面向绿色增材制造的多指标定量综合评估方法

刘文, 韦海英, 张敏

【作者机构】 湖南文理学院机械工程学院; 湖南大学汽车车身先进设计制造国家重点实验室
【分 类 号】 TG665
【基    金】 湖南省教育厅优秀青年项目(22B0695)、湖南省自然科学基金面上项目(S2020JJMSXM0483)
全文 文内图表 参考文献 出版信息
面向绿色增材制造的多指标定量综合评估方法

面向绿色增材制造的多指标定量综合评估方法

刘文1, 韦海英2*, 张敏2

(1湖南文理学院机械工程学院,湖南 常德 415000;2湖南大学汽车车身先进设计制造国家重点实验室,湖南 长沙 410082)

摘要 绿色制造背景下产品加工工艺路线的决策不仅要考虑加工时间、质量以及成本等传统指标,还要关注资源消耗、环境影响等绿色指标。然而采用增材制造工艺制造产品时,其工艺参数、设备类型以及材料种类等影响因素与各指标间具有复杂的映射关系,且评估结果受到各指标权重分配的影响,进而导致增材制造产品的多指标绿色性评价存在不确定性。提出基于工艺过程的准则驱动权重分配(technique for ordering preferences by similarity to ideal solution, TOPSIS)多指标评估方法,定量比较增材制造和传统减材制造工艺在生产同一功能零件时在环境、经济、性能和生产效率4个维度的优劣性。分别构建两种工艺路线下累积能耗、制造成本、制造时间等指标的参数化模型,并基于准则驱动权重分配方法,获取完整的工艺路线决策映射空间;以某航空发动机简化轴承座为实例,探究了不同种类材料对工艺路线决策的影响,验证所提方法的适用性,为实现绿色制造背景下增材制造产品加工工艺路线不确定性评估提供了理论支撑。

关键词 绿色制造; 增材制造; 多指标评估; 准则驱动权重分配

0 引言

随着资源危机和环境污染问题日益突出,全面提升绿色制造水平已成为《“十四五”工业绿色发展规划》的重要目标[1]。增材制造技术具有缩短产品制造周期、提升材料利用效率、减少加工工序等优势[2-3],已成为绿色制造的重要生产方式。然而,从工艺层面来看,增材制造过程又存在耗时长、能耗高等劣势。例如,增材制造工艺的比能耗通常比传统加工制造高1~2个数量级,工艺速率低2~3个数量级[4-5],“优”与“劣”的矛盾属性导致该技术难以直观地被评价为“绿色可持续”先进制造技术。因此,从工艺层面综合考虑增材制造工艺参量对资源消耗和环境的影响已成为当前增材制造工艺绿色评价的关键所在。

在绿色制造背景下,针对制造工艺的绿色评价不仅要考虑加工产品时的加工效率、加工质量以及制造成本等传统指标,还要关注该工艺的资源消耗、环境影响程度等绿色指标[6]。然而,在增材制造过程中,工艺参数与评估指标间具有复杂的映射关系,加之材料类型的差异,导致增材制造工艺评估结果呈现不确定性。具体表现在:①同类型增材制造工艺但不同工艺参数、材料和增材制造设备的比能耗存在显著差异。Liu等[7]指出在不同种类材料和不同类型增材设备的情况下,直接能量沉积增材制造工艺的比能耗在60~7 700 MJ/kg之间,相差约128倍。②不同工艺参数对增材制造零件的质量产生重要影响。不合理的工艺参数会导致增材零件产生塌边、孔隙、裂纹等缺陷,从而影响零件的使用寿命[8-10]。③零件自身特征因子如固腔比[11](零件最终体积与材料去除体积之比)、轻量化系数[12](增材零件相对于传统制造零件的轻量化程度)等对工艺路线的决策具有显著影响。例如,零件的固腔比越低,传统减材制造工艺的材料利用效率越低,其比能耗、单位成本等指标越高,导致增材制造工艺路线比传统减材制造工艺路线更具绿色性优势[11]。因此,基于工艺过程建立工艺参数、材料种类、零件特征等关键参量与各指标的关联模型是实现增材制造工艺多指标精确评估的关键。

