Ni箔对镁/钢激光焊接温度场和接头组织的影响

修英鹏, 毛锡亮, 张靖洋, 赵朋宇, 周兴昌, 刘凤德, 张宏

【作者机构】 长春理工大学机电工程学院
【分 类 号】 TG456.7
【基    金】 吉林省科技发展计划项目(20230203196SF)
全文 文内图表 参考文献 出版信息
Ni箔对镁/钢激光焊接温度场和接头组织的影响

Ni箔对镁/钢激光焊接温度场和接头组织的影响

修英鹏, 毛锡亮, 张靖洋, 赵朋宇, 周兴昌, 刘凤德*, 张宏

(长春理工大学机电工程学院,吉林 长春 130022)

摘要 为研究添加Ni箔对镁/钢激光焊接接头的宏观表面形貌、微观组织以及拉伸性能影响,利用SYSWELD模拟软件对添加Ni箔时镁/钢激光焊接过程进行温度场数值模拟分析,将仿真结果与实际焊接实验进行对比,结合二元合金相图分析了镁/钢激光焊接机理、宏观表面形貌和微观组织,并对焊接接头拉伸性能进行测试。结果表明:当激光功率P=1.3 kW,焊接速度v=6 mm/s时,接头拉伸强度最大,达到166 N/mm;钢侧焊缝主要由Fe-Ni固溶体组成,镁侧焊缝主要由Mg2Ni、MgNi2α-Mg和AlNi相组成;拉伸强度呈现先增大后减小趋势。Ni箔可以减缓热量从上层钢板向下层镁板的传递,抑制焊接过程中镁蒸气的逸出;添加Ni箔对镁/钢激光焊接过程具有显著影响,可以改善焊接接头的表面形貌,并提高其拉伸强度。

关键词 镁/钢激光叠焊; 数值模拟; 微观结构; Ni箔

0 引言

镁合金因其具有密度小、高比强度、高比刚度、加工性能优异、耐蚀性优良等特点而备受关注,镁合金-钢异种金属焊接组成的复合结构具有轻量化、耐蚀性好等优势,广泛应用于航空航天、汽车工业、电子产品等领域。然而镁和钢热物理性能存在较大差异,镁和钢之间不产生固溶体或金属间化合物,因此实现镁和钢优质连接一直是研究的难点[1-2]

在镁/钢异种金属材料的焊接中,根据Mg-Fe二元相图,Fe在Mg中的固溶度为零,二者既不互溶也不产生金属间化合物,难以实现稳定可靠的连接。为了解决这一难题,许多学者试图通过预制粉末、金属夹层、填丝等来添加中间元素(Zn、Sn、Al、Cu、Ni)[3-8],实现镁/钢的稳定可靠结合。研究表明,Cu、Ni、Al、Sn等金属元素能与Fe和Mg发生冶金反应,生成金属间化合物,有助于改善焊接接头的质量和力学性能,但有关金属间化合物形成机理的研究还略显不足。随着研究的不断深入,有关改善镁/钢金属间化合物的形成和提高焊接接头力学性能的方法还包括振荡激光焊接技术和添加交变磁场。戎易等[9]在AZ31B镁合金和Q235钢激光熔钎焊试验中,通过外加纵向交变磁场来调控焊接接头组织形貌,试验结果表明,强烈的电磁搅拌促进了镁、镍、铁元素之间的扩散,改善了焊接接头中金属化合物的分布,提高了接头力学性能。Li等[10]在镁/钢振荡激光焊接试验中发现,在振荡激光的光束旋转下,焊缝中气孔和裂纹等缺陷得到改善,接头的力学性能提高。激光焊接的焊接过程是一个快速而又不均匀的热循环过程,传统焊接工艺无法预测焊接过程中的热分布,通过试验方式对温度场进行测量成本高且效率低,借助计算机模拟技术对焊接进行数值模拟,对焊接结果进行预测,既可以降低生产成本,又能对焊接接头质量进行预测控制。Hou等[11]在COMSOL上建立一种新型的热源模型对镁合金激光焊接过程进行数值模拟,研究了脉冲激光参数对温度场和熔池形态的影响,模拟结果与实测的热循环曲线和焊缝形状吻合良好。谭哲[12]运用ANSYS有限元软件,建立了钢/镁异种金属激光焊接有限元模型。该模型综合考虑了材料物性参数的温度相关性、初始条件和边界条件等因素,模拟计算钢/镁焊接接头温度场分布,验证了采用高斯体热源模型来模拟双相钢/镁合金焊接接头温度场的合理性。

对于金属熔化焊的数值模拟,世界各地许多学者都进行了研究,但对于镁合金与钢激光焊接模拟优化和通过温度场来预测金属间化合物的研究却很少。本文通过二次开发SYSWELD软件的材料库,结合AZ31B镁合金、DP780双相钢、Ni箔的热物性参数,建立了适用于钢上镁下的材料数据库。对激光功率为1.3 kW、焊接速度为6 mm/s、离焦量15 mm工艺参数条件下的镁/钢激光焊接开展模拟仿真,对温度场进行模拟,结合温度场仿真结果分析焊接接头的组织变化。此外,本文还对焊接接头拉伸性能进行了研究。

