基于三维激光点云的料堆体积测量方法研究

荣军, 宋春常, 张辰捷, 沈然, 王永圣, 韩小博

【作者机构】 国能河北定州发电有限责任公司; 武汉理工大学信息工程学院; 武汉理工大学自动化学院
【分 类 号】 TN249
【基    金】
全文 文内图表 参考文献 出版信息
基于三维激光点云的料堆体积测量方法研究

基于三维激光点云的料堆体积测量方法研究

荣军1, 宋春常1, 张辰捷1, 沈然1, 王永圣2, 韩小博3*

(1国能河北定州发电有限责任公司,河北 定州 073000; 2武汉理工大学信息工程学院,湖北 武汉 430070;3武汉理工大学自动化学院,湖北 武汉 430070)

摘要 针对传统料堆体积测量方法存在数据采集不全面、数据形式不直观、存在误差累积等问题,提出一种基于激光雷达(light detection and ranging, LiDAR)三维扫描的料堆体积测量方法。利用部署在料堆顶部的激光雷达获取料堆真实的三维点云数据,首先采用直通滤波算法裁剪并保留感兴趣区域(region of interest, ROI)点云数据,利用离群点滤波方法去除三维空间的噪点与不相关物体,再利用投影法重建地面,并通过上采样方法填补空缺,最后通过改进的alpha shape曲面重建算法得到料堆模型,以此计算其体积。实验结果表明,该方法可以准确测量固定区域的料堆体积,其平均测量精度达到98.32%,极大提高了散料体积的统计效率,降低人工成本。

关键词 料堆体积测量; 激光雷达; 三维扫描; 点云滤波; 曲面重建

0 引言

在工业生产现场,精确测量料堆的体积并跟踪其变化至关重要。若料堆的测量存在误差,可能会对生产计划造成混乱,导致库存管理不准确,增加成本并引发生产中断[1]。因此,准确测量料堆体积对于生产运作至关重要。

料堆体积测量主要分为传统方法和基于机器视觉的方法。传统的料堆体积测量方法包括全站仪测量[2]、经纬仪视距导线测量、堆体整形后测量以及统计卸料次数估算体积等。全站仪测量法包括基于全球定位系统(global positioning system,GPS)的测量法以及实时动态测量(real-time kinematic,RTK)测量方法[3],通过测量有限个离散点来完成,但由于部分高程无法观测,实践过程中只能通过等高线模拟得到料堆体积;经纬仪视距导线测量法是一种通过在料堆周围设立测站,使用经纬仪测量到各个照准点的角度和距离,然后利用几何学原理计算出料堆体积的方法。由于只能测量有限个离散点,无法获取料堆的完整形状,可能会导致测量结果的误差较大,此外这种方法的效率较低,需要投入较多的人力和物力。随着传感器技术发展,近年来出现了相机测量法与激光雷达测量法。

尹雨枫[4]利用RGB-D相机采集料堆点云,并通过点云空间比例测量算法得到料堆体积。赵英宝等[5]利用双目相机采集料堆不同角度的图像,采用改进的Census算法得到视差,再利用立体匹配生成料堆的三维点云,通过Delaunay三角剖分算法得到料堆体积。黎兆锴等[6]采用从运动中恢复结构(structure from motion, SFM)的方法估计相机采集的图像序列深度,并结合神经网络重构对象物体的三维结构,从而获得物体体积。基于相机视觉的料堆体积测量方法存在较多缺点。首先,在处理复杂料堆形状或光照条件不理想时,可能导致体积预估误差较大,因为该方法依赖于图像处理和计算机视觉技术;其次,需要在固定位置安装摄像头,料堆位置的变化可能影响测量准确性。此外,摄像头角度和距离等也可能影响测量结果准确性。另外,该方法的计算复杂度高,需要大量图像处理和三维建模计算,可能消耗较多的计算资源和时间。近年来,随着三维激光雷达成本不断降低,其应用范围不断扩展,从机器人到工业现场,再到无人驾驶等领域,激光雷达都得到了广泛应用[7-9]。孟坦[10]利用LiDAR采集散料堆点云数据,利用改进的K-means滤波算法减少点云中的噪声,再通过欧式聚类算法将料堆从背景中分离出来,最后通过投影法计算料堆体积。阮磊雷[11]通过三维激光扫描仪采集防空洞点云数据,并拼接、降噪与配准,利用三角剖分法测量体积。王昱杰[12]利用三维激光扫描技术实现了矿山测绘,以此来统计矿区开挖体积。王峰等[13]提出了基于激光雷达扫描技术的地物体积计算方法,使用布料模拟滤波方法(cloth simulation filter, CSF)获取地面数据并去除噪声点,使用规则格网方法对点云进行重采样并求得空间体体积。上述基于LiDAR的测量精度相比基于相机的方法有一定提升,克服了光照条件的影响,但仍会受到物体表面不平整的干扰,并且三维激光扫描仪的测量距离相对较近。此外,激光雷达扫描技术在处理大量数据时可能会遇到操作运算慢和储存空间需求大的问题,需要合理的点云滤波算法对其处理。综上所述,当前料堆体积测量方法存在精度、效率和稳定性方面的局限,实现更准确的料堆体积测量是研究重点。