制造工艺的绿色评价本质上属于多指标决策问题,然而各评估指标之间存在一定程度的不相容性。例如,增加激光功率以提高增材过程的工艺速率,在缩短加工时间的同时可能会使零件内部产生气孔等缺陷,从而影响零件的力学性能[13-15]。准则驱动的权重分配方法是将各指标的权重按照客观设定的分配标准有序排列组合,从而获得多指标决策权重的高分辨率映射空间[16]。使用不同的准则以驱动权重分配可将多个指标的权重分配客观化,避免决策分歧。鉴于此,本文提出基于工艺过程的准则驱动权重分配(technique for ordering preferences by similarity to ideal solution, TOPSIS)多指标评估方法,通过构建增材制造和传统减材制造工艺路线的评估指标参数化模型,建立工艺参数、零件特征、材料种类等影响因子与各指标之间的关联关系,同时将准则驱动权重分配方法与TOPSIS方法相结合,为实现绿色制造背景下增材制造产品加工工艺路线不确定性评估提供了理论支撑。

1 多指标参数化建模

1.1 评估指标

在绿色制造背景下,产品加工工艺路线的决策不仅要考虑经济、产品性能和生产效率,还应该考虑环境影响和资源消耗。本文采用累积能耗指标综合表征制造过程对环境和资源消耗的影响,其定义为零件的材料生产能耗与制造过程所消耗的电能、辅助材料(如切削刀具、切削液、保护气体等)蕴含能之和[17];经济维度的指标为制造成本,包括材料成本、电能成本、人工成本等(由于制造设备为固定资产,不受工艺过程中工艺参数的影响,因此本文未考虑设备成本);性能维度选用屈服强度与延伸率为评估指标;生产效率维度选用制造时间为评估指标,如表1所示。

表1 评估维度及选用指标
Table 1 Evaluation dimensions and selected indicators

Evaluation dimensionIndicatorSymbolEnvironmental impact and resource consumptionCumulative energy consumptioneEconomicManufacturing costcProduction efficiencyManufacturing timetPart performanceYield strengthpElongationp

1.2 材料消耗边界界定

零件的制造过程就是待加工零件经过某种加工工艺路线和相应的加工参数,形成所要求加工特征的过程。制造过程中不仅涉及加工阶段的电能消耗、辅助物料(如气体、刀具、切削液)的消耗,还涉及原材料的消耗。原材料经过一系列子工艺(如成型、气雾化、打印、加工等)之后,最终成形为目标零件,如图1所示。由于材料在每个子工艺阶段存在损耗,因此其平衡表达为:

(1)

(2)

图1 传统减材制造与增材制造工艺材料流

Fig.1 Material flow of CM and AM process

式中:为气雾化工艺原材料投入与粉末产出比值;为成型工艺原材料投入与基板或毛坯产出比值;为增材制造工艺粉末投入与打印毛坯件产出比值。

1.3 各指标参数化模型

(1)制造时间

制造时间通常包含加工时间、待机时间、夹具或刀具换装时间等。假设增材制造与传统减材制造工艺的待机时间、夹具或刀具换装时间均为恒定值且相等,只考虑与工艺参数相关联的加工时间。增材制造工艺的加工时间由打印时间和精加工时间构成,传统减材制造工艺的加工时间由粗加工时间与精加工时间构成,如式(3)、式(4)所示。

(3)

(4)

式中:fPR为增材制造工艺速率;fMRR为材料去除率;ρmat为材料密度。

(2)累积能耗

由累积能耗的定义可知,其包含了材料生产能耗、制造阶段电能消耗以及辅助材料蕴含能。增材制造工艺材料生产能耗包括:原材料生产能耗气雾化工艺粉末生产能耗以及成型工艺基板生产能耗制造阶段的能耗包括:电能消耗切削刀具蕴含能耗以及气体(保护气与送粉气)蕴含能耗式(5)]。传统减材制造工艺材料生产能耗包括:原材料生产能耗以及成型工艺毛坯生产能耗制造阶段的能耗包括:电能消耗切削刀具蕴含能耗以及切削液蕴含能耗式(6)]。

(5)

(6)

式中:Uemb为原材料蕴含比能耗;Uato为气雾化工艺比能耗;Uform为成型工艺比能耗;η为电能转换系数[11],即一次能源(如煤、天然气)转换为电能的效率;UAM为增材制造工艺比能耗;为增材制造工艺后处理精加工过程比能耗;为传统减材制造工艺精加工过程比能耗;为传统减材制造工艺粗加工过程比能耗;Utool为刀具蕴含比能耗;Ugas为气体蕴含比能耗;Uflu为切削液蕴含比能耗;Ttool_rou为粗加工过程刀具使用寿命;Ttool_fin为精加工过程刀具使用寿命;qgas为气体流量;qflu为切削液流量。