1 实验材料与方法

母材为100 mm×30 mm×1.5 mm的AZ31B镁合金和100 mm×30 mm×1 mm的DP780双相钢,中间层为0.1 mm厚的Ni箔,焊接试验所用设备为HL4006D12的Nd:YAG激光器,焊接保护气流量为15 L/min的99%氩气,将AZ31B镁合金置于DP780双相钢之下,并在二者之间添加0.1 mm厚的镍箔,将板材放置于工作台上夹紧。经过前期的预实验,选定的最佳参数为激光功率1.3 kW,焊接速度6 mm/s,离焦量为15 mm。焊接结束后,用电火花线切割机切下12 mm×10 mm的试样,镶嵌、打磨、抛光至表面无明显划痕,然后用4%的硝酸酒精溶液进行腐蚀,采用扫描电子显微镜(scanning electron microscope,SEM)和能谱分析仪(energy dispersive spectrometer,EDS)对钢侧焊缝和镁侧焊缝金属间化合物进行分析;采用电子万能试验机对拉伸试样进行室温拉伸试验,速度为0.5 mm/min,同种参数进行3次拉伸试验,取3次测试结果的平均值代替最终的拉伸试验数据[13-15]

2 温度场模拟

2.1 模型的建立与网格划分

在进行仿真计算时,采用的AZ31B镁合金尺寸为100 mm×30 mm×1.5 mm,DP780双相钢尺寸为100 mm×30 mm×1 mm,为了兼顾模拟计算的准确性和计算速度,采用非均匀的网格划分,焊缝及其附近区域由于存在较大的温度梯度,如图1(a)中p区域所示,网格应尽可能细密,远离焊缝母材温度梯度较小,网格相应划分稀疏,本次实验所画网格如图1(a)、(b)所示[16]

图1 镁/钢激光焊接几何模型

(a)正面;(b)侧面

Fig.1 Geometric model of magnesium/steel laser welding

(a)Front; (b)profile

2.2 定义建立模型的材料属性

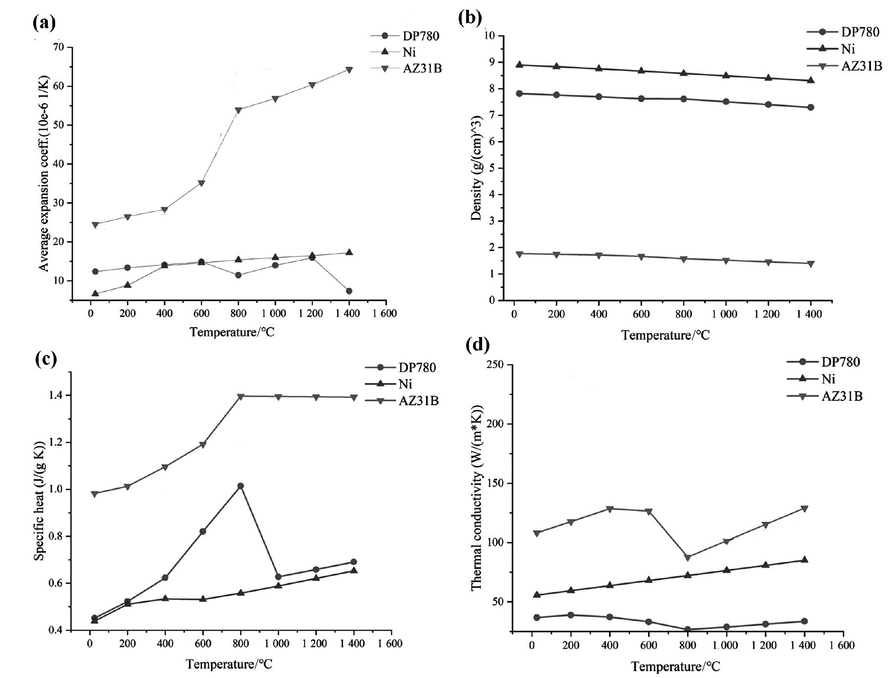
对于常见的焊接材料,可以直接在SYSWELD自带材料库中调用,本实验中采用的材料无法从SYSWELD本身自带的材料库中调用,因此本实验所需材料的热物理性能参数采用Jmatppro7.0软件根据材料成分计算出所需材料的热物理性能,包括导热系数、密度、比热容以及热导率。得到的AZ31B镁合金、DP780双相钢和Ni箔的材料热物理性能参数随温度变化的曲线如图2所示,在Visual Weld中Material Database模块对所需要的材料进行二次开发。

图2 材料热物理性能参数随温度变化的曲线图

(a)导热系数;(b)密度;(c)比热容;(d)热导率

Fig.2 Plot of thermophysical property parameters of materials as a function of temperature