本文提出了一种基于激光雷达料堆体积测量方法,利用安装于料堆上部的激光雷达采集料堆点云数据,对其进行滤波与地面生成,通过上采样算法减小点云空隙,在兼顾精度与效率的前提下对点云进行曲面重建,将料堆拟合为由众多四面体组成的集合体,计算所有四面体体积并求和计算得到料堆体积。该方法有效解决了生产现场环境引入的噪声干扰和处理不规则形状、不完整点云的挑战。这一算法意味着在复杂环境下能够确保准确稳定地监测料堆体积,为生产提供了重要的技术支持,确保生产作业有序进行。

1 算法介绍

1.1 LiDAR激光扫描技术

LiDAR传感器通过测量发射的激光脉冲的飞行时间(time of flight, ToF)来计算每个点的距离,同时利用水平旋转扫描来测量角度,根据这些数据建立二维极坐标系。接着,通过采集不同俯仰角度的信息,获取三维高度数据[14]。距离测量方法如公式(1)所示。

(1)

式中:d为距离,m;c为光速,m/s;t为激光脉冲从发射到返回所需的时间,s。此外,LiDAR系统通过旋转和倾斜激光发射器来测量每个激光点的方位角α和仰角ω。根据测量的距离和角度,可以计算每个激光点在LiDAR坐标系下的坐标。这可以通过公式(2)~(4)计算:

(2)

(3)

(4)

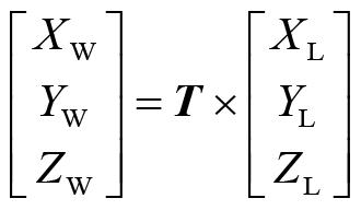
式中:(XL,YL,ZL)为激光点在LiDAR坐标系下的坐标;d为激光点到传感器的距离,m;α为激光点相对于传感器的方位角,rad;ω为激光点相对于传感器的仰角,rad。之后再通过变换矩阵T,将激光点的坐标从LiDAR坐标系转换到世界坐标系,如公式(5)所示:

(5)

式中:(XW,YW,ZW)T为激光点在世界坐标系下的坐标;(XL,YL,ZL)T为激光点在LiDAR坐标系下的坐标;T为变换矩阵。

1.2 点云滤波

1.2.1 直通滤波

点云直通滤波是一种被广泛采纳的点云处理方式,旨在清除不相关区域和噪声,同时保留感兴趣区域内的关键点云信息[15-16]。其基本原理包括指定特定维度(如Z轴)、设定数值范围(如[Xmin, Xmax])并遍历点云中的每个点,检查其指定维度上的数值是否在设定范围内。直通滤波保留的点云集合如公式(6)所示:

(6)

式中:Pi为原始点云;Pf为滤波保留的点云;[Xmin, Xmax]为点云空间沿X坐标轴的取值范围,Y轴与Z轴同理;p为3D空间中任意点云;(px, py, pz)为点p的空间坐标。直通滤波器移除不符合范围的点,最终生成经过滤波的点云。该滤波器简单高效,尤其适用于背景去除等操作,为点云数据后续分析提供可靠的预处理手段。

1.2.2 离群点滤波

统计式离群点移除(statistical outlier removal,SOR)是一种常用的点云处理方法,主要用于剔除点云中的噪声点与离群点[17]。首先,对于每一个点,利用K-Dimensional tree进行统计分析[18],计算该点到所有邻近点的平均距离;其次,假设每个点与邻近点之间的距离符合高斯分布,则平均距离就是均值,并且可以根据均值和每一个距离求得标准差;最后,平均距离大于标准范围G的点被认为是离群点,并从数据中剔除。标准范围G计算如公式(7)所示:

(7)

式中:μ为均值;σ为标准差;n为高斯分布标准差的倍数,使用者根据实际点云状况进行调整。

1.3 地面点投影

LiDAR只能扫描得到物料表面的点云,无法获取地面点云。为了获得封闭形状的点云,需要对地面点进行重建。将料堆表面点云沿Z轴向XOY平面投影,得到料堆正下方的地面点云,和料堆点云一起构成了一个封闭点云簇[19],如公式(8)所示:

(8)

式中:[X′, Y′, Z′]T为投影后的点云坐标;[X, Y, Z]T为原始点云坐标;kZ为平移参数,用来校准地面高度。

1.4 点云上采样

为了弥补料堆点云孔洞和缝隙,需要上采样处理[20]。本研究采用移动最小二乘法(moving least squares,MLS)方法。MLS是PCL库[21]中的一种强大的点云上采样方法,其主要目的在于实现点云数据的平滑处理和改进法向量估计。

首先,选择局部邻域:对于每个点Pi,MLS算法通过选择一个局部邻域Ni来建立该点的局部上下文环境。这个邻域可以是球形、立方体或其他形状,视具体需求而定。其次,生成曲面重建模型,在选定的局部邻域Ni内,MLS算法通过最小二乘法拟合出一个曲面模型;该模型可以是多项式、高斯或其他适应性强的函数形式,以最精确地描述邻域内点云的特征。最后,计算新位置,在拟合模型的基础上,MLS算法计算出每个点Pi的新位置Pi′,使新位置能够更好地反映局部曲面的特征;这一步通过最小化拟合模型与原始点之间的残差来实现,从而实现点云的上采样。MLS算法通过公式(9)描述:

(9)

式中:Pi′为点Pi的新位置;F为曲面重建模型函数;Ni为点Pi的局部邻域;{Pj|PjNi}为该邻域内的点集;εi为残差项。通过最小化残差,MLS算法能够实现对点云的平滑处理和改进法向量的准确估计。

1.5 点云曲面重建

点云转换成曲面对体积测量具有重要意义。点云是离散的三维点,曲面重建则通过数学模型近似这些点,提供连续的表面模型,显著提高了测量精度。曲面重建简化了复杂形状的体积计算,将其转化为简单的几何体。这种方法不仅有助于测量,还提供了可视化和数据管理的有效工具,同时占用较小的存储空间,便于数据压缩和传输。

本研究采用改进的alpha shape方法提取点云数据边界曲面[22]。在3D空间中,经典alpha shape算法的基本思想是以一个半径为α的小球在点集上滚动,与小球相交的3个点所构成的三角形为点集边界面[23-24]。首先从点云集合S中任选一点P1,找出与该点距离小于等于阈值2α的点构成新的点集S1;其次在S1中任取一组点P2P3,求出过点P1P2P3且半径为α的球体,其球心记为C1C2;随后遍历点集S1,逐个计算其他点到球心C1C2的距离,得到距离集合DD′。如果DD′中有任何一个集合的距离均大于等于半径α,则认为点P1P2P3是边缘轮廓点,并且三角形ΔP1P2P3是边界三角形。反之,则认为点P1P2P3不是边缘轮廓点;之后选择S1中的下一组点按前述步骤进行判断,直到S1中的全部点遍历完成;再从点集S选择下一个点按上述步骤进行判断,直到集合S中所有点完成遍历,并最终输出曲面的边界三角形矩阵M[25]。点集S的形状边界∂Sα计算如公式(10)所示:

(10)

式中:d是空间维数,这里d=3;TS的子集;ΔB是由B组成的多面体,这里是四面体;α-exposed条件是指在点集S内任取两点,过这两点绘制半径为α的圆,如果该圆内没有其他点,则认为该两点连线是边界线,如图 1(a)所示,如果该圆内包含其他点,则认为这两点连线不是边界线,如图 1(b)所示。