(3)制造成本

制造成本主要由材料成本、电能成本以及人工成本构成。增材制造工艺的材料成本主要由粉末材料成本气体成本刀具成本以及基板成本构成,而传统减材制造工艺的材料成本主要由坯料成本切削液成本以及刀具成本构成,如式(7)、式(8)所示。

(7)

(8)

式中:upowder为粉末单价;uworkpiece为坯料单价;ugas为气体单价;uflu为切削液单价;utool为切削刀具单价;uele为电能单价;ulab为人工时薪;qgas为气体流量;qflu为切削液流量;ntool为刀具使用数目。

2 准则驱动权重分配TOPSIS多指标评估模型

准则驱动权重分配方法是将各个指标的权重按照客观设定的准则有序排列组合,从而获得多指标决策权重的高分辨率映射空间[16]。例如,“Halving”准则定义为第2个指标的权重为第1个指标的一半,则4个指标的权重分配系数为:0.533,0.267,0.133,0.067(图2),权重组合共有4!=24种。

图2 准则驱动下各评估指标的权重分配系数

Fig.2 Criteria-driven weighting coefficients for each evaluation index

TOPSIS方法是多目标决策分析中一种常用的有效方法,能充分利用原始数据的信息,其结果能精确地反映各评价方案之间的差距。将准则驱动权重分配方法与TOPSIS多指标评估方法相结合(图3),可获取完整的多指标决策映射空间。其基本步骤如下:

图3 准则驱动权重分配TOPSIS多指标评估框架

Fig.3 TOPSIS multi-index evaluation framework of criterion driven weight allocation

(1)构建决策矩阵

设定n个评估对象和m个评估指标,则初始决策矩阵为:X=(xij)n×m

(9)

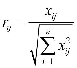
(2)决策矩阵指标同趋化、标准化

统一各项评估指标的单调性,例如,累积能耗、制造成本和制造时间为低优指标,而屈服强度和延伸率为高优指标,因此首先采用倒数法将屈服强度和延伸率转换为低优指标,然后将同趋化决策矩阵标准化。

(10)

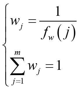
(3)构造加权标准化矩阵

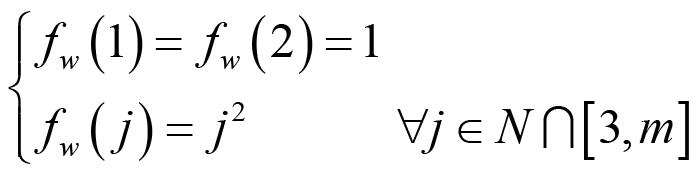
① 采用4种准则(“Uniform”,“Halving”,“Quadratic”和“First two”)驱动权重分配,获取各准则下评估指标的权重系数(图2,本文中零件性能维度的屈服强度和延伸率指标共同均分一个权重系数)。

(11)

式中:是第j个评估指标的权重系数;f(j)为权重分配因子。

“Uniform”准则:

(12)

“Halving”准则:

(13)

“Quadratic”准则:

(14)

“First two”准则:

(15)

②考虑每个评估指标的权重系数,对标准化矩阵进行加权,获得加权标准化矩阵。

(16)

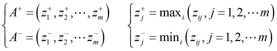
(4)确定正理想解和负理想解

n个评估对象中,评估指标的正理想解和负理想解分别为:

(17)

(5)理想解排序

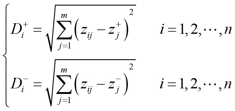
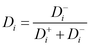
计算每个评估对象到理想解和负理想解的欧氏距离。

(18)

计算各评估对象的相对贴近度,并根据贴近度的大小进行排序。

(19)

式中:Di为第i个评估对象对多指标评估结果的综合贡献系数。

3 应用案例

3.1 试验案例

选取某航空发动机简化轴承座作为实验对象,利用HCX60五轴激光增减材复合制造中心完成其制造。该平台集成了激光直接能量沉积(laser directed energy deposition, LDED)增材工艺与五轴铣削减材工艺,可协同实现“打印-精加工”一体化连续制造过程,如图4(a)所示。图4(b)和图4(c)分别为打印后毛坯件及铣削后的最终零件。传统减材制造工艺选用Mori Seiki NMV 1500 DCG五轴铣削中心[18]。由于不同种类材料在制造阶段的能耗、效率、成本、性能具有显著差异,因此本文选用316L不锈钢、Ti-6Al-4V钛合金以及AlSi10Mg铝合金等3种常用材料作为研究变量,以探索材料类型对工艺路线决策的影响。表2为两种工艺路线制造3种材料的简化轴承座时在各个子工艺阶段的材料消耗。