(a)Thermal conductivity; (b)density; (c)specific heat capacity; (d)thermal conductivity

2.3 焊接热源的选择与热源校核

在实际激光焊接过程中,激光以光斑形式作用在DP780钢表面,钢上表面有微量熔化,为了贴合实际情况,模拟仿真的热源选择2D高斯热源模型,其函数表达式为:

(1)

式中:z为热源高度,mm;re为上端二维高斯热源的半径,mm;ri为底部二维高斯热源的半径,mm。在激光功率P=1.3 kW,焊接速度v=6 mm/s,离焦量15 mm时,镁/钢搭接焊热源校核结果如图3左图所示;图3右图为钢上镁下激光焊接接头横截面模拟结果与实际焊接尺寸的对比图,模拟仿真所获得的熔池形貌与实际焊接所获得的接头形貌重合度良好,说明该仿真模型对温度场的计算和分析是合理的[16-20]

图3 模拟仿真温度场分布图云图与实际焊缝截面对比图

Fig.3 Comparison between the simulated temperature field distribution map cloud and the actual weld cross-section

3 结果与讨论

3.1 温度场仿真结果

在激光功率1.3 kW,焊接速度6 mm/s,离焦量15 mm的工艺参数下,未添加Ni与添加Ni箔的横截面温度场分布如图4所示。由图4可知,在未添加Ni中间层时上层钢板并未完全熔化,而下层镁合金已经有部分区域温度超过沸点,镁蒸气在逸出过程中会产生严重飞溅,影响焊接质量。添加Ni箔之后,相较不添加中间层,镁合金板温度达到沸点的区域减小,宽度从2.04 mm减小到1.80 mm,厚度从0.4 mm减小到0.34 mm,这表明Ni箔可以减缓热量从上层钢板向下层镁板传递,在焊接过程中对镁蒸气的逸出有一定的抑制作用。

图4 未添加Ni与添加Ni箔的横截面温度场分布图

Fig.4 Cross-sectional temperature field distribution of un-added Ni vs.added Ni foils

为分析镁侧上表面热循环的影响,在镁合金板上每隔3 mm取一个点,提取其热循环曲线,如图5所示。可以看出激光加工过程是一个温度快速上升,又快速下降的过程,且随着焊接的进行,各点的最高温度逐渐升高。因为在焊接初始阶段,没有足够时间来吸收激光能量,随着焊接的进行,后一个点由于热传导吸收前一个点传递的能量,造成热量叠加,使温度上升。激光焊接结束后最高点的温度开始急剧下降,在大约15 s后温度趋于一致。镁板未添加Ni箔最高温度约为1 360 ℃,添加Ni箔后最高温度约为1 160 ℃,温度梯度减缓,说明Ni箔起到一定的隔热作用。

图5 未添加Ni箔与添加Ni箔的温度循环曲线图

(a)未添加Ni箔;(b)添加Ni箔

Fig.5 Temperature cycling profiles with no Ni foil added vs.Ni foil added

(a)No Ni foil added; (b)Ni foil added

综上所述,在进行镁/钢异种金属激光焊接时,通过预置0.1 mm厚的Ni箔可以有效调控激光焊接过程中的能量传递,从而有利于抑制镁蒸气的逸出并减少飞溅等缺陷的发生。此外,借助使用SYSWELD焊接软件进行模拟仿真,可以为后续试验提供重要的指导信息,通过模拟仿真,能够在实际试验之前对焊接过程进行详细分析和优化,减少了预实验次数,降低了资源浪费。因此,模拟仿真在指导实验方面具有重要作用,能够提供可靠的参考和指导,为试验设计和参数选择提供科学依据。

3.2 焊缝宏观形貌

在不添加Ni箔时,镁/钢激光焊接反应剧烈,火花四溅,镁合金烧损严重。这是由于钢板下表面温度大于镁合金沸点使镁合金气化,镁蒸气压力较大从熔池中逸出,带动上层钢水,产生飞溅。为了获得良好焊接表面并实现钢和镁合金之间冶金结合,在钢和镁合金之间添加Ni箔。经过前期预试验,本试验采用焊接速度为6 mm/s。用控制变量法来调整激光功率,不同激光功率镁/钢激光焊接试样表面宏观形貌如图6所示。当激光功率小于1.1 kW时,镁板和钢板没有产生有效连接,当激光功率达到1.2 kW时,焊缝的宽度较窄,这表明上层钢板熔化较少,随着激光功率的增加,焊缝逐渐变宽,当激光功率达到1.3 kW时,焊缝表面成型较好,呈连续均匀的鱼鳞状,没有产生飞溅、凹陷等缺陷,当功率达到1.4 kW时,由于激光功率太高,上部钢板被焊透,多余热量会使镁合金蒸发,形成镁蒸气,镁蒸气逸出发生剧烈飞溅,使上表面产生凹坑。

