mechanisms:The role of bile salt hydrolase and its impact on human health[J].Food Research International,2018,112:250-262.

[26]ZHAN H,HE Y,WANG Q A,et al.Evaluation of probiotic strains isolated from Artemisia argyi fermentation liquor and the antagonistic effect of Lactiplantibacillus plantarum against pathogens[J].Fermentation,2023,9(6):536.

[27]YANG X Y,PENG Z,HE M N,et al.Screening,probiotic properties,and inhibition mechanism of a Lactobacillus antagonistic to Listeria monocytogenes[J].Science of the Total Environment,2024,906:167587.

[28]LIU J S,GU Z N,LU W W,et al.Multiple mechanisms applied by Lactobacillus pentosus AT6 to mute the lethal effects of Salmonella in a mouse model[J].Food& Function,2018,9(5):2787-2795.

[29]ZHAO M D,LIU K Y,ZHANG Y Y,et al.Probiotic characteristics and whole-genome sequence analysis of Pediococcus acidilactici isolated from the feces of adult beagles[J].Frontiers in Microbiology,2023,14:1179953.

[30]HE Y Y,LI F R,ZHANG W Q,et al.Probiotic potential of Bacillus amyloliquefaciens isolated from Tibetan yaks[J].Probiotics and Antimicrobial Proteins,2024,16(1):212-223.

[31]FAN S H,XUE T D,BAI B Q,et al.Probiotic properties including the antioxidant and hypoglycemic ability of lactic acid bacteria from fermented grains of Chinese Baijiu[J].Foods,2022,11(21):3476.

[32]LI X M,DENG J Y,NIE W,et al.Study on the safety and excellent probiotic properties of fermentation strains isolated from traditional dry-cured duck for starter development[J].Food Bioscience,2023,51:102244.

[33]吕辉雄,黄雪晶.高效降解邻苯二甲酸酯植物内生菌的抗生素耐药性研究[J].河南师范大学学报(自然科学版),2024,52(6):20-26.LÜ H X,HUANG X J.Study on antibiotic resistance of endophytic bacterium efficiently degrading phthalates[J].Journal of Henan Normal University (Natural Science Edition),2024,52(6):20-26.

[34]MENG L Y,ZHU X M,TUO Y F,et al.Reducing antigenicity of β-lactoglobulin,probiotic properties and safety evaluation of Lactobacillus plantarum AHQ-14 and Lactobacillus bulgaricus BD0390[J].Food Bioscience,2021,42:101137.

[35]ISHIOKA K,MIYAZAKI N,NISHIYAMA K,et al.Characterization of Lactococcus lactis 11/19-B1 isolated from kiwi fruit as a potential probiotic and paraprobiotic[J].Microorganisms,2023,11(12):2949.

[36]RUIZ-MOYANO S,GONÇALVES DOS SANTOS M T P,GALVÁN A I,et al.Screening of autochthonous lactic acid bacteria strains from artisanal soft cheese:probiotic characteristics and prebiotic metabolism[J].LWT,2019,114:108388.

[37]AQUILIN G,BORIE G,CHESSON A,et al.Guidance on the assessment of bacterial susceptibility to antimicrobials of human and veterinary importance[J].EFSA Journal,2012,10(6):2740.

[38]SHI Y J,CUI X Y,GU S S,et al.Antioxidative and probiotic activities of lactic acid bacteria isolated from traditional artisanal milk cheese from NorthEast China[J].Probiotics and Antimicrobial Proteins,2019,11(4):1086-1099.

[39]ZHANG H,YANG Y F,ZHOU Z Q.Phenolic and flavonoid contents of mandarin (Citrus reticulata Blanco)fruit tissues and their antioxidant capacity as evaluated by DPPH and ABTS methods[J].Journal of Integrative Agriculture,2018,17(1):256-263.