图4 增材制造工艺实验平台及案例零件

Fig.4 Experimental platform and case part of AM process

表2 轴承座零件在各个子工艺阶段的材料流
Table 2 Material flow of bearing seat in each sub-process

MaterialmAMrawmCMrawmAMpowdermAMprintmAMsubmCMbpmAMfinmCMfinmCMroumAMpart/mCMparta316L4.11711.3662.3682.2551.59610.8250.6970.4658.8021.559Ti-6Al-4V2.3226.4091.3351.2720.9006.1040.3930.2624.9630.879AlSi10Mg1.3783.8030.7920.7550.5343.6220.2330.1552.9450.522

a两种工艺路线均制造同一功能性零件,未考虑增材制造轻量化影响。

3.2 数据清单

增材制造过程中的时间消耗、电能消耗、材料消耗以及零件性能与工艺参数息息相关。通过实验及相关文献[19-23]获取了3种材料的优化工艺参数(表3),该工艺参数下3种材料的增材制造零件均具有优异的拉伸力学性能。表4为增材制造实验平台与传统Mori Seiki NMV 1500 DCG五轴铣削中心在制造阶段的比能耗表达式[24],通过将表3的工艺参数代入表4的比能耗表达式,计算获取了两种工艺路线在制造阶段的比能耗,而原材料生产、气雾化以及成型子工艺过程的比能耗由相关文献[21, 25-26]获取,如表5所示。此外,原材料、辅助材料、电能以及人工成本的单价[21, 26]如表6所示。

表3 AM与CM工艺参数及零件拉伸力学性能[19-23]
Table 3 Process parameters and tensile mechanical properties of AM and CM[19-23]

ItemAM316LTi-6Al-4VAlSi10Mg316LCMTi-6Al-4VAlSi10MgLaser power P/W7002 000600———Process rate fPR/(g·min—1)2.55.80.4———Gas flow qgas/(L·min—1)24.018.824.0———fMRR for fine machining/(mm3·min-1)1 1465569 4001 1465569 400fMRR for rough machining/(mm3·min-1)———8 5807 03790 000Cutting fluid flow qflu/(g·min-1)———7.97.97.9Yield strength/MPa44895820026287899Elongation/%43.716.55.055.020.06.5

表4 AM与CM工艺在制造阶段的比能耗表达式[24]
Table 4 SEC formula for AM and CM processes at manufacturing stage[24]

ItemFormulaSEC for AM/(MJ·kg-1)SEC for AM post-processing (fine machining)/(J·mm-3)SEC for CM/(J·mm-3)

表5 各子工艺过程比能耗[21, 25-26]
Table 5 SEC of each sub-process[21, 25-26]

Sub-processSymbol316LTi-6Al-4VAlSi10MgRaw material production/(MJ·kg-1)Uemb80.0556.0125.0Atomization/(MJ·kg-1)Uato34.070.08.1Forming/(MJ·kg-1)Uform20.014.511.2AM/(MJ·kg-1)UAM320.8179.71.1×103AM post-processing (fine machining)/(J·mm-3)SECAMfin203.0405.535.5Fine machining for CM/(J·mm-3)SECCMfin111.7226.416.7Rough machining for CM/(J·mm-3)SECCMrou17.921.14.9

表6 原材料、辅助材料、电能以及人工成本单价[21, 26]
Table 6 Unit prices for raw materials, auxiliary materials, electricity and labor costs[21, 26]

ItemSymbolUnit priceItemSymbolUnit price316L powder/(RMB·kg-1)upowder_316L170Argon/(RMB·L-1)ugas_Ar12.5Ti-6Al-4V powder/(RMB·kg-1)upowder_Ti-6Al-4V1 344Cutting tool/(RMB·tool-1)utool153AlSi10Mg powder/(RMB·kg-1)upowder_AlSi10Mg476Cutting fluid/(RMB·kg-1)uflu7316L billet/(RMB·kg-1)uworkpiece_316L23Electricity/(RMB·kW-1·h-1)uele1Ti-6Al-4V billet/(RMB·kg-1)uworkpiece_Ti-6Al-4V215Labor/(RMB·h-1)ulab25AlSi10Mg billet/(RMB·kg-1)uworkpiece_AlSi10Mg25

4 分析与讨论

4.1 指标计算结果及分析

利用建立的参数化累积能耗模型、制造时间模型以及制造成本模型,可有效地针对某一道工序或整个加工过程的指标数据进行估算,并获悉不同材料、不同制造工艺对各指标的影响。图5展示了增材制造工艺与传统减材制造工艺生产同一简化航空轴承座时所耗费的能源、时间、成本情况。