图6 不同激光功率镁/钢激光焊接表面宏观形貌

(a)P=1.1 kW;(b)P=1.2 kW;(c)P=1.3 kW;(d)P=1.4 kW

Fig.6 Macroscopic morphology of magnesium/steel laser welded surface with different laser powers

(a)P=1.1 kW; (b)P=1.2 kW; (c)P=1.3 kW; (d)P=1.4 kW

在激光功率为1.3 kW、焊接速度从5 mm/s逐渐增加至8 mm/s的工艺参数下,不同焊接速度镁/钢激光焊接表面宏观形貌如图7所示。当焊接速度低于5 mm/s时,由于热输入量过大,导致下层镁合金板发生气化,焊接过程中火花四溅,进而在焊接表面形成凹坑。随着焊接速度增加至7 mm/s,上层钢板熔化减少,焊缝宽度变窄,焊接表面没有出现凹陷或飞溅现象。然而,当焊接速度进一步增加至8 mm/s时,由于热输入量减少、焊接时间缩短,熔池内金属没有充分反应,无法产生有效连接。通过对比接头表面形态,优化后的焊接工艺参数见表1。

表1 优化后的工艺参数表

Table 1 Table of optimized process parameters

Laserpower/kWWeldingspeed/(mm·s-1)Defocusingquantity/mmProtectivegasflowrate/(L·min-1)1.36+1515

图7 不同焊接速度镁/钢激光焊接表面宏观形貌

(a) v=5 mm/s;(b) v=6 mm/s;(c) v=7 mm/s;(d) v=8 mm/s

Fig.7 Macroscopic morphology of magnesium/steel laser welded surface with different welding speeds

(a) v=5 mm/s;(b) v=6 mm/s;(c) v=7 mm/s;(d) v=8 mm/s

图8是在激光功率P=1.3 kW,焊接速度v=6 mm/s,预置中间层Ni箔厚度D=0.1 mm,离焦量Δf=15 mm,保护气流量为15 L/min的工艺参数条件下,镁/钢激光焊接接头横截面形貌,上板为DP780双相钢板,下层是AZ31B镁合金,紧挨着中夹层Ni箔的上层钢板并未完全熔化,而下层镁合金板由于热量的传导熔化,观察到镁侧熔池呈半球形。熔化的镁合金在冷却后经历了再结晶过程。根据焊接冶金学原理,在凝固过程中,α-Mg相会沿着熔池中最大温度梯度的方向进行反向生长。也就是说,α-Mg相会垂直于熔合线向焊缝中心生长,形成排列整齐的柱状晶体结构。

图8 添加Ni箔焊接接头横截面金相组织

Fig.8 Cross-sectional metallographic organization of welded joints with Ni foil addition

3.3 焊缝微观形貌

根据镁/钢添加Ni中间层异种金属激光焊接接头的特性,把镁/钢焊缝以Ni箔为中心分为上下两部分,第一部分是位于焊缝上部的DP780双相钢与Ni箔的固溶结合界面,定义为钢侧焊缝;第二部分为焊缝下部Ni箔与AZ31B镁合金金属间化合物结合界面,定义为镁侧焊缝,图9为激光功率P=1.3 kW,焊接速度v=6 mm/s,预置中间层Ni箔厚度D=0.1 mm,离焦量Δf=15 mm,保护气流量为15 L/min的工艺参数条件下的焊缝形貌。

图9 激光功率1.3 kW、焊接速度6 mm/s焊缝中心SEM形貌

(a) a区焊缝SEM形貌;(b)b区焊缝SEM形貌;(c)c区焊缝SEM形貌

Fig.9 SEM shape of weld center with laser power 1.3 kW and welding speed 6 mm/s

(a) SEM profile of weld in zone a; (b) SEM profile of weld in zone b; (c) SEM profile of weld in zone c

图9(a)为钢侧焊缝Fe-Ni连接界面,为了验证Fe-Ni两种材料之间是否生成固溶体或者发生反应形成金属间化合物,排除纯机械连接的可能,对界面处进行EDS分析,分析结果见表2。EDS点扫描结果表明,点P1的原子组成为0.57%Mg、1.16%Al、98.26%Fe、0%Ni,故推测点P1处应为钢基体。点P2的原子组成为2.84%Mg、0.84%Al、73.60 %Fe、22.72%Ni,故推测P2区域为Fe+Fe-Ni固溶体。点P3的原子组成为12.17%Mg、24.23%Al、32.04 %Fe、31.56%Ni,故推测点P3的成分为Fe-Ni和AlMg2化合物。点P4的原子组成为3.23%Mg、0.66%Al、43.60%Fe、52.51%Ni。故推测点P4位置为Fe-Ni固溶体。观察图9(a)可以看到,在Fe-Ni结合界面,有一条明显的轮廓线,根据点P1和点P2的EDS分析结果可知,上层颜色较深的区域是钢母材,下层颜色较浅的区域是Fe-Ni固溶体组成。在激光作用下,在焊缝中心区域Ni箔中的Ni原子与熔化的Fe原子无限固溶形成Fe-Ni固溶体。