Screening,identification and probiotic properties of lactic acid bacteria from vinegar lees

NIE Azhen1,NI Zifu1,FENG Xianyang1,CAI Mengmeng1,WANG Huan1,SUN Zhongke1,LI Chengwei1,2
(1.College of Biological Engineering,Henan University of Technology,Zhengzhou 450001,China;2.College of Life Sciences,Henan Agricultural University,Zhengzhou 450046,China)

Abstract: 【Objective】To screen lactic acid bacteria strains from vinegar lees that exhibit tolerance to acid and bile salts,inhibit the growth of various pathogenic bacteria,and possess antioxidant activity,thereby providing a scientific basis for the development of microbial resources and their application in food,feed,and other industries.【Method】The lactic acid bacteria strains were isolated from vinegar lees using the streak plate method and preliminary screened based on tolerance to low pH (pH 2.5)and bile salts (0.3% mass percentage).The screened strains were then identified using 16S rRNA gene sequencing.Subsequently,the antimicrobial activity of the strains was evaluated,and their antimicrobial components were analyzed.Self-aggregation and co-aggregation abilities were measured,and the safety of the strains was assessed through antibiotic susceptibility,hemolysis,and biogenic amine production tests.Finally,the antioxidant capacity of the selected strains was evaluated using DPPH(1,1-Diphenyl-2-picrylhydrazyl),ABTS(2,2′-azino-bis(3-ethylbenzothiazoline-6-sulfonic acid)diammonium salt),hydroxyl radical,and superoxide anion scavenging assays.【Result】A total of 36 calcium-solubilizing strains were isolated from vinegar lees,among which 19 were identified as Gram-positive bacteria.After screening for acid tolerance and bile salt tolerance,the N3,N9 and N16 strains exhibited strong resistance.Molecular identification revealed that N3 was Pediococcus acidilactici,N9 was Lactiplantibacillus plantarum,and N16 was Liquorilactobacillus nagelii.Evaluation of their biological properties and safety showed that strain N16 exhibited resistance to vancomycin,rifampin,ceftriaxone,amoxicillin,chloramphenicol,ciprofloxacin,and tetracycline.Moreover,it was capable of utilizing arginine to produce biogenic amines,posing a potential risk to host health.In contrast,the N3 and N9 strains exhibited significant antimicrobial effects against Staphylococcus aureus,Salmonella typhimurium,and Escherichia coli.The antimicrobial effect was confirmed to be primarily attributable to organic acids present in the fermentation broth.Furthermore,both strains displayed excellent self-aggregation and co-aggregation abilities,as well as hydrophobicity.Both N3 and N9 strains were also sensitive or moderately sensitive to ampicillin,chloramphenicol,ceftriaxone,gentamicin,clindamycin,amoxicillin,rifampin,and tetracycline.Additionally,neither strain exhibited hemolytic activity and did not produce biogenic amines harmful to the host.In terms of antioxidant activity,both N3 and N9 strains effectively scavenged DPPH radicals,ABTS radicals,hydroxyl radicals,and superoxide anions.【Conclusion】The N3 and N9 strains exhibit excellent biological characteristics,safety,and antioxidant capacity,demonstrating their potential for application in animal feed additives and human dietary supplements.

Key words:vinegar lees;lactic acid bacteria;probiotic;biological characteristics;biosafety;antioxidant

中图分类号:S816.7

文献标志码:A

文章编号:1000-2340(2025)05-0859-13

引用:聂阿真,倪子富,冯先阳,等.醋糟乳酸菌的筛选、鉴定及其益生特性研究[J].河南农业大学学报,2025,59(5):859-871.DOI:10.16445/j.cnki.1000-2340.20250206.001

收稿日期:2024-11-22

接受日期:2025-02-06

基金项目:河南省重大科技专项(231100110300);河南省研究生教育改革与实践项目(2023SJGLX007Y)

作者简介:聂阿真(1991—),女,河南商丘人,硕士研究生,主要从事生物资源转化研究,E-mail:nieazhen0117@163.com。

通信作者:倪子富(1993—),男,河南林州人,讲师,博士,E-mail:benzf@haut.edu.cn;李成伟(1972—),男,河南商丘人,教授,博士,博士生导师,E-mail:lcw@haut.edu.cn。

(责任编辑:曾庆东)

X