图5 累积能耗、制造时间以及制造成本指标计算结果

Fig.5 Results of cumulative energy consumption, manufacturing time, and manufacturing cost

(1)累积能耗

从各个制造工序的耗能分布来看,增材制造工艺在制造阶段消耗了大量的电能,而传统减材制造工艺由于材料使用效率低下而导致原材料生产能耗过高。例如,增材制造工艺生产316L不锈钢和AlSi10Mg铝合金材料的简化航空轴承座时,制造阶段的电能消耗分别占总能耗的74.6%和89.6%,而传统减材制造工艺生产Ti-6Al-4V钛合金材料的简化航空轴承座时,原材料生产能耗占总能耗的93.4%。能耗对比结果表明增材制造工艺虽然能够提高材料利用效率,但是也存在电能消耗过高的缺点。316L不锈钢和AlSi10Mg铝合金材料的简化航空轴承座更适合用传统减材制造工艺生产,而Ti-6Al-4V钛合金材料的简化航空轴承座采用增材制造工艺生产时更节能。这主要是由于Ti-6Al-4V钛合金材料的原材料生产耗能高(表5,Ti-6Al-4V钛合金原材料生产的比能耗是316L不锈钢原材料生产的7倍),当传统减材制造工艺的材料使用效率低下时,原材料生产能耗已超过增材制造工艺的总能耗。

(2)制造时间

增材制造工艺生产3种材料的简化航空轴承座时所耗费的时间均大于传统减材制造工艺,尤其是316L不锈钢和AlSi10Mg铝合金材料,增材制造工艺的制造时间分别是传统减材制造工艺的5.6倍和120倍。这主要是由于增材阶段的低工艺速率导致制造时间过长(表3),从而造成生产效率低下。通常,增材制造的工艺速率比传统减材制造低3个数量级[4-5],这也是造成增材阶段电能耗费较高的原因之一。

(3)制造成本

本文中增材制造工艺的制造成本均高于传统减材制造工艺,但3种材料的主要成本消耗是不同的。增材制造工艺中,316L不锈钢材料的主要成本消耗是人工、电能和粉末成本,Ti-6Al-4V钛合金材料的主要成本消耗是粉末成本,而AlSi10Mg铝合金材料主要成本消耗是人工、电能和氩气成本。这主要与零件的制造时间以及粉末材料的购买价格相关,316L不锈钢材料和AlSi10Mg铝合金材料的增材制造工艺制造时间远远高于传统减材制造工艺,造成与制造时间相关的成本如人工、电能成本增加。当制造时间相差不大时,Ti-6Al-4V钛合金材料的粉末购买成本占主要成本消耗。例如,Ti-6Al-4V钛合金材料的单价分别是316L不锈钢材料和AlSi10Mg铝合金材料的7.9倍和2.8倍(表6)。但是在传统减材制造工艺中,刀具成本和毛坯成本占主导地位,这主要是由于传统减材制造工艺材料利用效率低下的特性造成的。一方面,生产同一零件传统减材制造工艺相比增材制造工艺消耗更多的原材料。另一方面,更多的毛坯原料需要经过粗、精加工去除,刀具磨损更严重,造成刀具成本上升。

(4)力学性能

由表3可知,3种材料的增材制造零件的屈服强度均高于传统铸造材料的零件,而延伸率相反。这主要是由于增材过程中熔池快速凝固形成了位错网络,并在晶胞边界处产生化学微偏析,阻碍了位错运动,提升了屈服强度。而延伸率差是因为零件内部层与层之间出现了冶金未结合缺陷或者粉末未融化缺陷[27-28]。工艺参数对零件的力学性能影响至关重要,工艺参数会影响增材零件的微观结构、孔隙率和残余应力的形成,最终影响零件的力学性能[29]。通过改变工艺参数以无限制地提高增材过程的工艺速率会造成零件力学性能缺失,无法满足实际应用需求。

4.2 多指标评估结果及分析

两种工艺路线生产不同材料的简化航空轴承座时在均分权重分配下的评估分值如图6所示。对于316L不锈钢和AlSi10Mg铝合金材料,传统减材制造工艺的评估分值高于增材制造工艺,而Ti-6Al-4V钛合金材料的评估分值刚好相反,表明Ti-6Al-4V钛合金材料的简化航空轴承座零件在评估指标权重均匀分配的情况下更合适用增材制造工艺方案。进一步地,分析各评估指标对评估分值的贡献度,如图7所示。对于316L不锈钢AlSi10Mg铝合金材料,增材制造零件在屈服强度方面更有优势,而在延伸率、累积能耗、制造成本方面均处于劣势地位,尤其在制造时间上,增材制造耗费的时间远远高于传统减材制造,这是由于增材制造阶段低工艺速率造成的。对于Ti-6Al-4V钛合金材料,增材制造工艺在累积能耗方面更具优势,这是由于增材制造能够显著提高材料利用效率,降低了原材料需求,从而减少了原材料生产阶段的能耗(见图5)。