表2 图9(a)中标记位置EDS点扫描结果

Table 2 Scanning results of EDS points at labeled locations in Figure 9(a)

PointMgAlFeNiPossiblephaseP10.571.1698.270FeP22.840.8473.622.72Fe+Fe-NiP312.1724.2332.0431.56Fe-Ni+AlMg2P43.230.6643.652.51Fe-Ni

图9(b)和9(c)为镁侧焊缝Mg-Ni连接界面,为了验证预置中间层Ni箔对界面反应有何作用,以及Mg-Ni两种材料之间发生反应生成的金属间化合物,对界面处进行EDS分析,分析结果见表3。图9(b)中,在靠近Ni箔的区域主要由锯齿型块状和明白色颗粒形状组成,在镁熔池的中部区域由深色部分和分散的四边形结构组成,在扫描电镜条件下可以看到树枝状和粒状的组织形貌,在图9(c)中区存在大面积的网格状颜色较深的组织紧密相连,为确定界面和焊缝中新生成相的组成,对图中标记位置进行EDS点扫描分析,扫描结果见表3所示。根据EDS点扫描结果表明,点P1的原子占比为60.48%Mg、0.56%Al、0.19%Fe、38.75%Ni,点P2的原子占比为68.20%Mg、0.27%Al、0.68%Fe、30.78%Ni,因此推测P1和P2应为MgNi2。在激光焊接过程中部分熔化的Ni层和熔化的镁层形成焊接熔池,在靠近Ni箔的熔池富Ni部分随着熔池温度降低,发生L→Mg2Ni的转变,形成锯齿状的Mg2Ni。在靠近镁侧的富镁区发生L→Mg2Ni的转变,形成明亮的分散颗粒。继续向下进行点扫,P3点的原子占比为11.53%Mg、40.01%Al、0.20%Fe、48.17%Ni,P4点的原子占比为73.92%Mg、0.39%Al、0.71%Fe、24.97%Ni,根据其化学成分特点,P8点原子组成与P4点相似,故推测P3点主要成分为AlNi,P4和P8点主要成分为α-Mg+Mg2Ni,随着熔池温度的降低,α-Mg首先析出并富集,随着温度继续降低在靠近镁侧的富镁区发生L→Mg2Ni的转变,在液体中析出Mg2Ni(L→Mg2Ni),Al等其他元素被集中,生成了AlNi相。继续向下进行EDS点扫,P5点的原子占比为98.96%Mg、0.63%Al、0%Fe、0.30%Ni,根据Ⅵ点的EDS结果推测其为α-Mg组织。从图9(c)点扫描结果可以看出,越远离Ni箔,Mg原子含量越多而Ni原子含量越来越少,故推测从P6点到P8点,焊缝组织由α-Mg+MgNi2α-Mg+Mg2Ni转变[21]

表3 图9(b)和图9(c)中标记位置EDS点扫描结果

Table 3 Scanning results of EDS points at labeled locations in Figure 9(b) and Figure 9(c)

PointMgAlFeNiPossiblephaseP160.480.560.1938.17Mg2NiP268.080.270.6830.97α-Mg+Mg2NiP311.5340.030.2748.17AlNiP473.920.390.7124.98α-Mg+Mg2NiP599.070.63—0.30α-MgP653.560.740.1445.56α-Mg+MgNi2P763.181.461.5133.85Mg2NiP872.841.360.7225.08α-Mg+Mg2Ni

根据上文的物相组成分析和表3的分析结果可知,在镁/钢激光焊接过程中添加Ni中间层后,镁侧焊缝区域即图9(b)中的P1点、P2点和图9(c)中的P6点、P7点生成了Mg2Ni、MgNi2金属间化合物,这些金属间化合物是产生镁/钢激光焊接可靠接头的主要原因。但在图9(c)中P9处可以看到,在镁侧焊缝中存在裂纹,这些裂纹可能是由于激光焊接快热快冷的特点使物理化学性能差异巨大的两种材料产生焊接后残余应力,裂纹的存在是影响镁/钢焊接接头力学性能的主要原因。

对添加Ni箔的镁/钢焊接接头界面处进行EDS面扫,分析焊接接头元素分布和熔合情况,主要分析Fe、Mg、Al、Ni 4种元素,图10为镁/钢激光焊接焊缝中心区域面扫描图。面扫描越亮的地方代表此处对应元素含量高。图10中(a)、(b)、(c)、(d)分别为Mg、Al、Fe、Ni 4种元素分布图,Al元素在焊缝中心处富集,形成了Al-Ni化合物。可以看出反应层主要是Fe、Ni、Mg三种元素,在激光焊接的搅拌作用下钢侧焊缝Fe元素与Ni元素相互扩散生成Fe-Ni固溶体,Mg元素由于浮力向上扩散,Ni元素向下扩散,在镁侧焊缝生成Mg2Ni、MgNi2等化合物,与前文所推测的结果一致。