经典的alpha shape算法存在一定局限性,α半径值需要多次试验调整才能达到较好的曲面重建效果,并且有些点集利用单一的α半径值无法实现曲面重建。因此,本研究在经典alpha shape算法基础上进行改进,提出了自适应alpha shape算法,利用点云密度来动态缩放α半径值,从而提升曲面重建算法的泛化性能。首先在每个点周围的固定半径内计算点的数量来估计每个点的密度;之后根据每个点对应的密度动态缩放α半径,对于密集的点选用较小的半径值,对于稀疏的点选用较大的半径值。这样可以使曲面重建算法泛用性提高,更好拟合不同料堆的点云曲面。

(11)

式中:αi为点iα半径值,m;kd为缩放系数;Di为点i对应的密度,n/m3。该算法对点集的处理效果如图2(b)所示,当点云较密集时α半径值较小,对应于图2(b)中较小的虚线圆;对于稀疏区域的点云,其α半径值变大,对应于图2(b)中较大的虚线圆。对比图2(a)可知,经典算法对点集边缘轮廓的拟合程度较粗糙,会丢失较多边缘轮廓细节,而自适应算法通过动态调整半径则可以复现点集的准确轮廓。

1.6 料堆体积计算

通过计算每个三角形四面体的体积并将它们相加来得到整个曲面的体积[2]。每个三角形四面体的体积可以通过公式(12)计算:

(12)

其中:

(13)

公式(13)中(xi, yi, zi)是四面体顶点坐标。总体积的计算如公式(14)所示:

(14)

式中:n为料堆对应的所有四面体个数;Vj为第j个小四面体的体积;VH为料堆总体积。

2 实验验证

2.1 定性实验

针对某火力发电站煤炭仓库,对料堆进行LiDAR点云扫描,随后分析测得的点云数据以确定料堆的体积。该仓库尺寸为200 m×50 m×15 m,内部包含装载车轨道和传送带通道,通道两侧分布着多个不规则形状的煤炭料堆,高度在3 m~10 m不等。

为了最大化获取煤炭仓库料堆的点云数据,使用了四个相同型号的LiDAR方案。在选择LiDAR位置时,特别考虑了环境因素,以确保覆盖范围最广,同时最大限度地减少死角。每个LiDAR的位置都经过精心选择,确保它们之间有最佳的重叠区域,这有助于提高数据的准确性和一致性。还考虑到了料堆的高度差异,在安装LiDAR时优化了高度和角度,以便更好地探测不同高度的料堆。其次,在布局时避开了可能存在的障碍物,以保证料堆点云数据的完整性。对于复杂的测量场景,通过拼接四个不同视角的LiDAR点云数据,可以克服料堆相互遮挡问题。此外,采用了灵活的布局方案,可以实时调整LiDAR的位置和角度,以获取更优质的数据。

在煤炭仓库料堆体积检测中,LiDAR传感器的标定与校准是确保数据可靠性和准确性的关键步骤。标定包括内外部参数调整与验证,内部参数通过参考标定板校准距离和角度误差,外部参数则需要GPS或其他定位系统确立传感器在坐标系中的位置和旋转方向。验证阶段将校准后的传感器与其他测量方式对比验证,分析误差来源并进一步调整参数。同时,持续监测与维护是确保传感器稳定性和准确性的关键,建立定期校准机制并记录更新数据,以保证LiDAR传感器始终提供高质量的料堆点云数据。此外,四个LiDAR传感器采集的点云数据需进行配准和拼接以确保准确性。

在体积测量阶段,首先对每个传感器数据进行预处理,包括去噪和清洗。接着,进行点云配准,精确对齐数据。完成后,拼接各传感器数据,确保连续性和一致性。最后,对整体数据进行优化处理,包括修剪和去除冗余信息。这确保了准确反映料堆形态的高质量点云模型,为进一步分析提供可靠基础。拼接得到的料堆全景点云如图 3所示。

之后再通过直通滤波去除非目标区域点云,采取手动或自动方式设定XYZ轴阈值,从而保留感兴趣区域的点云数据。该过程可以大幅度降低点云数据量、提升算法效率,同时完整保留目标料堆点云的特征和形态,为后续深入分析提供基础。直通滤波得到的点云如图 4所示。