图6 均分权重分配下评估分值图

Fig.6 Assessment score under “uniform” weight allocation

图7 均分权重分配下各评估指标对评估分值的贡献度

Fig.7 The contribution of each evaluation index to the score under “uniform” weight allocation

其他3种权重分配准则(分别是“Halving”“Quadratic”和“First two”)下4个维度(分别是环境e、经济c、性能篇p和生产效率t)的权重有序组合产生了3×4!=72种权重分配,并最终获得了具有评估分值的决策空间图,如图8所示。例如,“Halving”准则的四指标权重分别为0.533、0.267、0.133、0.067(图1),则图8(a)中的“ctpe”即表示当前组合下经济、生产效率、性能和环境的权重值分别为0.533、0.267、0.133、0.067。

图8 3种准则驱动权重分配下的决策映射空间

(a)“Halving”准则权重分配;(b)“Quadratic”准则权重分配;(c)“First two”准则权重分配

Fig.8 Decision mapping space driven by three criteria for weight allocation

(a)“Halving” criteria for weight allocation; (b)“Quadratic” criteria for weight allocation; (c)“First two” criteria for weight allocation

总体来看,本案例中3种材料的简化轴承座均更适合用传统减材制造工艺生产,尤其是AlSi10Mg铝合金材料,除了屈服强度占优之外,增材制造在累积能耗、制造时间、制造成本等指标中均大幅度高于传统减材制造(图6),从而导致传统减材制造的评估分值在多数权重组合下均高于传统减材制造。然而,在特别注重零件性能的条件下(如航空航天零件),如图8(b)的“pcte”组合,性能的权重比值达到了0.825,此时增材制造的评估分值高于传统减材制造,表明此种权重分配下增材制造工艺路线更优。

5 结论

综合考虑环境、经济、性能和生产效率4个维度的评估指标,本文提出了基于工艺过程的准则驱动权重分配TOPSIS多指标评估方法。基于零件制造过程材料流特性,分别构建了增材制造和传统减材制造工艺的累积能耗、制造成本、制造时间等指标的参数化模型。以某航空发动机简化轴承座为应用案例,研究了316L不锈钢、Ti-6Al-4V钛合金以及AlSi10Mg铝合金等3种常用金属材料对工艺路线决策的影响,验证了所提方法的适用性。案例研究表明,制造钛合金材料简化轴承座时,均分权重下增材制造工艺路线优于传统铣削减材制造。由多个准则驱动生成的决策映射空间既可以满足特定权重下的决策需求,又可以直观地表达决策方案对权重分配结果的敏感性。准则驱动权重分配TOPSIS多指标评估方法为实现绿色制造背景下增材制造产品加工工艺路线不确定性评估提供了理论支撑。

参考文献

[1] 王政. 《“十四五”工业绿色发展规划》提出全面提升绿色制造水平[J]. 企业观察家, 2023, (4): 41. WANG Z.The 14th Five-Year Plan for Industrial Green Development proposes to comprehensively enhance green manufacturing [J]. Enterprise Observer, 2023, (4): 41.

[2] 王勇, 周雪峰. 激光增材制造研究前沿与发展趋势[J]. 激光技术, 2021, 45(4): 475-484. WANG Y, ZHOU X F. Research front and trend of specific laser additive manufacturing techniques[J]. Laser Technology, 2021, 45(4): 475-484.

[3] 张春雨, 陈贤帅, 孙学通. 金属3D打印制造技术的发展[J]. 激光技术, 2020, 44(3): 393-398. ZHANG C Y, CHEN X S, SUN X T. The development situation of metal 3D printing manufacturing technology[J]. Laser Technology, 2020, 44(3): 393-398.

[4] GUTOWSKI T, JIANG S, COOPER D, et al. Note on the rate and energy efficiency limits for additive manufacturing[J]. Journal of Industrial Ecology, 2017, 21(S1):S69-S79.

[5] FRANCO A, ROMOLI L. Characterization of laser energy consumption in sintering of polymer based powders[J]. Journal of Materials Processing Technology, 2012, 212(4): 917-926.