图10 激光功率1.3 kW,焊接速度6 mm/s镁-Ni-钢接头界面元素分布

(a) Mg元素分布;(b) Al元素分布;(c) Fe元素分布;(d) Ni元素分布

Fig.10 Element distribution at the interface of Mg-Ni-steel joint with laser power 1.3 kW and welding speed 6 mm/s

(a) Mg elemental distribution; (b) Al elemental distribution; (c) Fe elemental distribution; (d) Ni elemental distribution

3.4 拉伸-剪切强度

镁/钢激光焊接的拉伸强度采用线载荷来进行表述,表达式如下:

K=F/L[21]

(2)

式中:F为接头失效所施加外力的大小,N;L为剪切试样上搭接焊缝的长度,mm;K为线载荷,N/mm。

在不添加中间层时,由于镁/钢之间的巨大物理性能和化学性能的差异,镁/钢之间不发生反应且不产生化合物,所以镁/钢直接焊接时,不能获得可靠的焊接接头。在添加中间层Ni箔的情况下,上层Fe与Ni产生固溶体,下层镁合金与Ni生成IMC层,显著提高了接头强度。随着激光功率的不断增大,焊接接头的拉剪强度呈现出先上升后下降的趋势。当激光功率达到1.2 kW时,作用在上层钢板的热量不够,Fe、Ni、Mg 3个元素没有充分的扩散反应,接头实际焊上部分较小,无法承受过高的载荷,拉伸强度仅为44 N/mm。当激光功率增加至1.3 kW,镁/钢激光焊接拉伸断裂后的试样如图11(a)所示,上层钢板和Ni中间层部分熔化,Fe、Ni、Mg元素在长时间的高温情况下充分扩散,使得拉伸强度升高,拉伸应力-应变曲线如图11(b)所示,达到166 N/mm。当功率增加到1.4 kW时,由于镁合金的沸点较低,部分镁合金蒸发变成镁蒸气,焊缝烧损严重,出现大量飞溅,接头拉伸强度大幅度下降,拉伸强度仅为38 N/mm。

图11 镁/钢激光焊接拉伸断裂后的试样及拉伸应力-应变曲线图

(a)拉伸断裂后的试样;(b)拉伸应力-应变曲线图

Fig.11 Specimen after tensile fracture and tensile stress-strain curves of magnesium/steel laser welding

(a) Specimen after tensile fracture;(b) tensile stress-strain curves

3.5 焊接机理

图12为Fe-Ni[22]和Mg-Ni[23]二元合金相图,根据接头微观组织和元素分布分析以及各点的温度曲线(图5)和Fe-Ni和Mg-Ni二元合金相图,说明Fe/Ni/Mg接头的界面反应机制以及各相的形成顺序。首先激光照射在钢板上表面,热量通过热传导熔化Ni箔和镁合金,在熔池冷却过程中,温度从1 638 ℃逐渐下降到1 133 ℃,AlNi化合物首先从液态熔池中析出(L-ALNi),如图9(a)中P3点位置所示。温度继续降低,当温度低于1 147 ℃并且Ni含量不低于30%时,MgNi2相开始从液相沉淀(L-MgNi2),如图9(c)中P6点位置所示,当温度下降到760 ℃时发生包晶反应(L+MgNi2-Mg2Ni);随着温度持续降低,Mg2Ni相也开始从液相沉淀,值得注意的是,所有的Mg2Ni相都附着在未熔化的Ni箔上,并以多边形或锯齿形生长。如图9(b)中P4、P5点位置所示,当温度下降到650 ℃时,α-Mg开始固化和沉淀,如图9(b)中P1点位置所示,最后当温度降低到506 ℃时发生共晶反应(L-α-Mg+Mg2Ni)。由于共晶反应所需的Ni含量相对降低,所以在未熔化的Ni箔和AlNi相之间形成了大面积的共晶组织。基于上述冶金反应,激光焊接接头拉伸强度有了显著提高[24]

图12 Fe-Ni和Mg-Ni二元合金相图

(a) Fe-Ni二元合金相图;(b) Mg-Ni二元合金相图

Fig.12 Phase diagram of Fe-Ni and Mg-Ni binary alloys

(a) Phase diagram of Fe-Ni binary alloys;(b) phase diagram of Mg-Ni binary alloys

4 结论

(1)2D平面高斯热源在镁/钢激光焊接模拟仿真熔池形貌与实际激光焊接相吻合,因此该热源模型可以代替实际热源进行温度场的仿真研究。

(2)添加中间层Ni箔比不加中间层Ni箔镁板上表面最高温度下降200 ℃,添加Ni箔之后的温度场相较不添加中间层,镁合金板温度达到沸点的区域减小,宽度从2.04 mm减小到1.80 mm,厚度从0.4 mm减小到0.34 mm,这表明Ni箔可以减缓热量从上层钢板向下层镁板的传递,在焊接过程中对镁蒸气的逸出有一定抑制作用。

(3)随着温度的变化,镁侧焊缝依次生成AlNi、MgNi2、Mg2Ni以及由α-Mg+Mg2Ni组成的共晶组织,钢侧焊缝Fe原子和Ni原子形成Fe-Ni固溶体,镁侧焊缝的金属间化合物层和钢侧焊缝的固溶体使激光焊接接头的力学性能得到增强。

参考文献

[1] 曾遨日,雷敏,许兰锋,等.镁/钢异种金属激光焊接现状[J].热加工工艺,2021,50(9):5-9.ZENG A R,LEI M,XU L F,et al.Current status of laser welding of Mg/steel dissimilar metals[J].Hot Working Technology,2021,50(9):5-9.