为弥补LiDAR无法扫到的料堆地面,采用投影法重建地面。处理后的效果如图 5所示。

考虑到点云数据常含噪声和无关物体,影响后续处理。为了克服这个问题,设计了基于密度和分布特征的算法识别潜在离群点,再用滤波策略确认并去除。策略包括基于点云的聚类分析和距离阈值清理。经验证,该方法能有效保留料堆形状和特征,保持数据完整性和准确性。实验验证了其可靠性和实用性,为料堆建模提供了可靠数据基础。离群点去除算法效果如图 6所示,料堆点云被完整保留,噪声点云则被准确分离并剔除。

进一步地,采用点云上采样技术,以解决料堆点云数据中的稀疏性问题。基于局部特征分析,使用了MLS算法来增加点云数据的密度并填补缺失部分。实验结果表明,该方法有效提高了数据密度,填补了缝隙与孔洞,同时保持了料堆形状的准确性与连续性。这一点云上采样技术在料堆点云处理中具有显著的实用性,为后续建模与分析提供了可靠数据基础。上采样后的效果如图 7所示。

本研究对上采样后的料堆点云数据进行了曲面重建,采用了基于alpha shape算法的方法。该算法能有效从点云数据中提取曲面信息,生成平滑且连续的三维模型,准确描述料堆的几何形状。实验验证表明,该方法生成的曲面模型在保持料堆特征的同时,更为连续和规整,较好地反映了料堆的真实形态。这一曲面重建方法为料堆三维建模提供了可靠的数据基础,展现出了在点云数据处理中的实用性和有效性。曲面重建效果如图 8所示。通过对全部小四面体体积进行累加,得到该料堆的理论体积为52.13 m3。在仓库现场,采用称重法测量其质量,并换算得到该料堆的实际体积为51.44 m3,相对误差为1.32%。

2.2 定量实验

为了验证算法性能,在实验室环境搭建了模拟料堆,对其体积进行测量,记录实验结果,并与料堆真实体积进行对比,计算出准确率。本实验选用黄沙作为测试物料,并采用量杯作为标准计量设备。首先用量杯取一定体积的黄沙,将其堆放于光滑平板上并修整形态,使其与生产现场料堆的形状相似;其次,将LiDAR通过支架安置于料堆正上方,使激光束垂直扫描料堆表面,以获取点云数据;最后,利用算法处理采集的数据,计算得到料堆的理论体积值。实验过程如图 9所示。

定量实验采用Livox Mid-360半固态激光雷达,其上位机控制界面如图10所示。

图1 点集的α-exposed判断条件

(a)符合α-exposed条件的点集;(b)不符合α-exposed条件的点集

Fig.1 Alpha exposed judgment conditions for point sets

(a)Point set that meets the α-exposed condition; (b)point set that does not meet the α-exposed condition

图2 对比经典alpha shape算法与自适应alpha shape算法

(a)经典alpha shape算法效果;(b)自适应alpha shape算法效果

Fig.2 Compare the classic alpha shape algorithm and the adaptive alpha shape algorithm

(a)Classic alpha shape performance; (b)adaptive alpha shape performance

图3 拼接合成的料堆全景点云

Fig.3 Spliced and synthesized panoramic point cloud of stockpile

图4 直通滤波后剩余点云

Fig.4 Residual point cloud after pass-through filtering

图5 投影法补全地面点云

Fig.5 Projection method to complete ground point cloud

图6 离群点云去除算法

Fig.6 Outlier point cloud removal algorithm

图7 上采样后的点云

Fig.7 Point cloud after upsampling

图8 Alpha shape算法曲面重建结果

Fig.8 Results of surface reconstruction using alpha shape algorithm

图9 定量实验设计

Fig.9 Quantitative experimental design

图10 LiDAR上位机界面

Fig.10 LiDAR host computer interface

实验过程中LiDAR参数设置如表1所示。鉴于所用LiDAR采用旋转式扫描方式,其转速为600 r/min,为了获取更密集的模拟料堆点云,将每一帧点云的采样周期(frame time)设定为3 000 ms。经过多轮扫描后LiDAR点云可以完整覆盖模拟料堆表面。此外,利用脚本程序从动态点云数据中提取一帧保存为PCD(point cloud data)格式静态点云文件,作为体积测量算法的输入。

表1 LiDAR参数设置
Table 1 LiDAR parameter settings

NameValueFrame time/ms3 000Point size/pixel1ColorReflectivityFormat.lvx2

为降低偶然误差,设置4种不同体积的料堆,分别测量10次并取平均值。将测量结果与理论体积值进行对比,两者作差可得体积差值(volume difference),将此误差与真实体积(real volume)作商可得误差率(error),具体实验结果见表2。