[6] 刘培基, 刘飞, 王旭, 等. 绿色制造的理论与技术体系及其新框架[J]. 机械工程学报, 2021, 57(19): 165-179. LIU P J, LIU F, WANG X, et al. The theory and technology system of green manufacturing and their new frameworks[J]. Journal of Mechanical Engineering, 2021, 57(19): 165-179.

[7] LIU Z Y, LI C, FANG X Y, et al. Energy consumption in additive manufacturing of metal parts[J].Procedia Manufacturing, 2018, 26: 834-845.

[8] 田军, 谢迁成, 龙樟, 等. 激光选区熔化AlSi10Mg成型工艺及性能研究[J]. 应用激光, 2023, 43(9): 37-48. TIAN J, XIE Q C, LONG Z, et al. Research on the forming process and properties of laser selective melting of AlSi10Mg[J]. Applied Laser, 2023, 43(9): 37-48.

[9] KOMARASAMY M, SHUKLA S, WILLIAMS S, et al. Microstructure, fatigue, and impact toughness properties of additively manufactured nickel alloy 718[J]. Additive Manufacturing, 2019, 28: 661-675.

[10] 邓煜华, 黎振华, 姚碧波, 等. 热累积效应对选区激光熔化钴铬合金组织和性能的影响[J]. 应用激光, 2023, 43(1): 32-44. DENG Y H, LI Z H, YAO B B, et al. Effect of thermal accumulation on microstructure and mechanical properties of selective laser melting cobalt-chromium alloy[J]. Applied Laser, 2023, 43(1): 32-44.

[11] PRIARONE P C, CAMPATELLI G, MONTEVECCHI F, et al. A modelling framework for comparing the environmental and economic performance of WAAM-based integrated manufacturing and machining[J]. CIRP Annals, 2019, 68(1): 37-40.

[12] PRIARONE P C, INGARAO G, LUNETTO V, et al. The role of re-design for additive manufacturing on the process environmental performance[J]. Procedia CIRP, 2018, 69: 124-129.

[13] ZHAI W G, ZHOU W, NAI S M L. In-situ formation of TiC nanoparticles in selective laser melting of 316L with addition of micronsized TiC particles[J]. Materials Science and Engineering: A, 2022, 829: 142179.

[14] 郑洋, 赵梓昊, 刘伟, 等. 高性能镁合金增材制造技术研究进展[J]. 机械工程学报, 2024, 60(7): 385-400. ZHENG Y, ZHAO Z H, LIU W, et al. Research progress in high-performance Mg alloys prepared by additive manufacturing[J]. Journal of Mechanical Engineering, 2024, 60(7): 385-400.

[15] 吴东江, 黄云飞, 赵大可, 等. 直接激光沉积熔体自生氧化铝/钛酸铝复合陶瓷微观组织及力学性能[J]. 机械工程学报, 2022, 58(14): 212-222. WU D J, HUANG Y F, ZHAO D K, et al. Microstructure and mechanical properties of melt growth alumina/aluminum titanate composite ceramics prepared by directed laser deposition[J]. Journal of Mechanical Engineering, 2022, 58(14): 212-222.

[16] PAGONE E, SALONITIS K, JOLLY M. Automatically weighted high-resolution mapping of multi-criteria decision analysis for sustainable manufacturing systems[J]. Journal of Cleaner Production, 2020, 257:120272.

[17] LIU Z Y, LI C, FANG X Y, et al. Cumulative energy demand and environmental impact in sustainable machining ofinconel superalloy[J]. Journal of Cleaner Production, 2018, 181: 329-336.

[18] CAMPATELLI G, MONTEVECCHI F, VENTURINI G, et al. Integrated WAAM-subtractive versus pure subtractive manufacturing approaches:An energy efficiency comparison[J]. International Journal of Precision Engineering and Manufacturing-Green Technology, 2020, 7(1): 1-11.

[19] CARROLL B E, PALMER T A, BEESE A M. Anisotropic tensile behavior of Ti-6Al-4V components fabricated with directed energy deposition additive manufacturing[J]. Acta Materialia, 2015, 87: 309-320.

[20] KIANI P, DUPUY A D, MA K K, et al. Directed energy deposition of AlSi10Mg: Single track nonscalability and bulk properties[J]. Materials &Design, 2020, 194: 108847.

[21] LUNETTO V, PRIARONE P C, KARA S, et al. A comparative LCA method for environmentally friendly manufacturing: Additive manufacturing versus machining case[J]. Procedia CIRP, 2021, 98: 406-411.