[2] 冯亚磊,校振华,许婄鑫,等.汽车用AZ91D合金的表面激光熔覆与性能研究[J].应用激光,2023,43(5):11-18.FENG Y L,XIAO Z H,XU B X,et al.Study on surface laser cladding and properties of AZ91D alloy for automobile[J].Applied Laser,2023,43(5):11-18.

[3] 张华,曾遨日,许兰锋,等.Cu对镁合金/双相钢激光深熔焊组织及力学性能影响[J].稀有金属,2021,45(7):804-811.ZHANG H,ZENG A R,XU L F,et al.Characteristics of laser deep penetration welding of Mg alloy/steel controlled by Cu[J].Chinese Journal of Rare Metals,2021,45(7):804-811.

[4] ZHOU H,LIU J S,ZHOU D W,et al.Effect of Al-foil addition on microstructure and temperature field of laser fusion welded joints of DP590 dual-phase steel and AZ31B magnesium alloy[J].Transactions of Nonferrous Metals Society of China,2020,30(10):2669-2680.

[5] ZHOU D W,LIU J S,TAN Z,et al.Effects of Sn-foil addition on the microstructure and mechanical properties of laser welding joint for dual phase steel and magnesium alloy[J].SN Applied Sciences,2019,1(7):694.

[6] YU K,LEI M,ZENG A R,et al.Microstructure and mechanical properties of laser welded magnesium alloy/steel joint using Cu-Si composite interlayer[J].Crystals,2022,12(8):1083.

[7] ZHAO X Y,WANG D,GAO J M,et al.The effect of Ni foil on the interface microstructure and mechanical properties of laser lap welded steel/Mg joint[J].Journal of Materials Research and Technology,2022,19:4672-4682.

[8] 檀财旺,梅长兴,李俐群,等.镁/镀锌钢异种合金单、双光束激光熔钎焊特性[J].中国有色金属学报,2012,22(6):1577-1585.TAN C W,MEI C X,LI L Q,et al.Single and dual beam laser welding-brazing characteristics of magnesium/zinc-coated steel dissimilar alloys[J].The Chinese Journal of Nonferrous Metals,2012,22(6):1577-1585.

[9] 戎易,程东海,熊震宇,等.交变磁场辅助添加镍中间层镁/钢激光熔钎焊接头的组织性能研究[J].中国激光,2021,48(22):2202005.RONG Y,CHENG D H,XIONG Z Y,et al.Microstructure and properties of laser welding-brazing welded joint of Mg/steel with Ni interlayer assisted by alternating magnetic field[J].Chinese Journal of Lasers,2021,48(22):2202005.

[10] LI H M,ZHOU D W,WANG X Y.Oscillating laser welding of AZ31B magnesium alloy to DP590 dual-phase steel[J].Optics &Laser Technology,2023,158:108857.

[11] HOU Z L,LIU L M,LV X Z,et al.Numerical simulation for pulsed laser-gas tungsten arc hybrid welding of magnesium alloy[J].Journal of Iron and Steel Research International,2018,25(9):995-1002.

[12] 谭哲,刘金水,周惦武,等.双相钢/镁合金添加Sn箔激光热传导焊及数值模拟[J].中国有色金属学报,2016,26(7):1427-1436.TAN Z,LIU J S,ZHOU D W,et al.Laser heat-conduction welding and numerical simulation of double phase steel/magnesium alloy with Sn foil[J].The Chinese Journal of Nonferrous Metals,2016,26(7):1427-1436.

[13] WU Z,WAN J,ZHANG Y,et al.Effect of laser welding parameters on joint structure of AZ31B magnesium alloy and 304 stainless steel[J].Materials (Basel),2022,15(20):7114.

[14] TAO T,LIU J S,ZHOU D W,et al.Formability of laser welded steel/magnesium dissimilar metal with Sn powder-adhesive interlayer[J].Materials Science Poland,2021,39(1):113-123.

[15] TAO T,LIU J S,ZHOU D W,et al.Microstructure and properties of magnesium/steel dissimilar metals by interlayer assisted laser welding[J].Transactions of Nonferrous Metals Society of China,2023,33(3):765-776.

[16] 尚大智.铜钢异种金属激光叠焊接头组织及力学性能研究[D].温州:温州大学,2020.SHANG D Z.Study on microstructure and mechanical properties of laser lap welding joint of copper and steel dissimilar metals[D].Wenzhou:Wenzhou University,2020.