表2 不同体积的实验结果对比
Table 2 Different volumes′ experimental results comparison

Test groupReal volume/dm3Theoretical volume/dm3Volume difference/dm3Error/%155.0770.0771.542109.8230.1771.7731515.2580.2581.7242019.6620.3381.69

通过对表2中的数据进行分析,可以确定体积测量的平均误差稳定在约1.68%,料堆体积的计算值相对于真实值有轻微波动。同时,观察到料堆体积从5 dm3增大到10 dm3时算法的测量误差有小幅增长,但在10 dm3~20 dm3区间内测量误差随着料堆体积的增大呈现下降趋势。

为了验证本研究方法的先进性,进行了与基于RGB-D相机测量方法、基于双目深度相机测量方法、基于LiDAR投影法以及基于LiDAR规则网格划分测量法的对比研究,结果见表3。分析结果显示,相较基于相机的方法,基于LiDAR的测量方法表现出更低的误差率。特别地,本研究提出的方法在准确率上超过了孟坦[10]和王峰等[13]提出的基于LiDAR的测量方法。在运算速度方面,本研究的方法表现出色,仅次于尹雨枫[4]所提出的基于RGB-D相机的算法。

表3 不同测量算法的性能对比
Table 3 Performance comparison of different measurement algorithms

TestmethodReal volume/dm3Theoretical volume/dm3Volume difference/dm3Error/%Speed/msRGB-D[4]2020.5940.5942.978Stereocamera[5]2019.5300.4702.3538LiDAR projection[10]2019.6580.3421.7119LiDAR regular grid[13]2020.3480.3481.7411Ours2019.6620.3381.6910

3 结论

针对准确测量料堆体积的需求,提出了基于LiDAR点云的体积测量方法,可以替代人工测量等传统方法,满足安全高效的生产需要。本文首先通过LiDAR扫描得到料堆的原始点云数据,并利用滤波算法消除背景与噪声点云,将待测量料堆点云从整体数据中剥离出来;其次利用点云上采样算法填补空隙与裂缝;最后通过曲面重建算法得到料堆曲面模型,对曲面模型积分得到料堆测量体积。通过实验验证了算法准确性,体积误差控制在1.77%以内,平均准确度达到98.32%,为本算法落地提供了支持。但是本算法在准确度和运算速度方面仍有改进空间:在处理复杂曲面或非均匀堆叠时,算法的泛化能力和稳定性有所不足;针对大尺度料堆的实时体积测量也是一个挑战,需要更高效的算法以提升运算速度和保持准确性。未来的改进方向将包括进一步探索更多曲面重建技术,以适应各种复杂堆叠情况,并优化算法以提高泛化能力和稳定性。此外,还将专注于开发更快速且准确的处理方法,特别是针对大规模料堆的实时体积测量。通过持续改进算法,旨在提供更精准、高效的基于LiDAR的料堆体积测量解决方案。

参考文献

[1] 崔峥, 王增才, 张杰, 等. 基于三维点云分割的煤堆体积计算方法研究[J]. 中国矿业, 2022, 31(4): 96-101.CUI Z, WANG Z C, ZHANG J, et al. Research on the calculation method of coal pile volume based on 3D point cloud segmentation[J]. China Mining Magazine, 2022, 31(4): 96-101.

[2] ALSAYED A, NABAWY M R A. Stockpile volume estimation in open and confined environments: A review[J]. Drones, 2023, 7(8): 537.

[3] FERNNDEZ LVAREZ H, LVAREZ-NARCIANDI G, GARCA-FERNNDEZ M, et al. A portable electromagnetic system based on mm-wave radars and GNSS-RTK solutions for 3D scanning of large material piles[J]. Sensors (Basel, Switzerland), 2021, 21(3): 757.

[4] 尹雨枫. 基于RGB-D深度相机的料堆体积快速测量方法研究[D]. 长沙: 湖南大学, 2022.YIN Y F. Research on rapid measurement method of pile volume based on RGB-D depth camera[D]. Changsha: Hunan University, 2022.

[5] 赵英宝, 李华伟, 黄丽敏, 等. 基于双目立体视觉与点云配准的物料堆体积测量[J]. 金属矿山, 2025(3): 138-147.ZHAO Y B, LI H W, HUANG L M, et al. Volume measurement of material pile based on binocular stereo vision and point cloud registration[J]. Metal Mine, 2025(3): 138-147.