[22] INGARAO G, PRIARONE P C, DENG Y L, et al. Environmental modelling of aluminium based components manufacturing routes: Additive manufacturing versus machining versus forming[J]. Journal of Cleaner Production, 2018, 176: 261-275.

[23] QIU C L, RAVI G A, DANCE C, et al. Fabrication of large Ti-6Al-4V structures by direct laser deposition[J]. Journal of Alloys and Compounds, 2015, 629: 351-361.

[24] LIU W, DENG K K, WEI H Y, et al. A decision-making model for comparing the energy demand of additive-subtractive hybrid manufacturing and conventional subtractive manufacturing based on life cycle method[J]. Journal of Cleaner Production, 2021, 311: 127795.

[25] AHMAD N, ENEMUOH E U. Energy modeling and eco impact evaluation in direct metal laser sintering hybrid milling[J]. Heliyon, 2020, 6(1): e03168.

[26] LUNETTO V, CATALANO A R, PRIARONE P C, et al. Additive manufacturing for an urban vehicle prototype: Re-design and sustainability implications[J]. Procedia CIRP, 2021, 99: 364-369.

[27] 王红伟, 尹冠飞, 李峰, 等. 线能量密度对内燃机用激光增材Ti2AlNb合金组织及力学性能的影响[J]. 应用激光, 2023, 43(1): 52-58. WANG H W, YIN G F, LI F, et al. Effect of linear energy density onthe microstructure and mechanical properties of laser additive manufactured Ti2AlNb alloy for internal combustion engine[J]. Applied Laser, 2023, 43(1): 52-58.

[28] BARKIA B, AUBRY P, HAGHI-ASHTIANI P, et al. On the origin of the high tensile strength and ductility of additively manufactured 316L stainless steel:Multiscale investigation[J]. Journal of Materials Science &Technology, 2020, 41: 209-218.

[29] SHAMSAEI N, YADOLLAHI A, BIAN L K, et al. An overview of direct laser deposition for additive manufacturing; Part Ⅱ: Mechanical behavior, process parameter optimization and control[J]. Additive Manufacturing, 2015, 8: 12-35.

A Multi-Index Quantitative Synthetical Evaluation Method for Green Additive Manufacturing

Liu Wen1, Wei Haiying2*, Zhang Min2

(1 College of Mechanical Engineering , Hunan University of Arts and Science, Changde 415000, Hunan, China;2 State Key Laboratory of Advanced Design and Manufacturing for Vehicle Body, Hunan University,Changsha 410082, Hunan, China)

Abstract The decision-making of product processing route in the context of green manufacturing should not only consider conventional indicators such as processing time, quality, and cost, but also pay attention to green indicators such as resource consumption and environmental impact. However, when additive manufacturing (AM) process is used to produce products, there is a complex mapping relationship between the process parameters, equipment type and material type and the above indicators, and the evaluation results are also affected by the weight allocation of each indicator, resulting in uncertainty in the evaluation of multi-index greenness of AM products. This study introduces a process-based, criteria-driven weight allocation TOPSIS method for multi-index synthetic evaluation, quantitatively contrasting the environmental, economic, performance, and production efficiency aspects of AM and conventional subtractive manufacturing (CM) processes when fabricating identical functional parts. Parametric models for cumulative energy consumption, manufacturing cost, and manufacturing time of both processes were developed, and a comprehensive decision mapping space was established using the criteria-driven weight allocation approach. A case study of a simplified aeroengine bearing seat was conducted to investigate the impact of material types on process route decisions, thereby validating the proposed method′s applicability. This research offers theoretical insights into the assessment of uncertainties associated with AM product processing routes within the framework of green manufacturing.

Key words green manufacturing; additive manufacturing; multi-index evaluation; criteria-driven weight allocation

收稿日期:2022-11-13;修回日期:2024-12-07

基金项目:湖南省教育厅优秀青年项目(273513)、湖南省自然科学基金面上项目(S2020JJMSXM0483)

作者简介:刘文(1991—),男,博士,讲师。研究方向为增材制造、绿色制造。E-mail:lw@huas.edu.cn

*通信作者:韦海英(1977—),女,博士,副教授。研究方向为绿色制造。E-mail:jvember@hnu.edu.cn

中图分类号: TG665

文献标志码: A

doi: 10.14128/j.cnki.al.20254507.048

X

generalInfo.init(); detailCommon.init(); if (showCount > 0) { // > 0 表示有全文 detailArticle.init(); detailImg.init(); } detailPublish.init(); })