[17] 张拓,张宏,刘佳.激光-电弧复合焊接数值模拟的热源模型[J].应用激光,2016,36(1):58-62.ZHANG T,ZHANG H,LIU J.Laser-arc hybrid welding heat source model for numerical simulation[J].Applied Laser,2016,36(1):58-62.

[18] 赵盛举,祁文军,黄艳华,等.TC4表面激光熔覆Ni60基涂层温度场热循环特性数值模拟研究[J].表面技术,2020,49(2):301-308.ZHAO S J,QI W J,HUANG Y H,et al.Numerical simulation study on thermal cycle characteristics of temperature field of TC4 surface laser cladding Ni60 based coating[J].Surface Technology,2020,49(2):301-308.

[19] ZHOU D W,LI T,XU S H,et al.Numerical and experimental investigations in laser welding for steel and magnesium alloy[J].Lasers in Manufacturing and Materials Processing,2018,5(3):222-236.

[20] YU H S,ZHAN X H,KANG Y,et al.Numerical simulation optimization for laser welding parameter of 5A90 Al-Li alloy and its experiment verification[J].Journal of Adhesion Science and Technology,2019,33(2):137-155.

[21] 戎易,李海涛,熊震宇,等.镁合金/钢异种材料激光熔钎焊接头组织及成形调控[J].材料工程,2022,50(5):166-171.RONG Y,LI H T,XIONG Z Y,et al.Microstructure and forming control of laser welding-brazing joint of magnesium alloy and steel dissimilar materials[J].Journal of Materials Engineering,2022,50(5):166-171.

[22] 陈卓,赵倩.Ni掺杂对Mg-B体系反应过程及性能影响分析[J].低温物理学报,2016,38(3):5-9.CHEN Z,ZHAO Q.The effect of Ni-Doping on the reaction process and the performance of Mg-B system[J].Chinese Journal of Low Temperature Physics,2016,38(3):5-9.

[23] GAO J M,WANG D,ZHUANG D D,et al.Effect of laser power on microstructure and mechanical properties of laser heat conduction lap welded joint between AZ31B magnesium alloy and DP780 galvanized steel[J].Journal of Central South University,2022,29(10):3463-3475.

[24] 吴德海,王怀林,张伯明.镍对铸铁组织和性能的影响[J].铸造工程,2023,47(4):16-26.WU D H,WANG H L,ZHANG B M.Effect of chromium on microstructure and properties of cast iron[J].Foundry Engineering,2023,47(4):16-26.

Effect of Ni Foil on the Temperature Field and Joint Organization of Magnesium/Steel Laser Welding

Xiu Yingpeng, Mao Xiliang, Zhang Jingyang, Zhao Pengyu, Zhou Xingchang, Liu Fengde*, Zhang Hong

(School of Electromechanical Engineering,Changchun University of Science and Technology,Changchun 130022,Jilin,China)

Abstract In order to study the welding mechanism of magnesium-steel laser welded joints with added Ni foil,as well as the macroscopic surface morphology,microstructure and tensile properties of the welded joints,this paper utilizes the SYSWELD simulation software to numerically simulate the temperature field of the magnesium-steel laser welded joints with added Ni foil,and compares the results of the simulation with the actual welding experiments,and then analyzes the mechanism of the magnesium-steel laser welded joints by combining with the binary alloy phase diagrams.The simulation results were compared with the actual welding experiments,and the mechanism of magnesium-steel laser welding was analyzed by combining with the binary alloy phase diagram,and the macroscopic surface morphology observation and microstructure analysis of the welded joints with Ni foil were carried out.The results show that:when the laser power P=1.3 kW,welding speed v=6 mm/s,the tensile strength is the largest,reaching 166 N/mm; the weld joint on the steel side is mainly composed of Fe-Ni solid solution,and the weld joint on the magnesium side is mainly composed of Mg2Ni,MgNi2,α-Mg,and AlNi phases; the tensile strength shows the tendency of increasing firstly and then decreasing.In summary:Ni foil can slow down the heat transfer from the upper steel plate to the lower magnesium plate and inhibit the escape of magnesium vapor during the welding process; the addition of Ni foil has a significant effect on the magnesium-steel laser welding process,which can improve the surface morphology of the welded joints and increase their tensile strength.

Key words magnesium/steel laser overlay welding; numerical simulation; microstructure; Ni foils

中图分类号:TG456.7

文献标志码:A

doi:10.14128/j.cnki.al.20254512.034

收稿日期:2024-03-07; 修回日期:2024-04-02

基金项目:吉林省科技发展计划项目(20230203196SF)

作者简介:修英鹏(1999—),男,硕士研究生。研究方向为激光加工技术。E-mail:3469552967@qq.com

*通信作者:刘凤德(1978—),男,博士,教授。研究方向为激光加工技术。E-mail:lfd@cust.edu.cn

X