[6] 黎兆锴, 宋亚男, 徐荣华, 等. 基于SFM与深度学习融合的水果体积测量算法[J]. 计算机工程与设计, 2023, 44(6): 1699-1705.LI Z K, SONG Y N, XU R H, et al. Fruit volume measurement algorithms based on SFM and deep learning[J]. Computer Engineering and Design, 2023, 44(6): 1699-1705.

[7] 商洋洋, 张兆江, 温成龙, 等. 基于机载激光点云的山区沉陷盆地构建方法[J]. 应用激光, 2023, 43(11): 135-143.SHANG Y Y, ZHANG Z J, WEN C L, et al. Construction method of mountain subsidence basin based on airborne light detection and ranging point cloud[J]. Applied Laser, 2023, 43(11): 135-143.

[8] 孙凌宇, 秦红亮, 师瑞卓, 等. 基于激光雷达的移动剖面式三维形貌重建方法研究[J]. 应用激光, 2023, 43(10): 136-147.SUN L Y, QIN H L, SHI R Z, et al. Research on moving profile 3D shape reconstruction method based on lidar[J]. Applied Laser, 2023, 43(10): 136-147.

[9] 张煜恒, 周宏平, 张超. 基于激光点云的苹果果实定位与体积测量方法[J]. 应用激光, 2023, 43(8): 102-111.ZHANG Y H, ZHOU H P, ZHANG C. A method for localization and volume measurement of apple fruit based on laser point cloud[J]. Applied Laser, 2023, 43(8): 102-111.

[10] 孟坦. 基于三维重建技术的散料堆体积测量方法研究[D]. 长春: 长春工业大学, 2023.MENG T. Research on volume measurement method of bulk material stack based on 3D reconstruction technology[D]. Changchun: Changchun University of Technology, 2023.

[11] 阮磊雷. 三维激光扫描技术在防空洞体积测量中的应用[J]. 现代矿业, 2023, 39(8): 54-57.RUAN L L. The application of 3D laser scanning technology in bomb shelter volume measurement[J]. Modern Mining, 2023, 39(8): 54-57.

[12] 王昱杰. 三维激光扫描技术在矿山测绘的应用研究[J]. 中国金属通报, 2023(8): 225-227.WANG Y J. Research on the application of 3D laser scanning technology in mine surveying and mapping[J]. China Metal Bulletin, 2023(8): 225-227.

[13] 王峰, 涂建刚, 张凯凯, 等. 基于激光雷达扫描技术的地物体积计算方法[J]. 应用激光, 2023, 43(7): 81-86.WANG F, TU J G, ZHANG K K, et al. Figure volume calculation method based on lidar scanning technology[J]. Applied Laser, 2023, 43(7): 81-86.

[14] 阳琴, 陈孝林, 曾诚, 等. 硅基片上激光雷达技术综述[J]. 激光与光电子学进展, 2023, 60(16): 1600002.YANG Q, CHEN X L, ZENG C, et al. Overview of LiDAR technology on silicon substrate[J]. Laser &Optoelectronics Progress, 2023, 60(16): 1600002.

[15] 刘亚洲, 邓安健. 基于超体素的机载LiDAR点云滤波与建筑物提取方法[J]. 测绘与空间地理信息, 2023, 46(11): 51-54.LIU Y Z, DENG A J. Super voxel-based airborne LiDAR point cloud filtering and building extraction method[J]. Geomatics &Spatial Information Technology, 2023, 46(11): 51-54.

[16] 肖俊, 石光田. 三维点云去噪技术[J]. 中国科学院大学学报, 2023, 40(5): 577-595.XIAO J, SHI G T. Three-dimensional point cloud denoising[J]. Journal of University of Chinese Academy of Sciences, 2023, 40(5): 577-595.

[17] BALTA H, VELAGIC J, BOSSCHAERTS W, et al. Fast statistical outlier removal based method for large 3D point clouds of outdoor environments[J]. IFAC-PapersOnLine, 2018, 51(22): 348-353.

[18] ZHOU K, HOU Q M, WANG R, et al. Real-time KD-tree construction on graphics hardware[C]//ACM SIGGRAPH Asia 2008 papers. Singapore. ACM, 2008: 1-11.

[19] 黄宏,罗莹,张澄.基于图像投影法的建造场景激光点云语义分割[C]//中国图学学会建筑信息模型(BIM)专业委员会.第九届全国BIM学术会议论文集.苏州:西交利物浦大学,2023: 426-430.HUANG H, LUO Y, ZHANG C. Laser point cloud semantic segmentation of construction scenes based on image projection method [C]//Building Information Modeling (BIM) Professional Committee of the Chinese Graphics Society. Paper of the 9th National BIM Academic Conference Collection. Suzhou:Xi′an Jiaotong-Liverpool University, 2023: 426-430.

[20] 艾国, 刘金洲. 点云上采样方法综述[J]. 电视技术, 2023, 47(3): 135-139.AI G, LIU J Z. A survey of point cloud upsampling[J]. Video Engineering, 2023, 47(3): 135-139.

[21] RUSU R B, COUSINS S. 3D is here: Point cloud library (PCL)[C]//2011 IEEE International Conference on Robotics and Automation. Shanghai, China: IEEE, 2011: 1-4.

[22] 吕国芳, 郭和杰. 基于Alpha Shape的三维模型体积研究[J]. 计算技术与自动化, 2023, 42(1): 160-165.LÜ G F, GUO H J. Volume research of 3D model based on alpha shape[J]. Computing Technology and Automation, 2023, 42(1): 160-165.

[23] SANCTIS A D , GATTONE S A , OIKONOMOU F .Alpha geodesic distances for clustering of shapes[J].Results in Applied Mathematics, 2023.

[24] 吴昊, 郝尚帅, 刘锋, 等. 基于Alpha-shape算法的无人机雷达空间建模方法[J]. 实验室研究与探索, 2022, 41(9): 11-14.WU H, HAO S S, LIU F, et al. A UAV lidar space modeling method based on alpha-shape algorithm[J]. Research and Exploration in Laboratory, 2022, 41(9): 11-14.

[25] 李世林, 李红军. 自适应步长的Alpha-shape表面重建算法[J]. 数据采集与处理, 2019, 34(3): 491-499.LI S L, LI H J. Surface reconstruction algorithm using self-adaptive step alpha-shape[J]. Journal of Data Acquisition and Processing, 2019, 34(3): 491-499.

Research on Stockpile Volume Measurement Using 3D LiDAR Point Clouds

Rong Jun1, Song Chunchang1, Zhang Chenjie1, Shen Ran1, Wang Yongsheng2, Han Xiaobo3*

(1CHN Energy Hebei Dingzhou Power Generation Co., Ltd., Dingzhou 073000, Hebei, China;2The School of Information Engineering, Wuhan University of Technology, Wuhan 430070, Hubei, China;3The School of Automation, Wuhan University of Technology, Wuhan 430070, Hubei, China)

Abstract Given the problems of traditional stockpile volume measurement methods, such as incomplete data collection, non-intuitive data representation, and error accumulation, a stockpile volume measurement method based on light detection and ranging (LiDAR) three-dimensional laser scanning was proposed. The LiDAR deployed on the top of the stockpiles is used to obtain real three-dimensional point cloud data of the stockpile. First, the pass-through filtering algorithm crops and retains the region of interest (ROI) point cloud data. The outlier filtering method removes the noise and irrelevant objects in the three-dimensional space. Then, the ground is reconstructed using the projection method, and the gaps are filled through the upsampling method. Finally, the stockpile model is obtained through the improvedalphashape surface reconstruction algorithm, and its volume is calculated. Experimental results show that this method can accurately measure the volume of a stockpile in a fixed area, with an average measurement accuracy of 98.32%, which greatly improves the statistical efficiency of stockpile volume measurement, thereby reducing manual labor costs.

Key words stockpile volume measurement; LiDAR; 3D scanning; point cloud filtering; surface reconstruction

收稿日期:2024-01-02; 修回日期:2024-01-23

作者简介:荣军(1981—),男,本科,高级工程师。研究方向为智能工业控制系统。E-mail:huabeirong@163.com

*通信作者:韩小博(1997—),男,硕士研究生。研究方向为智能感知技术。E-mail:334942@whut.edu.cn

中图分类号:TN249

文献标志码:A

doi:10.14128/j.cnki.al.20254509.140

X